Allergen Tests of Fruit Sensitization Involving Children with Allergic Diseases
Abstract
:1. Introduction
2. Materials and Methods
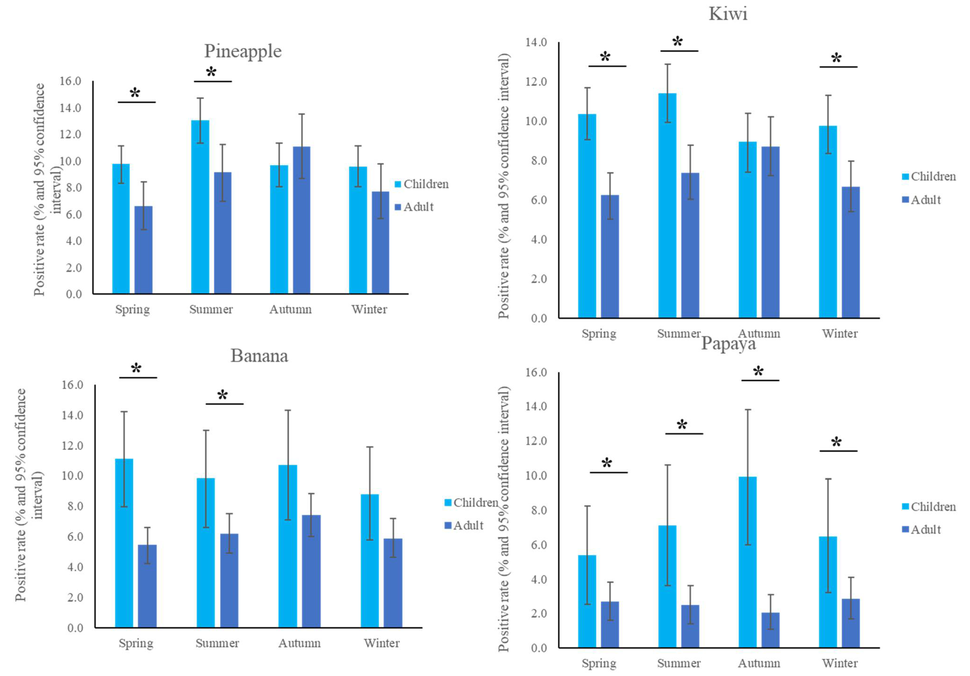
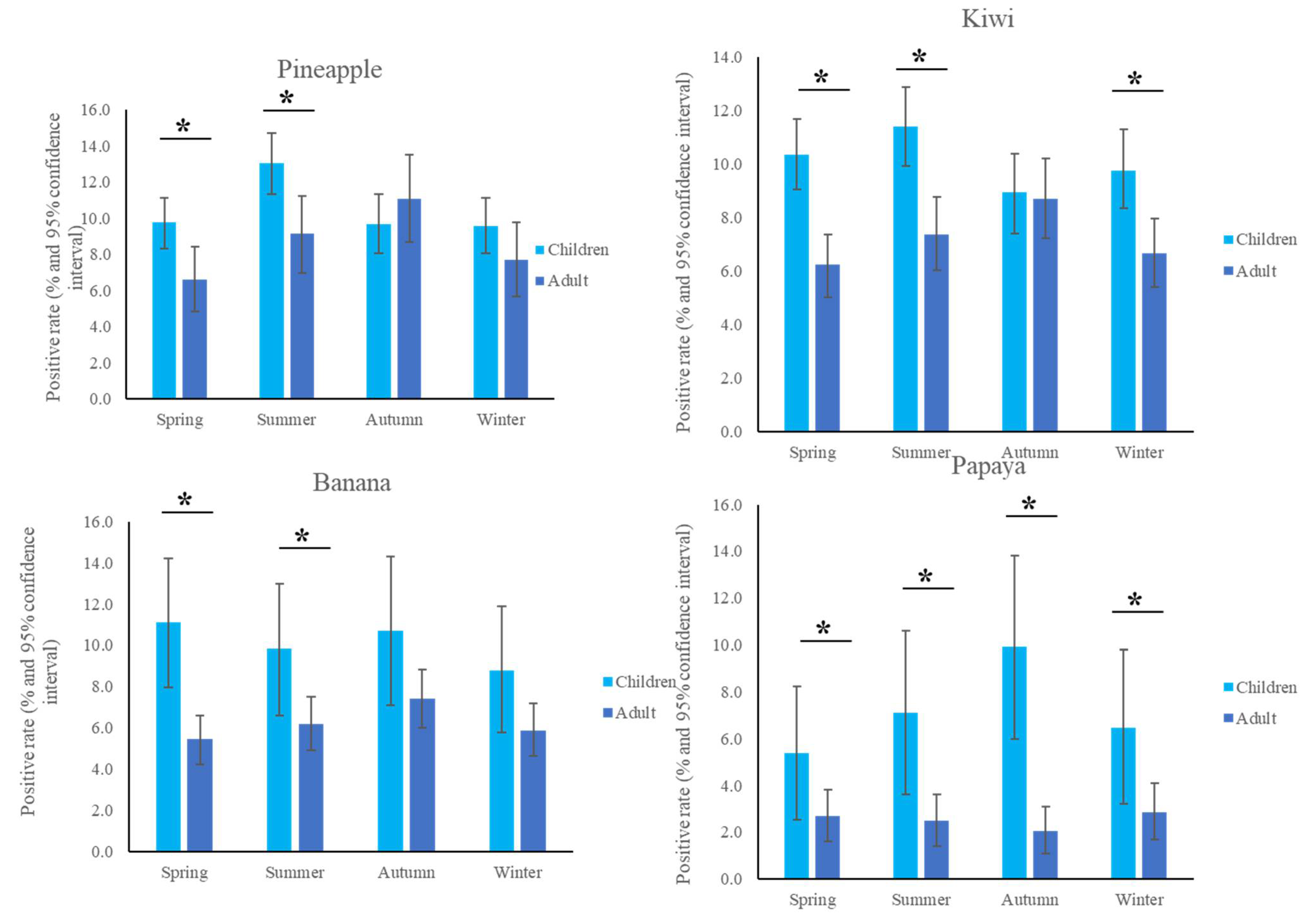
3. Results
4. Discussion
5. Conclusions
Supplementary Materials
Author Contributions
Funding
Institutional Review Board Statement
Informed Consent Statement
Data Availability Statement
Acknowledgments
Conflicts of Interest
References
- Chang, X.; Zha, L.; Wallimann, A.; Mohsen, M.O.; Krenger, P.; Liu, X.; Vogel, M.; Bachmann, M.F. Low-affinity but high-avidity inter-actions may offer an explanation for IgE-mediated allergen cross-reactivity. Allergy 2021, 76, 2565–2574. [Google Scholar] [CrossRef] [PubMed]
- Dezfouli, S.G.; Mothes-Luksch, N.; Jensen, A.N.; Untersmayr, E.; Kundi, M.; Jensen-Jarolim, E. Linking cross-reactivity clusters of food and respiratory allergens in PAMD@ to asthma and duration of allergy. World Allergy Organ. J. 2020, 13, 100483. [Google Scholar] [CrossRef]
- Park, H.J.; Kim, E.-J.; Yoon, D.; Lee, J.K.; Chang, W.-S.; Lim, Y.-M.; Park, J.-W.; Lee, J.-S. Prevalence of Self-reported Allergic Diseases and IgE Levels: A 2010 KNHANES Analysis. Allergy Asthma Immunol. Res. 2017, 9, 329–339. [Google Scholar] [CrossRef] [PubMed] [Green Version]
- Nwaru, B.I.; Hickstein, L.; Panesar, S.S.; Roberts, G.; Muraro, A.; Sheikh, A. Prevalence of common food allergies in Europe: A sys-tematic review and meta-analysis. Allergy 2014, 69, 992–1007. [Google Scholar] [CrossRef] [PubMed]
- Park, M.; Kim, D.; Ahn, K.; Kim, J.; Han, Y. Prevalence of Immediate-Type Food Allergy in Early Childhood in Seoul. Allergy, Asthma Immunol. Res. 2014, 6, 131–136. [Google Scholar] [CrossRef] [Green Version]
- Kim, J.; Chang, E.; Han, Y.; Ahn, K.; Lee, S.-I. The incidence and risk factors of immediate type food allergy during the first year of life in Korean infants: A birth cohort study. Pediatr. Allergy Immunol. 2011, 22, 715–719. [Google Scholar] [CrossRef]
- Sicherer, S.H.; Sampson, H.A. Food allergy. J. Allergy Clin. Immunol. 2006, 117 (Suppl. S2), S470–S475. [Google Scholar] [CrossRef]
