Weight-Teasing and Eating Disorders—A Comparative Study in Adolescent and Adult Samples
Abstract
1. Introduction
2. Study 1
2.1. Materials and Methods
2.1.1. Participants
2.1.2. Measures
2.1.3. Procedure
2.1.4. Statistical Analysis
2.2. Results of study 1
3. Study 2
3.1. Materials and Methods
3.1.1. Participants
3.1.2. Measures
3.1.3. Procedure
3.1.4. Statistical Analysis
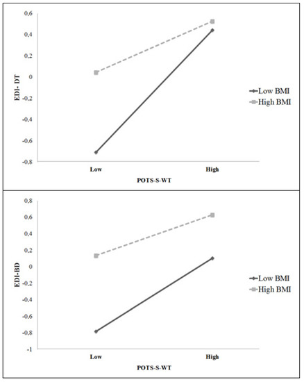
3.2. Results of Study 2
4. Discussion
Limitations
5. Conclusions
Author Contributions
Funding
Institutional Review Board Statement
Informed Consent Statement
Data Availability Statement
Conflicts of Interest
References
- Keery, H.; Boutelle, K.; van den Berg, P.; Thompson, J.K. The Impact of Appearance-Related Teasing by Family Members. J. Adolesc. Health Off. Publ. Soc. Adolesc. Med. 2005, 37, 120–127. [Google Scholar] [CrossRef] [PubMed]
- Neumark-Sztainer, D.; Falkner, N.; Story, M.; Perry, C.; Hannan, P.J.; Mulert, S. Weight-Teasing among Adolescents: Correlations with Weight Status and Disordered Eating Behaviors. Int. J. Obes. 2002, 26, 123–131. [Google Scholar] [CrossRef] [PubMed]
- Emmer, C.; Bosnjak, M.; Mata, J. The Association between Weight Stigma and Mental Health: A Meta-Analysis. Obes. Rev. 2020, 21, e12935. [Google Scholar] [CrossRef] [PubMed]
- Fabian, L.J.; Thompson, J.K. Body Image and Eating Disturbance in Young Females. Int. J. Eat. Disord. 1989, 8, 63–74. [Google Scholar] [CrossRef]
- Pont, S.J.; Puhl, R.; Cook, S.R.; Slusser, W. Section on obesity; obesity society. Stigma Experienced by Children and Adolescents with Obesity. Pediatrics 2017, 140, e20173034. [Google Scholar] [CrossRef]
- Shapiro, J.P.; Baumeister, R.F.; Kessler, J.W. A Three-Component Model of Children’s Teasing: Aggression, Humor, and Ambiguity. J. Soc. Clin. Psychol. 1991, 10, 459–472. [Google Scholar] [CrossRef]
- Menzel, J.E.; Schaefer, L.M.; Burke, N.L.; Mayhew, L.L.; Brannick, M.T.; Thompson, J.K. Appearance-Related Teasing, Body Dissatisfaction, and Disordered Eating: A Meta-Analysis. Body Image 2010, 7, 261–270. [Google Scholar] [CrossRef]
- Wu, Y.-K.; Berry, D.C. Impact of Weight Stigma on Physiological and Psychological Health Outcomes for Overweight and Obese Adults: A Systematic Review. J. Adv. Nurs. 2018, 74, 1030–1042. [Google Scholar] [CrossRef]
- Guardabassi, V.; Tomasetto, C. Weight-Based Teasing, Body Dissatisfaction, and Eating Restraint: Multilevel Investigation Among Primary Schoolchildren. Health Psychol. 2022, 41, 527–537. [Google Scholar] [CrossRef]
- Eisenberg, M.E.; Neumark-Sztainer, D.; Story, M. Associations of Weight-Based Teasing and Emotional Well-Being among Adolescents. Arch. Pediatr. Adolesc. Med. 2003, 157, 733–738. [Google Scholar] [CrossRef]
- Taylor, C.B.; Sharpe, T.; Shisslak, C.; Bryson, S.; Estes, L.S.; Gray, N.; McKnight, K.M.; Crago, M.; Kraemer, H.C.; Killen, J.D. Factors Associated with Weight Concerns in Adolescent Girls. Int. J. Eat. Disord. 1998, 24, 31–42. [Google Scholar] [CrossRef]
