Age-Related Differential Effects of School-Based Sitting and Movement Meditation on Creativity and Spatial Cognition: A Pilot Study
Abstract
:1. Introduction
2. Materials and Methods
2.1. Sample Description
2.2. Training Description
2.3. Experimental Design
2.4. Test Description
2.5. Statistical Analysis
2.6. Ethical Statement
3. Results
3.1. Effects of QMT/OMM Trainings and Moderation by Age
3.1.1. HFT
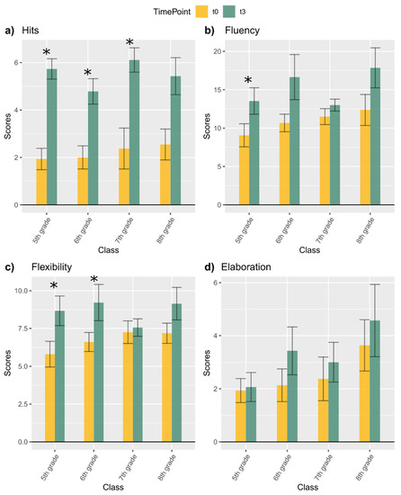
3.1.2. AUT
Fluency
Flexibility
Elaboration
3.2. Baseline Differences before and after the Wash-Out Period
3.2.1. HFT
3.2.2. AUT
Fluency
Flexibility
Elaboration
4. Discussion
- Motor activity has been linked to wellbeing and development of cognitive functions in children [4];
- The implementation of short cognitively challenging motor activities in schools seems both a feasible and efficacious strategy for supporting physical and psychological well-being [43];
- As QMT has been observed to induce neuroplasticity in adults [46], children, who have still not reached the zone of optimal cognitive functioning, could obtain greater benefit from its practice.
5. Future Directions and Limitations
6. Conclusions
Author Contributions
Funding
Institutional Review Board Statement
Informed Consent Statement
Data Availability Statement
Acknowledgments
Conflicts of Interest
References
- Lu, C.; Buchanan, A. Developing Students’ Emotional Well-being in Physical Education. J. Phys. Educ. Recreat. Dance 2014, 85, 28–33. [Google Scholar] [CrossRef]
- Donnelly, J.E.; Hillman, C.H.; Castelli, D.; Etnier, J.L.; Lee, S.; Tomporowski, P.; Lambourne, K.; Szabo-Reed, A.N. Physical Activity, Fitness, Cognitive Function, and Academic Achievement in Children: A Systematic Review. Med. Sci. Sports Exerc. 2016, 48, 1197–1222. [Google Scholar] [CrossRef] [Green Version]
- Álvarez-Bueno, C.; Pesce, C.; Cavero-Redondo, I.; Sánchez-López, M.; Martínez-Hortelano, J.A.; Martínez-Vizcaíno, V. The Effect of Physical Activity Interventions on Children’s Cognition and Metacognition: A Systematic Review and Meta-Analysis. J. Am. Acad. Child. Adolesc. Psychiatry 2017, 56, 729–738. [Google Scholar] [CrossRef]
- Pesce, C.; Ben-Soussan, T.D. “Cogito ergo sum” or “ambulo ergo sum”? New perspectives in developmental exercise and cognition research. In Exercise-Cognition Interaction: Neuroscience Perspectives; Elsevier Academic Press: San Diego, CA, USA, 2016; pp. 251–282. [Google Scholar]
- Hills, A.P.; Dengel, D.R.; Lubans, D.R. Supporting public health priorities: Recommendations for physical education and physical activity promotion in schools. Prog. Cardiovasc. Dis. 2015, 57, 368–374. [Google Scholar] [CrossRef] [Green Version]
- Vaquero-Solís, M.; Gallego, D.I.; Tapia-Serrano, M.Á.; Pulido, J.J.; Sánchez-Miguel, P.A. School-based Physical Activity Interventions in Children and Adolescents: A Systematic Review. Int. J. Environ. Res. Public Health 2020, 17, 999. [Google Scholar] [CrossRef] [Green Version]