- Röhrl, D.V.; Brandstetter, S.; Siziba, L.P.; Rothenbacher, D.; Gaertner, V.D.; Harner, S.; Köninger, A.; Apfelbacher, C.; Melter, M.; Genuneit, J.; et al. Food allergy in infants assessed in two German birth cohorts 10 years after the EuroPrevall Study. Pediatr. Allergy Immunol. Off. Publ. Eur. Soc. Pediatric Allergy Immunol. 2022, 33, 13689. [Google Scholar] [CrossRef]
- Hua, M.-C.; Yao, T.-C.; Chen, C.-C.; Tsai, M.-H.; Liao, S.-L.; Lai, S.-H.; Chiu, C.-Y.; Su, K.-W.; Yeh, K.-W.; Huang, J.-L. Introduction of various allergenic foods during infancy reduces risk of IgE sensitization at 12 months of age: A birth cohort study. Pediatr. Res. 2017, 82, 733–740. [Google Scholar] [CrossRef] [Green Version]
- Syauqy, A.; Hsu, C.-Y.; Lee, H.-A.; Rau, H.-H.; Chao, J.C.-J. Association between Dietary Patterns and Kidney Function Parameters in Adults with Metabolic Syndrome: A Cross-Sectional Study. Nutrients 2020, 13, 40. [Google Scholar] [CrossRef]
- Pérez-Lamela, C.; Franco, I.; Falqué, E. Impact of High-Pressure Processing on Antioxidant Activity during Storage of Fruits and Fruit Products: A Review. Molecules 2021, 26, 5265. [Google Scholar] [CrossRef] [PubMed]
- Mlcek, J.; Jurikova, T.; Skrovankova, S.; Sochor, J. Quercetin and Its Anti-Allergic Immune Response. Molecules 2016, 21, 623. [Google Scholar] [CrossRef] [PubMed]
- Chang, T.-C.; Wei, P.-L.; Makondi, P.T.; Chen, W.-T.; Huang, C.-Y.; Chang, Y.-J. Bromelain inhibits the ability of colorectal cancer cells to proliferate via activation of ROS production and autophagy. PLoS ONE 2019, 14, e0210274. [Google Scholar] [CrossRef] [PubMed]
- Hosseini, B.; Berthon, B.S.; Wark, P.; Wood, L.G. Effects of Fruit and Vegetable Consumption on Risk of Asthma, Wheezing and Immune Responses: A Systematic Review and Meta-Analysis. Nutrients 2017, 9, 341. [Google Scholar] [CrossRef]
- Cox, A.L.; Eigenmann, P.A.; Sicherer, S.H. Clinical Relevance of Cross-Reactivity in Food Allergy. J. Allergy Clin. Immunol. Pract. 2021, 9, 82–99. [Google Scholar] [CrossRef]
- Zuidmeer, L.; Goldhahn, K.; Rona, R.; Gislason, D.; Madsen, C.B.; Summers, C.; Sodergren, E.; Dahlstrom, J.; Lindner, T.; Sigurdardottir, S.T.; et al. The prevalence of plant food allergies: A systematic review. J. Allergy Clin. Immunol. 2008, 121, 1210–1218.e4. [Google Scholar] [CrossRef]