- Matz, P.E.; Foster, G.D.; Faith, M.S.; Wadden, T.A. Correlates of Body Image Dissatisfaction among Overweight Women Seeking Weight Loss. J. Consult. Clin. Psychol. 2002, 70, 1040–1044. [Google Scholar] [CrossRef] [PubMed]
- Hutchinson, D.M.; Rapee, R.M. Do Friends Share Similar Body Image and Eating Problems? The Role of Social Networks and Peer Influences in Early Adolescence. Behav. Res. Ther. 2007, 45, 1557–1577. [Google Scholar] [CrossRef]
- Thompson, J.K.; Cattarin, J.; Fowler, B.; Fisher, E. The Perception of Teasing Scale (POTS): A Revision and Extension of the Physical Appearance Related Teasing Scale (PARTS). J. Pers. Assess. 1995, 65, 146–157. [Google Scholar] [CrossRef]
- Lunner, K.; Werthem, E.H.; Thompson, J.K.; Paxton, S.J.; McDonald, F.; Halvaarson, K.S. A Cross-Cultural Examination of Weight-Related Teasing, Body Image, and Eating Disturbance in Swedish and Australian Samples. Int. J. Eat. Disord. 2000, 28, 430–435. [Google Scholar] [CrossRef]
- Bardone-Cone, A.M.; Cass, K.M.; Ford, J.A. Examining Body Dissatisfaction in Young Men within a Biopsychosocial Framework. Body Image 2008, 5, 183–194. [Google Scholar] [CrossRef] [PubMed]
- Hayden-Wade, H.A.; Stein, R.I.; Ghaderi, A.; Saelens, B.E.; Zabinski, M.F.; Wilfley, D.E. Prevalence, Characteristics, and Correlates of Teasing Experiences among Overweight Children vs. Non-Overweight Peers. Obes. Res. 2005, 13, 1381–1392. [Google Scholar] [CrossRef]
- Guardabassi, V.; Mirisola, A.; Tomasetto, C. How Is Weight Stigma Related to Children’s Health-Related Quality of Life? A Model Comparison Approach. Qual. Life Res. 2018, 27, 173–183. [Google Scholar] [CrossRef]
- Moreno, L.; Pilar, B.; Vilà, M.; Piera, G.; Livianos, L. Validation and Adaptation of the Perception of Teasing Scale (POTS) in a Spanish Population. Int. J. Eat. Disord. 2004, 35, 480. [Google Scholar]
- Cooper, P.J.; Taylor, M.J.; Cooper, Z.; Fairbum, C.G. The Development and Validation of the Body Shape Questionnaire. Int. J. Eat. Disord. 1987, 6, 485–494. [Google Scholar] [CrossRef]
- Raich Escursell, R.M.; Mora, M.; Soler, A.; Clos, I.; Zapater, L. Adaptación de un instrumento de evaluación de la insatisfacción corporal. Clin. Health 1996, 7, 51–66. [Google Scholar]
- Garner, D.M. Eating Disorder Inventory-2: Professional Manual; Psychological Assessment Resources: Odessa, Ukraine, 1991. [Google Scholar]
- Garner, D.M. Inventario de Trastorno de La Conducta Alimentaria-2 [Eating Disorders Inventory-2]; TEA Ediciones S.A.: Madrid, Spain, 1998. [Google Scholar]
- Maloney, M.J.; McGuire, J.B.; Daniels, S.R. Reliability Testing of a Children’s Version of the Eating Attitude Test. J. Am. Acad. Child Adolesc. Psychiatry 1988, 27, 541–543. [Google Scholar] [CrossRef] [PubMed]
- Imagen Corporal, Autoestima y Actitudes Alimentarias En Preadoles|Psiquiatria.Com. Available online: https://psiquiatria.com/trastornos_de_alimentacion/imagen-corporal-autoestima-y-actitudes-alimentarias-en-preadolescentes/ (accessed on 13 September 2022).