- Andermo, S.; Hallgren, M.; Jonsson, S.; Petersen, S.; Friberg, M.; Romqvist, A.; Stubbs, B.; Elinder, L.S. School-related physical activity interventions and mental health among children: A systematic review and meta-analysis. Sports Med. Open 2020, 6, 25. [Google Scholar] [CrossRef]
- Lerche, S.; Gutfreund, A.; Brockmann, K.; Hobert, M.A.; Wurster, I.; Sünkel, U.; Eschweiler, G.W.; Metzger, F.G.; Maetzler, W.; Berg, D. Effect of physical activity on cognitive flexibility, depression and RBD in healthy elderly. Clin. Neurol. Neurosurg. 2018, 165, 88–93. [Google Scholar] [CrossRef]
- Themanson, J.R.; Pontifex, M.B.; Hillman, C.H. Fitness and action monitoring: Evidence for improved cognitive flexibility in young adults. Neuroscience 2008, 157, 319–328. [Google Scholar] [CrossRef] [Green Version]
- Voyer, D.; Jansen, P. Motor expertise and performance in spatial tasks: A meta-analysis. Hum. Mov. Sci. 2017, 54, 110–124. [Google Scholar] [CrossRef]
- Colcombe, S.J.; Erickson, K.I.; Raz, N.; Webb, A.G.; Cohen, N.J.; McAuley, E.; Kramer, A.F. Aerobic Fitness Reduces Brain Tissue Loss in Aging Humans. J. Gerontol. Ser. A Biol. Sci. Med. Sci. 2003, 58, M176–M180. [Google Scholar] [CrossRef] [Green Version]
- Erickson, K.I.; Voss, M.W.; Prakash, R.S.; Basak, C.; Szabo, A.; Chaddock, L.; Kim, J.; Heo, S.; Alves, H.; White, S.M.; et al. Exercise training increases size of hippocampus and improves memory. Proc. Natl. Acad. Sci. USA 2011, 108, 3017–3022. [Google Scholar] [CrossRef] [Green Version]
- Diamond, A. Close interrelation of motor development and cognitive development and of the cerebellum and prefrontal cor-tex. Child. Dev. 2000, 71, 44–56. [Google Scholar] [CrossRef]
- Soltani, E.; Shareh, H.; Bahrainian, S.A.; Farmani, A. The mediating role of cognitive flexibility in correlation of coping styles and resilience with depression. Pajoohandeh J. 2013, 18, 88–96. [Google Scholar]
- Fu, F.; Chow, A. Traumatic Exposure and Psychological Well-Being: The Moderating Role of Cognitive Flexibility. J. Loss Trauma 2016, 22, 24–35. [Google Scholar] [CrossRef]
- Lin, W.-L.; Tsai, P.-H.; Lin, H.-Y.; Chen, H.-C. How does emotion influence different creative performances? The mediating role of cognitive flexibility. Cogn. Emot. 2014, 28, 834–844. [Google Scholar] [CrossRef]
- Dreu, C.K.W.D.; Nijstad, B.A.; Baas, M. Behavioral Activation Links to Creativity Because of Increased Cognitive Flexibility. Soc. Psychol. Pers. Sci. 2011, 2, 72–80. [Google Scholar] [CrossRef]
- Santos, S.D.L.; Memmert, D.; Sampaio, J.; Leite, N. The Spawns of Creative Behavior in Team Sports: A Creativity Developmental Framework. Front. Psychol. 2016, 7, 1282. [Google Scholar] [CrossRef] [Green Version]
- Newcombe, N.S.; Huttenlocher, J. Making Space: The Development of Spatial Representation and Reasoning; The MIT Press: Cambridge, MA, USA, 2000; Available online: https://direct.mit.edu/books/book/2049/making-spacethe-development-of-spatial (accessed on 27 June 2021).