- Li, Y.; Hu, H.; Zhang, T.; Wang, G.; Huang, H.; Zheng, P.; Sun, B.; Zhang, X.D. Increase in Indoor Inhalant Allergen Sensitivity During the COVID-19 Pandemic in South China: A Cross-Sectional Study from 2017 to 2020. J. Asthma Allergy 2021, 14, 1185–1195. [Google Scholar] [CrossRef]
- Agarwal, S.; Huang, P.; Luo, C.; Qin, Y.; Zhan, C. Assessment of Online Food Ordering and Delivery in Singapore during the COVID-19 Pandemic. JAMA Netw. Open 2021, 4, e2126466. [Google Scholar] [CrossRef]
- Chen, I.-L.; Hung, C.-H.; Huang, H.-C. Smoflipid Is Better Than Lipofundin for Long-Term Neurodevelopmental Outcomes in Preterm Infants. Nutrients 2021, 13, 2548. [Google Scholar] [CrossRef]
- Lin, I.-H.; Tsai, M.-C.; Chen, J.-P.; Fu, L.-S. Allergic children with extremely high total IgE but no allergen identified in the initial screening panel. J. Microbiol. Immunol. Infect. 2021, 54, 474–481. [Google Scholar] [CrossRef]
- Hsu, C.; Tseng, P.; Tu, Y.; Lin, P.; Hung, C.; Liang, C.; Hsieh, Y.; Yang, Y.; Wang, L.; Kao, H. Month of birth and mental disorders: A population-based study and validation using global meta-analysis. Acta Psychiatr. Scand. 2021, 144, 153–167. [Google Scholar] [CrossRef] [PubMed]
- Chang, L.-S.; Lin, Y.-J.; Yan, J.-H.; Guo, M.M.-H.; Lo, M.-H.; Kuo, H.-C. Neutrophil-to-lymphocyte ratio and scoring system for predicting coronary artery lesions of Kawasaki disease. BMC Pediatr. 2020, 20, 398. [Google Scholar] [CrossRef] [PubMed]
- Yepes-Nuñez, J.J.; Zhang, Y.; Roqué i Figuls, M.; Bartra Tomas, J.; Reyes, J.M.; Pineda de la Losa, F.; Enrique, E. Immunotherapy (oral and sublingual) for food allergy to fruits. Cochrane Database Syst. Rev. 2015, 2015, Cd010522. [Google Scholar] [CrossRef] [PubMed]
- Wang, J.; Vanga, S.K.; McCusker, C.; Raghavan, V. A Comprehensive Review on Kiwifruit Allergy: Pathogenesis, Diagnosis, Management, and Potential Modification of Allergens Through Processing. Compr. Rev. Food Sci. Food Saf. 2019, 18, 500–513. [Google Scholar] [CrossRef] [Green Version]
- Bedolla-Barajas, M.; Kestler-Gramajo, A.; Alcalá-Padilla, G.; Morales-Romero, J. Prevalence of oral allergy syndrome in children with allergic diseases. Allergol. Immunopathol. 2017, 45, 127–133. [Google Scholar] [CrossRef]