- Cohen, J.; Cohen, P.; West, S.G.; Aiken, L.S. Applied Multiple Regression/Correlation Analysis for the Behavioral Sciences, 3rd ed.; Routledge: New York, NY, USA, 2002; ISBN 978-0-203-77444-1. [Google Scholar]
- López-Guimerà, G.; Fauquet, J.; Sánchez-Carracedo, D.; Barrada, J.R.; Saldaña, C.; Masnou-Roig, A. Psychometric Properties of the Perception of Teasing Scale in a Spanish Adolescent Sample: POTS-S. Eat. Weight Disord. EWD 2012, 17, e210–e218. [Google Scholar] [CrossRef] [PubMed]
- Garner, D.M.; Olmstead, M.P.; Polivy, J. Development and Validation of a Multidimensional Eating Disorder Inventory for Anorexia Nervosa and Bulimia. Int. J. Eat. Disord. 1983, 2, 15–34. [Google Scholar] [CrossRef]
- Elosua, P.; López-Jáuregui, A. Internal Structure of the Spanish Adaptation of the Eating Disorder Inventory-3. Eur. J. Psychol. Assess. 2012, 28, 25–31. [Google Scholar] [CrossRef]
- Paradis, A.-M.; Pérusse, L.; Godin, G.; Vohl, M.-C. Validity of a Self-Reported Measure of Familial History of Obesity. Nutr. J. 2008, 7, 27. [Google Scholar] [CrossRef]
- Jones, D.C.; Crawford, J.K. Adolescent Boys and Body Image: Weight and Muscularity Concerns as Dual Pathways to Body Dissatisfaction. J. Youth Adolesc. 2005, 34, 629–636. [Google Scholar] [CrossRef]
- McCabe, M.P.; Ricciardelli, L.A. Sociocultural Influences on Body Image and Body Changes among Adolescent Boys and Girls. J. Soc. Psychol. 2003, 143, 5–26. [Google Scholar] [CrossRef]
- Paxton, S.J.; Eisenberg, M.E.; Neumark-Sztainer, D. Prospective Predictors of Body Dissatisfaction in Adolescent Girls and Boys: A Five-Year Longitudinal Study. Dev. Psychol. 2006, 42, 888–899. [Google Scholar] [CrossRef]
- Puhl, R.M.; Wall, M.M.; Chen, C.; Bryn Austin, S.; Eisenberg, M.E.; Neumark-Sztainer, D. Experiences of Weight Teasing in Adolescence and Weight-Related Outcomes in Adulthood: A 15-Year Longitudinal Study. Prev. Med. 2017, 100, 173–179. [Google Scholar] [CrossRef]
- Neumark-Sztainer, D.; Wall, M.M.; Chen, C.; Larson, N.I.; Christoph, M.J.; Sherwood, N.E. Eating, Activity, and Weight-Related Problems From Adolescence to Adulthood. Am. J. Prev. Med. 2018, 55, 133–141. [Google Scholar] [CrossRef] [PubMed]
- Rojo-Moreno, L.; Rubio, T.; Plumed, J.; Barberá, M.; Serrano, M.; Gimeno, N.; Conesa, L.; Ruiz, E.; Rojo-Bofill, L.; Beato, L.; et al. Teasing and Disordered Eating Behaviors in Spanish Adolescents. Eat. Disord. 2013, 21, 53–69. [Google Scholar] [CrossRef] [PubMed]
- Sattler, K.M.; Deane, F.P.; Tapsell, L.; Kelly, P.J. Gender Differences in the Relationship of Weight-Based Stigmatisation with Motivation to Exercise and Physical Activity in Overweight Individuals. Health Psychol. Open 2018, 5, 2055102918759691. [Google Scholar] [CrossRef] [PubMed]
- Benas, J.S.; Gibb, B.E. Weight-Related Teasing, Dysfunctional Cognitions, and Symptoms of Depression and Eating Disturbances. Cogn. Ther. Res. 2008, 32, 143–160. [Google Scholar] [CrossRef]