- Montello, D.R.; Raubal, M. Functions and applications of spatial cognition. In Handbook of Spatial Cognition; American Psychological Association: Washington, DC, USA, 2013; pp. 249–264. [Google Scholar]
- Proulx, M.J.; Todorov, O.S.; Aiken, A.T.; De Sousa, A.A. Where am I? Who am I? The Relation between Spatial Cognition, Social Cognition and Individual Differences in the Built Environment. Front. Psychol. 2016, 7, 64. [Google Scholar] [CrossRef] [Green Version]
- Moore, A.; Malinowski, P. Meditation, mindfulness and cognitive flexibility. Conscious. Cogn. 2009, 18, 176–186. [Google Scholar] [CrossRef]
- Zeidan, F.; Johnson, S.K.; Diamond, B.J.; David, Z.; Goolkasian, P. Mindfulness meditation improves cognition: Evidence of brief mental training. Conscious. Cogn. 2010, 19, 597–605. [Google Scholar] [CrossRef]
- Kozhevnikov, M.; Louchakova, O.; Josipovic, Z.; Motes, M.A. The Enhancement of Visuospatial Processing Efficiency through Buddhist Deity Meditation. Psychol. Sci. 2009, 20, 645–653. [Google Scholar] [CrossRef] [PubMed]
- Hartkamp, M.; Thornton, I.M. Meditation, Cognitive Flexibility and Well-Being. J. Cogn. Enhanc. 2017, 1, 182–196. [Google Scholar] [CrossRef]
- Waters, L.; Barsky, A.; Ridd, A.; Allen, K. Contemplative education: A systematic, evidence-based review of the effect of medita-tion interventions in schools. Educ. Psychol. Rev. 2015, 27, 103–134. [Google Scholar] [CrossRef] [Green Version]
- Grosswald, S.J.; Stixrud, W.R.; Stixrud, W.; Travis, F.; Bateh, M.A. Use of the transcendental meditation technique to reduce symp-toms of attention deficit hyperactivity disorder (ADHD) by reducing stress and anxiety: An exploratory study. Curr. Issues Educ. 2008, 10, 14. [Google Scholar]
- Zenner, C.; Herrnleben-Kurz, S.; Walach, H. Mindfulness-Based Interventions in Schools—A Systematic Review and Meta-analysis. Front. Psychol. 2014, 5, 603. Available online: http://journal.frontiersin.org/article/10.3389/fpsyg.2014.00603/abstract (accessed on 27 June 2021). [CrossRef] [Green Version]
- Lippelt, D.P.; Hommel, B.; Colzato, L.S. Focused attention, open monitoring and loving kindness meditation: Effects on attention, conflict monitoring, and creativity—A review. Front. Psychol. 2014, 5, 1083. [Google Scholar] [CrossRef] [Green Version]
- Müller, B.C.N.; Gerasimova, A.; Ritter, S.M. Concentrative meditation influences creativity by increasing cognitive flexibility. Psychol. Aesthet. Creat. Arts 2016, 10, 278–286. [Google Scholar] [CrossRef]
- Pragya, S.U.; Mehta, N.D.; Abomoelak, B.; Uddin, P.; Veeramachaneni, P.; Mehta, N.; Moore, S.; Jean-Francois, M.; Garcia, S.; Pragya, S.C.; et al. Effects of Combining Meditation Tech-niques on Short-Term Memory, Attention, and Affect in Healthy College Students. Front. Psychol. 2021, 12, 607573. [Google Scholar] [CrossRef]
- Youngs, M.A.; Lee, S.E.; Mireku, M.O.; Sharma, D.; Kramer, R.S.S. Mindfulness Meditation Improves Visual Short-Term Memory. Psychol. Rep. 2021, 124, 1673–1686. [Google Scholar] [CrossRef]
- Runco, M.A.; Pritzker, S.R. Encyclopedia of Creativity [Internet]. 2020. Available online: https://public.ebookcentral.proquest.com/choice/publicfullrecord.aspx?p=6195037 (accessed on 28 June 2021).