- Obeng, B.B.; Amoah, A.S.; Larbi, I.A.; Yazdanbakhsh, M.; van Ree, R.; Boakye, D.A.; Hartgers, F.C. Food allergy in Ghanaian school-children: Data on sensitization and reported food allergy. Int. Arch. Allergy Immunol. 2011, 155, 63–73. [Google Scholar] [CrossRef]
- Wu, C.Y.; Huang, H.Y.; Pan, W.C.; Liao, S.L.; Hua, M.C.; Tsai, M.H.; Lai, S.H.; Yeh, K.W.; Chen, L.C.; Huang, J.L.; et al. Allergic diseases at-tributable to atopy in a population sample of Asian children. Sci. Rep. 2021, 11, 16052. [Google Scholar] [CrossRef]
- Chuang, S.-Y.; Lo, Y.-L.; Wu, S.-Y.; Wang, P.-N.; Pan, W.-H. Dietary Patterns and Foods Associated with Cognitive Function in Taiwanese Older Adults: The Cross-sectional and Longitudinal Studies. J. Am. Med. Dir. Assoc. 2019, 20, 544–550.e4. [Google Scholar] [CrossRef]
- Solymosi, D.; Sárdy, M.; Pónyai, G. Interdisciplinary Significance of Food-Related Adverse Reactions in Adulthood. Nutrients 2020, 12, 3725. [Google Scholar] [CrossRef]
- Lyons, S.A.; Clausen, M.; Knulst, A.C.; Ballmer-Weber, B.K.; Fernandez-Rivas, M.; Barreales, L.; Bieli, C.; Dubakiene, R.; Fernandez-Perez, C.; Jedrzejczak-Czechowicz, M.; et al. Prevalence of Food Sensitization and Food Allergy in Children Across Europe. J. Allergy Clin. Immunol. Pract. 2020, 8, 2736–2746. [Google Scholar] [CrossRef]
- Weerahewa, J.; Rajapakse, C.; Pushpakumara, G. An analysis of consumer demand for fruits in Sri Lanka. 1981–2010. Appetite 2013, 60, 252–258. [Google Scholar] [CrossRef] [PubMed]
- Ivković-Jureković, I. Oral allergy syndrome in children. Int. Dent. J. 2015, 65, 164–168. [Google Scholar] [CrossRef] [PubMed]
- Wawrzeńczyk, A.; Żbikowska-Gotz, M.; Wawrzeńczyk, A.; Bartuzi, Z. Sensitisation to lipid transfer proteins in pollen—Allergic adults with food allergy. Postepy Dermatol. Alergol. 2020, 37, 508–512. [Google Scholar] [CrossRef] [PubMed]
- Gao, Z.; Yang, Z.; Wu, S.-D.; Wang, H.-Y.; Liu, M.-L.; Mao, W.-L.; Wang, J.; Gadermaier, G.; Ferreira, F.; Zheng, M.; et al. Peach allergy in China: A dominant role for mugwort pollen lipid transfer protein as a primary sensitizer. J. Allergy Clin. Immunol. 2013, 131, 224–226.e3. [Google Scholar] [CrossRef]