- Neumark-Sztainer, D.; Eisenberg, M. Weight Bias in a Teen’s World. In Weight Bias: Nature, Consequences, and Remedies; Guilford Publications: New York, NY, USA, 2005; pp. 68–79. ISBN 978-1-59385-199-6. [Google Scholar]
- McClelland, G.H.; Judd, C.M. Statistical Difficulties of Detecting Interactions and Moderator Effects. Psychol. Bull. 1993, 114, 376–390. [Google Scholar] [CrossRef]
- Michels-Lucht, F.; Lucht, M.; Spitzer, C.; Freyberger, H.J. Lästererfahrungen, Körperbild und Körpergewicht bei jungen Erwachsenen. Psychotherapeut 2013, 58, 480–484. [Google Scholar] [CrossRef]
- Kohlmann, C.-W.; Eschenbeck, H.; Heim-Dreger, U.; Hock, M.; Platt, T.; Ruch, W. Fear of Being Laughed at in Children and Adolescents: Exploring the Importance of Overweight, Underweight, and Teasing. Front. Psychol. 2018, 9, 1447. [Google Scholar] [CrossRef]
- Behar, A.R.; Vargas, F.C.; Cabrera, V.E. Insatisfacción Corporal En Los Trastornos de La Conducta Alimentaria: Un Estudio Comparativo. Rev. Chil. Neuro-Psiquiatr. 2011, 49, 26–36. [Google Scholar] [CrossRef][Green Version]
- Eisenberg, M.E.; Berge, J.M.; Fulkerson, J.A.; Neumark-Sztainer, D. Weight Comments by Family and Significant Others in Young Adulthood. Body Image 2011, 8, 12–19. [Google Scholar] [CrossRef]
- Eisenberg, M.E.; Berge, J.M.; Fulkerson, J.A.; Neumark-Sztainer, D. Associations between Hurtful Weight-Related Comments by Family and Significant Other and the Development of Disordered Eating Behaviors in Young Adults. J. Behav. Med. 2012, 35, 500–508. [Google Scholar] [CrossRef]
- Sheets, V.; Ajmere, K. Are Romantic Partners a Source of College Students’ Weight Concern? Eat. Behav. 2005, 6, 1–9. [Google Scholar] [CrossRef] [PubMed]



| Variables | 1 | 2 | 3 | 4 | 5 | 6 | 7 | 8 |
|---|---|---|---|---|---|---|---|---|
| 1. BSQ | - | 0.72 | 0.54 | 0.62 | 0.29 | 0.14 | −0.02 | −0.23 |
| 2. EDI-2 DT | - | 0.75 | 0.75 | 0.37 | 0.29 | −0.02 | −0.28 | |
| 3. EDI-2 BD | - | 0.69 | 0.40 | 0.33 | 0.03 | −0.23 | ||
| 4. ChEAT | - | 0.44 | 0.32 | 0.07 | −0.37 | |||
| 5. POTS-WT | - | 0.38 | −0.01 | −0.04 | ||||
| 6. R-Weight | - | 0.00 | 0.00 | |||||
| 7. Age | - | 0.02 | ||||||
| 8. Gender | - | |||||||
| M | 8.39 | 3.50 | 6.33 | 61.44 | 9.09 | 0.00 | 15.25 | - |
| SD | 7.29 | 4.62 | 5.12 | 32.60 | 8.15 | 10.59 | 1.20 | - |
| BSQ | EDI-2 DT | EDI-2 BD | ChEAT | |||||||||||||
|---|---|---|---|---|---|---|---|---|---|---|---|---|---|---|---|---|
| Step 1 | Step 2 | Step 1 | Step 2 | Step 1 | Step 2 | Step 1 | Step 2 | |||||||||
| Predictors | β | p | β | p | β | p | β | p | β | p | β | p | β | p | β | p |
| Gender | −0.35 | <0.001 | −0.35 | <0.001 | −0.27 | <0.001 | −0.27 | <0.001 | −0.22 | <0.001 | −0.22 | <0.001 | −0.22 | <0.001 | −0.22 | <0.001 |
| Age | 0.07 | <0.001 | 0.07 | <0.001 | −0.02 | 0.020 | −0.02 | 0.023 | 0.03 | <0.001 | 0.03 | <0.001 | −0.01 | 0.20 | −0.01 | 0.217 |
| Residual weight | 0.18 | <0.001 | 0.24 | <0.001 | 0.18 | <0.001 | 0.23 | <0.001 | 0.21 | <0.001 | 0.21 | <0.001 | 0.03 | <0.001 | 0.08 | <0.001 |