- Colzato, L.S.; van der Wel, P.; Sellaro, R.; Hommel, B. A single bout of meditation biases cognitive control but not attentional fo-cusing: Evidence from the global-local task. Conscious. Cogn. 2016, 39, 1–7. [Google Scholar] [CrossRef]
- Ainsworth, B.; Eddershaw, R.; Meron, D.; Baldwin, D.S.; Garner, M. The effect of focused attention and open monitoring medita-tion on attention network function in healthy volunteers. Psychiatry Res. 2013, 210, 1226–1231. [Google Scholar] [CrossRef]
- Lutz, A.; Slagter, H.; Dunne, J.D.; Davidson, R.J. Attention regulation and monitoring in meditation. Trends Cogn. Sci. 2008, 12, 163–169. [Google Scholar] [CrossRef] [PubMed] [Green Version]
- Biddle, S.J.H.; Gorely, T.; Pearson, N.; Bull, F.C. An assessment of self-reported physical activity instruments in young people for population surveillance: Project ALPHA. Int. J. Behav. Nutr. Phys. Act. 2011, 8, 1. [Google Scholar] [CrossRef] [PubMed] [Green Version]
- Mavilidi, M.F.; Ruiter, M.; Schmidt, M.; Okely, A.D.; Loyens, S.; Chandler, P.; Paas, F. A Narrative Review of School-Based Physical Activity for Enhancing Cognition and Learning: The Importance of Relevancy and Integration. Front. Psychol. 2018, 9, 2079. [Google Scholar] [CrossRef]
- Vazou, S.; Webster, C.A.; Stewart, G.; Candal, P.; Egan, C.A.; Pennell, A.; Russ, L.B. A Systematic Review and Qualitative Synthesis Re-sulting in a Typology of Elementary Classroom Movement Integration Interventions. Sports Med. Open 2020, 6, 1. [Google Scholar] [CrossRef] [PubMed]
- Masini, A.; Marini, S.; Gori, D.; Leoni, E.; Rochira, A.; Dallolio, L. Evaluation of school-based interventions of active breaks in pri-mary schools: A systematic review and meta-analysis. J. Sci. Med. Sport 2020, 23, 377–384. [Google Scholar] [CrossRef] [PubMed]
- Mazzoli, E.; Teo, W.-P.; Salmon, J.; Pesce, C.; He, J.; Ben-Soussan, T.D.; Barnett, L.M. Associations of Class-Time Sitting, Stepping and Sit-to-Stand Transitions with Cognitive Functions and Brain Activity in Children. Int. J. Environ. Res. Public Health 2019, 16, 1482. [Google Scholar] [CrossRef] [Green Version]
- Ma, J.K.; Le Mare, L.; Gurd, B.J. Four minutes of in-class high-intensity interval activity improves selective attention in 9- to 11-year olds. Appl. Physiol. Nutr. Metab. 2015, 40, 238–244. [Google Scholar] [CrossRef]
- Mazzoli, E.; Salmon, J.; Teo, W.; Pesce, C.; He, J.; Ben-Soussan, T.; Barnett, L. The mediating effects of breaking up classroom sitting with cognitively engaging or simple active breaks on children’s cognition. J. Sci. Med. Sport 2019, 22, S22–S23. [Google Scholar] [CrossRef]
- Diamond, A.; Ling, D.S. Conclusions about interventions, programs, and approaches for improving executive functions that appear justified and those that, despite much hype, do not. Dev. Cogn. Neurosci. 2016, 18, 34–48. [Google Scholar] [CrossRef] [Green Version]
- Pesce, C. Shifting the Focus from Quantitative to Qualitative Exercise Characteristics in Exercise and Cognition Research. J. Sport Exerc. Psychol. 2012, 34, 766–786. [Google Scholar] [CrossRef] [Green Version]
- Ben-Soussan, T.D.; Glicksohn, J.; Berkovich-Ohana, A. From Cerebellar Activation and Connectivity to Cognition: A Review of the Quadrato Motor Training. BioMed Res. Int. 2015, 2015, 954901. [Google Scholar] [CrossRef] [Green Version]
- De Fano, A.; Leshem, R.; Ben-Soussan, T.D. Creating an Internal Environment of Cognitive and Psycho-Emotional Well-Being through an External Movement-Based Environment: An Overview of Quadrato Motor Training. Int. J. Environ. Res. Public Health 2019, 16, 2160. [Google Scholar] [CrossRef] [PubMed] [Green Version]