- Skypala, I.J.; Asero, R.; Barber, D.; Cecchi, L.; Perales, A.D.; Hoffmann-Sommergruber, K.; Pastorello, E.A.; Swoboda, I.; Bartra, J.; Ebo, D.G.; et al. Non-specific lipid-transfer proteins: Allergen structure and function, cross-reactivity, sensitization, and epidemiology. Clin. Transl. Allergy 2021, 11, e12010. [Google Scholar] [CrossRef]
- Kuo, H.C.; Chu, C.H.; Su, Y.J.; Lee, C.H. Atopic dermatitis in Taiwanese children: The laboratory values that correlate best to the SCORAD index are total IgE and positive Cheddar cheese IgE. Medicine 2020, 99, e21255. [Google Scholar] [CrossRef]



| Negative Specific IgE to Pineapple | Positive Specific IgE to Pineapple | p | Negative Specific IgE to Kiwi | Positive Specific IgE to Kiwi | p | |
| Number | 5323 | 628 | 6124 | 696 | ||
| Age (years) | 5.4 ± 3.9 | 5.2 ± 3.4 | 0.126 | 5.8 ± 4.3 | 5.1 ± 3.8 | <0.001 * |
| Sex | 0.193 | 0.862 | ||||
| Female | 2145 | 270 | 2478 | 284 | ||
| Male | 3178 | 358 | 3646 | 412 | ||
| Total IgE (U/mL) | 471.4 ± 673.7 | 1132.2 ± 1194.6 | <0.001 * | 442.5 ± 626 | 1305.8 ± 1359.5 | <0.001 * |
| Logarithmic IgE | 2.3 ± 0.6 | 2.8 ± 0.5 | <0.001 * | 2.3 ± 0.6 | 2.9 ± 0.5 | <0.001 * |
| Asthma/rhinitis | 53.1% | 50.2% | 0.159 | 48.5% | 48.4% | 0.956 |
| Asthma/dermatitis | 12.3% | 19.8% | <0.001 * | 11.2% | 19.0% | <0.001 * |
| Dermatitis | 29.9% | 48.1% | <0.001 * | 27.5% | 48.1% | <0.001 * |
| Dermatitis/rhinitis | 24.8% | 43.0% | <0.001 * | 22.1% | 42.0% | <0.001 * |
| Asthma/dermatitis/rhinitis | 10.9% | 18.5% | <0.001 * | 9.8% | 17.7% | <0.001 * |
| Asthma | 58.5% | 54.9% | 0.090 | 54.7% | 53.7% | 0.633 |
| Rhinitis | 86.7% | 88.7% | 0.150 | 84.4% | 86.5% | 0.148 |
| Negative specific IgE to banana | Positive specific IgE to banana | p | Negative specific IgE to papaya | Positive specific IgE to papaya | p | |
| Number | 1190 | 134 | 827 | 64 | ||
| Age (years) | 6.9 ± 5.5 | 4.9 ± 4.5 | <0.001 * | 7.1 ± 5.5 | 4.7 ± 4.3 | <0.001 * |
| Sex | 0.472 | 0.392 | ||||
| Female | 468 | 57 | 292 | 26 | ||
| Male | 722 | 77 | 535 | 38 | ||
| Total IgE (U/mL) | 470.5 ± 678.1 | 1287.3 ± 1927 | <0.001 * | 422.4 ± 601.4 | 1165.7 ± 1001.4 | <0.001 * |