| POTS-WT | 0.36 | <0.001 | 0.41 | <0.001 | 0.29 | <0.001 | 0.32 | <0.001 | 0.32 | <0.001 | 0.32 | <0.001 | 0.27 | <0.001 | 0.30 | <0.001 |
| Residual Weight × POTS-WT | - | - | −0.11 | <0.001 | - | - | −0.08 | <0.001 | - | - | −0.01 | 0.77 | - | - | −0.08 | <0.001 |
| ΔR2 | 0.36 | 0.003 | 0.23 | 0.002 | 0.25 | 0.00 | 0.13 | 0.002 | ||||||||
| Variables | 1 | 2 | 3 | 4 | 5 | 6 | 7 |
|---|---|---|---|---|---|---|---|
| 1. WCB | - | 0.72 | 0.52 | 0.37 | 0.23 | −0.16 | −0.17 |
| 2. EDI-DT | - | 0.73 | 0.39 | 0.24 | −0.15 | −0.36 | |
| 3. EDI-BD | - | 0.43 | 0.35 | −0.20 | −0.34 | ||
| 4. POTS-WT | - | 0.40 | −0.09 | −0.02 | |||
| 5. BMI | - | 0.30 | 0.15 | ||||
| 6. Age | - | 0.07 | |||||
| 7. Gender | - | ||||||
| M | 4.90 | 20.34 | 30.98 | 13.49 | 23.16 | 29.98 | - |
| SD | 3.21 | 8.39 | 11.47 | 13.34 | 3.78 | 11.00 | - |
| WCB | EDI-DT | EDI-BD | ||||||||||
|---|---|---|---|---|---|---|---|---|---|---|---|---|
| Step1 | Step 2 | Step 1 | Step 2 | Step 1 | Step 2 | |||||||
| Predictors | β | p | β | p | β | p | β | p | β | p | β | p |
| Gender | −0.18 | <0.001 | 0.18 | <0.001 | 0.38 | <0.001 | −0.38 | <0.001 | 0.37 | <0.001 | 0.37 | <0.001 |
| Age | −0.19 | <0.001 | 0.19 | <0.001 | 0.18 | <0.001 | −0.19 | <0.001 | 0.27 | <0.001 | 0.27 | <0.001 |
| BMI | 0.21 | 0.001 | 0.26 | 0.002 | 0.25 | <0.001 | 0.44 | <0.001 | 0.39 | <0.001 | 0.50 | <0.001 |
| POTS-S-WT | 0.26 | <0.001 | 0.52 | 0.064 | 0.26 | <0.001 | 1.16 | <0.001 | 0.24 | <0.001 | 0.77 | 0.002 |
| BMI × POTS-S-WT | - | - | 0.29 | 0.351 | - | - | –1.00 | <0.001 | - | - | 0.59 | 0.025 |
| ΔR2 | 0.21 | 0.002 | 0.36 | 0.027 | 0.42 | 009 | ||||||
Publisher’s Note: MDPI stays neutral with regard to jurisdictional claims in published maps and institutional affiliations. |
© 2022 by the authors. Licensee MDPI, Basel, Switzerland. This article is an open access article distributed under the terms and conditions of the Creative Commons Attribution (CC BY) license (https://creativecommons.org/licenses/by/4.0/).
Share and Cite
Gallardo, L.O.; Plumed-Domingo, J.J.; Rojo-Moreno, L. Weight-Teasing and Eating Disorders—A Comparative Study in Adolescent and Adult Samples. Children 2022, 9, 1655. https://doi.org/10.3390/children9111655
Gallardo LO, Plumed-Domingo JJ, Rojo-Moreno L. Weight-Teasing and Eating Disorders—A Comparative Study in Adolescent and Adult Samples. Children. 2022; 9(11):1655. https://doi.org/10.3390/children9111655
Chicago/Turabian StyleGallardo, Laura O., J. Javier Plumed-Domingo, and Luis Rojo-Moreno. 2022. "Weight-Teasing and Eating Disorders—A Comparative Study in Adolescent and Adult Samples" Children 9, no. 11: 1655. https://doi.org/10.3390/children9111655
APA StyleGallardo, L. O., Plumed-Domingo, J. J., & Rojo-Moreno, L. (2022). Weight-Teasing and Eating Disorders—A Comparative Study in Adolescent and Adult Samples. Children, 9(11), 1655. https://doi.org/10.3390/children9111655