- Dotan Ben-Soussan, T.; Glicksohn, J.; Goldstein, A.; Berkovich-Ohana, A.; Donchin, O. Into the Square and out of the Box: The effects of Quadrato Motor Training on Creativity and Alpha Coherence. Antonietti A, editor. PLoS ONE 2013, 8, e55023. [Google Scholar] [CrossRef]
- Piervincenzi, C.; Ben-Soussan, T.D.; Mauro, F.; Mallio, C.A.; Errante, Y.; Quattrocchi, C.C.; Carducci, F. White Matter Microstructural Changes Following Quadrato Motor Training: A Longitudinal Study. Front. Hum. Neurosci. 2017, 11, 590. [Google Scholar] [CrossRef] [PubMed] [Green Version]
- Lasaponara, S.; Mauro, F.; Carducci, F.; Paoletti, P.; Tombini, M.; Quattrocchi, C.C.; Mallio, C.A.; Errante, Y.; Scarciolla, L.; Ben-Soussan, T.D. Increased Alpha Band Functional Connec-tivity Following the Quadrato Motor Training: A Longitudinal Study. Front. Hum. Neurosci. 2017, 11, 282. [Google Scholar] [CrossRef] [Green Version]
- Venditti, S.; Verdone, L.; Pesce, C.; Tocci, N.; Caserta, M.; Ben-Soussan, T.D. Creating Well-Being: Increased Creativity and proNGF Decrease following Quadrato Motor Training. BioMed Res. Int. 2015, 2015, 275062. [Google Scholar] [CrossRef]
- Paoletti, P. OMM the One Minute Meditation, 5th ed.; Medidea: Tenero-Contra, Switzerland, 2018. [Google Scholar]
- Hanley, A.W.; Dambrun, M.; Garland, E.L. Effects of Mindfulness Meditation on Self-Transcendent States: Perceived Body Boundaries and Spatial Frames of Reference. Mindfulness 2020, 11, 1194–1203. [Google Scholar] [CrossRef]
- Colzato, L.S.; Szapora, A.; Lippelt, D.; Hommel, B. Prior meditation practice modulates performance and strategy use in conver-gent- and divergent-thinking problems. Mindfulness 2017, 8, 10–16. [Google Scholar] [CrossRef] [Green Version]
- Cahn, B.R.; Polich, J. Meditation states and traits: EEG, ERP, and neuroimaging studies. Psychol. Bull. 2006, 132, 180–211. [Google Scholar] [CrossRef] [PubMed]
- Leshem, R.; De Fano, A.; Ben-Soussan, T.D. The Implications of Motor and Cognitive Inhibition for Hot and Cool Executive Functions: The Case of Quadrato Motor Training. Front. Psychol. 2020, 11, 940. [Google Scholar] [CrossRef]
- Palmiero, M.; Srinivasan, N. Creativity and Spatial Ability: A critical evaluation. In Cognition, Experience and Creativity; Orient Blackswan: Hyderabad, India, 2015; pp. 189–214. [Google Scholar]
- Paoletti, P.; Ben Soussan, T.D. The Sphere Model of Consciousness: From Geometrical to Neuro-Psycho-Educational Perspec-tives. Log. Univers. 2019, 13, 395–415. [Google Scholar] [CrossRef] [Green Version]
- Pintimalli, A.; Di Giuseppe, T.; Serantoni, G.; Glicksohn, J.; Ben-Soussan, T.D. Dynamics of the Sphere Model of Consciousness: Silence, Space, and Self. Front. Psychol. 2020, 11, 548813. [Google Scholar] [CrossRef] [PubMed]
- Blajenkova, O.; Kozhevnikov, M.; Motes, M.A. Object-spatial imagery: A new self-report imagery questionnaire. Appl. Cogn. Psychol. 2006, 20, 239–263. [Google Scholar] [CrossRef] [Green Version]
- Jha, A.P.; Krompinger, J.; Baime, M.J. Mindfulness training modifies subsystems of attention. Cogn. Affect. Behav. Neurosci. 2007, 7, 109–119. [Google Scholar] [CrossRef]
- Chambers, R.; Lo, B.C.Y.; Allen, N.B. The Impact of Intensive Mindfulness Training on Attentional Control, Cognitive Style, and Affect. Cogn. Ther. Res. 2007, 32, 303–322. [Google Scholar] [CrossRef]
- Hommel, B.; Colzato, L.S. Meditation and Metacontrol. J. Cogn Enhanc. 2017, 1, 115–121. [Google Scholar] [CrossRef] [PubMed] [Green Version]
- Geng, L.; Zhang, L.; Zhang, D. Improving spatial abilities through mindfulness: Effects on the mental rotation task. Conscious. Cogn. 2011, 20, 801–806. [Google Scholar] [CrossRef]