| Logarithmic IgE | 2.3 ± 0.6 | 2.9 ± 0.5 | <0.001 * | 2.2 ± 0.7 | 2.9 ± 0.5 | <0.001 * |
| Asthma/rhinitis | 28.1% | 38.8% | 0.010 * | 30.2% | 32.8% | 0.665 |
| Asthma/dermatitis | 6.1% | 13.4% | 0.002 * | 5.2% | 18.8% | <0.001 * |
| Dermatitis | 21.5% | 38.8% | <0.001 * | 15.7% | 51.6% | <0.001 * |
| Dermatitis/rhinitis | 10.7% | 23.1% | <0.001 * | 10.6% | 35.9% | <0.001 * |
| Asthma/dermatitis/rhinitis | 4.3% | 10.5% | 0.002 * | 4.2% | 14.1% | 0.003 * |
| Asthma | 41.6% | 50% | 0.062 | 37.7% | 53.1% | 0.015 |
| Rhinitis | 64.3% | 69.4% | 0.240 | 73.4% | 65.6% | 0.178 |
| log IgE | ||||
|---|---|---|---|---|
| Cutoff | Sensitivity | Specificity | IgE U/mL | |
| Pineapple | 2.2 | 0.9 | 0.5 | 158.5 |
| Kiwi | 2.7 | 0.7 | 0.7 | 501.2 |
| Banana | 2.5 | 0.8 | 0.6 | 316.2 |
| Papaya | 2.4 | 0.8 | 0.6 | 251.2 |
Publisher’s Note: MDPI stays neutral with regard to jurisdictional claims in published maps and institutional affiliations. |
© 2022 by the authors. Licensee MDPI, Basel, Switzerland. This article is an open access article distributed under the terms and conditions of the Creative Commons Attribution (CC BY) license (https://creativecommons.org/licenses/by/4.0/).
Share and Cite
Chang, L.-S.; Chang, H.-Y.; Yang, Y.-H.; Lee, Z.-M.; Guo, M.M.-H.; Huang, Y.-H.; Kuo, H.-C. Allergen Tests of Fruit Sensitization Involving Children with Allergic Diseases. Children 2022, 9, 470. https://doi.org/10.3390/children9040470
Chang L-S, Chang H-Y, Yang Y-H, Lee Z-M, Guo MM-H, Huang Y-H, Kuo H-C. Allergen Tests of Fruit Sensitization Involving Children with Allergic Diseases. Children. 2022; 9(4):470. https://doi.org/10.3390/children9040470
Chicago/Turabian StyleChang, Ling-Sai, Hsin-Yu Chang, Yao-Hsu Yang, Zon-Min Lee, Mindy Ming-Huey Guo, Ying-Hsien Huang, and Ho-Chang Kuo. 2022. "Allergen Tests of Fruit Sensitization Involving Children with Allergic Diseases" Children 9, no. 4: 470. https://doi.org/10.3390/children9040470
APA StyleChang, L.-S., Chang, H.-Y., Yang, Y.-H., Lee, Z.-M., Guo, M. M.-H., Huang, Y.-H., & Kuo, H.-C. (2022). Allergen Tests of Fruit Sensitization Involving Children with Allergic Diseases. Children, 9(4), 470. https://doi.org/10.3390/children9040470