- Greenberg, J.; Reiner, K.; Meiran, N. “Mind the Trap”: Mindfulness Practice Reduces Cognitive Rigidity. PLoS ONE 2012, 7, e36206. [Google Scholar]
- Raffone, A.; Srinivasan, N. The exploration of meditation in the neuroscience of attention and consciousness. Cogn. Process. 2009, 11, 1–7. [Google Scholar] [CrossRef]
- Srinivasan, N. Consciousness Without Content: A Look at Evidence and Prospects. Front. Psychol. 2020, 11, 1992. [Google Scholar] [CrossRef] [PubMed]
- Gallagher, S. Philosophical conceptions of the self: Implications for cognitive science. Trends Cogn. Sci. 2000, 4, 14–21. [Google Scholar] [CrossRef]
- Eldridge, S.M.; Chan, C.L.; Campbell, M.J.; Bond, C.M.; Hopewell, S.; Thabane, L.; Lancaster, G.A. CONSORT 2010 statement: Extension to ran-domised pilot and feasibility trials. BMJ 2016, 355, i5239. [Google Scholar] [CrossRef] [Green Version]
- Wellek, S.; Blettner, M. On the Proper Use of the Crossover Design in Clinical Trials. Dtsch. Aerzteblatt Online 2012, 109, 276–281. [Google Scholar] [CrossRef] [PubMed]
- Jones, B.; Kenward, M.G. Design and Analysis of Cross-Over Trials, 3rd ed.; CRC Press/Taylor & Francis: Boca Raton, FL, USA, 2014; 412p. [Google Scholar]
- Ben-Soussan, T.D.; Berkovich-Ohana, A.; Piervincenzi, C.; Glicksohn, J.; Carducci, F. Embodied Cognitive Flexibility and Neuroplasticity Following Quadrato Motor Training. Front. Psychol. 2015, 6, 1021. Available online: https://www.frontiersin.org/articles/10.3389/fpsyg.2015.01021/full (accessed on 28 June 2021). [CrossRef]
- Ben-Soussan, T.D.; Berkovich-Ohana, A.; Glicksohn, J.; Goldstein, A. A suspended act: Increased reflectivity and gender-dependent electrophysiological change following Quadrato Motor Training. Front. Psychol. 2014, 5, 55. Available online: http://journal.frontiersin.org/article/10.3389/fpsyg.2014.00055/abstract (accessed on 27 June 2021). [CrossRef] [Green Version]
- Runco, M.A.; Acar, S. Divergent Thinking as an Indicator of Creative Potential. Creat. Res. J. 2012, 24, 66–75. [Google Scholar] [CrossRef]
- Witkin, H.A.; Oltman, P.K.; Raskin, E.; Karp, S.A. A Manual for the Embedded Figures Tests; Consulting Psychologists Press: Palo Alto, CA, USA, 1971. [Google Scholar]
- Glicksohn, J.; Kinberg, Z. Performance on embedded figures tests: Profiling individual differences. J. Individ. Differ. 2009, 30, 152–162. [Google Scholar] [CrossRef]
- Carroll, J.B.; Guilford, J.P. The Nature of Human Intelligence. Am. Educ. Res. J. 1968, 5, 249. [Google Scholar] [CrossRef]
- Nijstad, B.A.; De Dreu, C.K.W.; Rietzschel, E.F.; Baas, M. The dual pathway to creativity model: Creative ideation as a function of flexibility and persistence. Eur. Rev. Soc. Psychol. 2010, 21, 34–77. [Google Scholar] [CrossRef]
- Reiter-Palmon, R.; Forthmann, B.; Barbot, B. Scoring divergent thinking tests: A review and systematic framework. Psychol. Aesthet. Creat. Arts 2019, 13, 144–152. [Google Scholar] [CrossRef]
- Glicksohn, J.; Hadad, Y.; Ben-Yaacov, T. “Now you see me, now you don’t”: The assessment of impulsivity. Cogent Psychol. 2016, 3, 1242682. [Google Scholar] [CrossRef]
- Stevenson, J.L.; Gernsbacher, M.A. Abstract Spatial Reasoning as an Autistic Strength. PLoS ONE 2013, 8, e59329. [Google Scholar] [CrossRef] [PubMed] [Green Version]
- MacLeod, C.M.; Jackson, R.A.; Palmer, J. On the relation between spatial ability and field dependence. Intelligence 1986, 10, 141–151. [Google Scholar] [CrossRef]
- Cohen, J. Statistical Power Analysis for the Behavioral Sciences. 2013. Available online: https://www.taylorfrancis.com/books/9781134742707 (accessed on 27 June 2021).
- Lenhard, W.; Lenhard, A. Computation of Effect Sizes. 2017, unpublished. Available online: http://rgdoi.net/10.13140/RG.2.2.17823.92329 (accessed on 28 June 2021).
- Uanhoro, J.O. Effect Size Calculators [Internet]. 2017. Available online: https://effect-size-calculator.herokuapp.com/ (accessed on 28 June 2021).
- Diamond, A.; Ling, D.S. Review of the Evidence on, and Fundamental Questions About, Efforts to Improve Executive Func-tions, Including Working Memory. In Cognitive and Working Memory Training; Oxford University Press: Oxford, UK, 2020; Available online: https://oxford.universitypressscholarship.com/view/10.1093/oso/9780199974467.001.0001/oso-9780199974467-chapter-8 (accessed on 27 June 2021).
- Diamond, A.; Ling, D.S. Aerobic-Exercise and resistance-training interventions have been among the least effective ways to improve executive functions of any method tried thus far. Dev. Cogn. Neurosci. 2019, 37, 100572. [Google Scholar] [CrossRef] [PubMed]
- Strawson, P.F. Individuals; Routledge: London, UK, 1959. [Google Scholar]
- Strawson, P.F. Imagination and Perception; Oxford Scholarship: Oxford, UK, 1974; p. 9. [Google Scholar]
- Khachouf, O.T.; Poletti, S.; Pagnoni, G. The embodied transcendental: A Kantian perspective on neurophenomenology. Front. Hum. Neurosci. 2013, 7, 611. [Google Scholar] [CrossRef] [Green Version]
- Jerath, R.; Crawford, M.W.; Barnes, V.A. A unified 3D default space consciousness model combining neurological and physiolog-ical processes that underlie conscious experience. Front. Psychol. 2015, 6, 1204. [Google Scholar] [CrossRef]
- Rizzolatti, G.; Sinigaglia, C. So Quel Che Fai: Il cervEllo Che Agisce e i Neuroni Specchio; Milano: Cortina, Italy, 2014. [Google Scholar]
- Boroditsky, L.; Ramscar, M. The Roles of Body and Mind in Abstract Thought. Psychol. Sci. 2002, 13, 185–189. [Google Scholar] [CrossRef] [Green Version]
- Siegel, A.W.; White, S.H. The development of spatial representations of large-scale environments. Adv. Child Dev. Behav. 1975, 10, 9–55. [Google Scholar]
- Caeyenberghs, K.; Tsoupas, J.; Wilson, P.H.; Smits-Engelsman, B.C.M. Motor imagery development in primary school children. Dev. Neuropsychol. 2009, 34, 103–121. [Google Scholar] [CrossRef]
- Lejeune, C.; Catale, C.; Schmitz, X.; Quertemont, E.; Meulemans, T. Age-related differences in perceptuomotor procedural learning in children. J. Exp. Child. Psychol. 2013, 116, 157–168. [Google Scholar] [CrossRef]
- Gogtay, N.; Giedd, J.N.; Lusk, L.; Hayashi, K.M.; Greenstein, D.; Vaituzis, A.C.; Nugent, T.F.; Herman, D.H.; Clasen, L.S.; Toga, A.W.; et al. Dynamic mapping of human cortical develop-ment during childhood through early adulthood. Proc. Natl. Acad. Sci. USA 2004, 101, 8174–8179. [Google Scholar] [CrossRef] [Green Version]
- Wilke, M.; Krägeloh-Mann, I.; Holland, S.K. Global and local development of gray and white matter volume in normal children and adolescents. Exp. Brain Res. 2006, 178, 296–307. [Google Scholar] [CrossRef] [Green Version]
- Salehi, S.K.; Sheikh, M.; Hemayattalab, R.; Humaneyan, D. The Effect of Different Ages levels and explicit—implicit Knowledge on Motor Sequence Learning. Int. J. Environ. Sci. Educ. 2016, 18, 13157–13165. [Google Scholar]
- Fisher, R. Still thinking: The case for meditation with children. Think. Ski. Creat. 2006, 1, 146–151. [Google Scholar] [CrossRef]
- Ding, X.; Tang, Y.-Y.; Tang, R.; Posner, M.I. Improving creativity performance by short-term meditation. Behav. Brain Funct. 2014, 10, 9. [Google Scholar] [CrossRef] [PubMed] [Green Version]
- Ward, T.B.; Patterson, M.J.; Sifonis, C.M. The Role of Specificity and Abstraction in Creative Idea Generation. Creat. Res. J. 2004, 16, 1–9. [Google Scholar] [CrossRef]
- Mykytyn, P.P. Group Embedded Figures Test (GEFT): Individual Differences, Performance, and Learning Effects. Educ. Psychol. Meas. 1989, 49, 951–959. [Google Scholar] [CrossRef]
- Abraham, A. The Neuroscience of Creativity; Cambridge University Press: Cambridge, UK, 2018; (Cambridge Fundamentals of Neuroscience in Psychology); Available online: https://www.cambridge.org/core/books/neuroscience-of-creativity/BE7E0E94E2CCD9F8811D830E8027936B (accessed on 24 June 2021).
- Dietrich, A. Types of creativity. Psychon Bull. Rev. 2019, 26, 1–12. [Google Scholar] [CrossRef] [Green Version]
- Joronen, K.; Rankin, S.H.; Astedt-Kurki, P. School-based drama interventions in health promotion for children and adolescents: Systematic review. J. Adv. Nurs. 2008, 63, 116–131. [Google Scholar] [CrossRef]
- Joronen, K.; Aikasalo, A.; Suvitie, A. Nonphysical effects of exergames on child and adolescent well-being: A comprehensive systematic review. Scand. J. Caring Sci. 2017, 31, 449–461. [Google Scholar] [CrossRef] [PubMed]




| QMT | OMM | |||||
|---|---|---|---|---|---|---|
| Cohen’s d | Lower CI | Upper CI | Cohen’s d | Lower CI | Upper CI | |
| 5th grade | 0.48 | −0.06 | 1.01 | −1.04 | −1.66 | −0.39 |
| 6th grade | 0 | \ | \ | 1.59 | 0.81 | 2.35 |
| 7th grade | 0.47 | −0.23 | 1.14 | 0.77 | 0.01 | 1.51 |
| 8th grade | 0.69 | 0.01 | 1.33 | 1.05 | 0.29 | 1.79 |
| QMT | OMM | |||||
|---|---|---|---|---|---|---|
| Cohen’s d | Lower CI | Upper CI | Cohen’s d | Lower CI | Upper CI | |
| 5th grade | 1.21 | 0.53 | 1.88 | −0.45 | −0.98 | 0.08 |
| 6th grade | 0.04 | −0.46 | 0.54 | 0.11 | −0.39 | 0.62 |
| 7th grade | −0.21 | −0.87 | 0.45 | −0.50 | −1.18 | 0.21 |
| 8th grade | −0.78 | −1.45 | −0.08 | 0.62 | −0.03 | 1.26 |
| QMT | OMM | |||||
|---|---|---|---|---|---|---|
| Cohen’s d | Lower CI | Upper CI | Cohen’s d | Lower CI | Upper CI | |
| 5th grade | 1.08 | 0.43 | 1.71 | −0.36 | −0.87 | 0.16 |
| 6th grade | −0.13 | −0.63 | 0.38 | 0.18 | −0.33 | 0.68 |
| 7th grade | −0.19 | −0.85 | 0.46 | 0.17 | −0.49 | 0.82 |
| 8th grade | −0.32 | −0.92 | 0.29 | 0.81 | 0.11 | 1.49 |
| QMT | OMM | |||||
|---|---|---|---|---|---|---|
| Cohen’s d | Lower CI | Upper CI | Cohen’s d | Lower CI | Upper CI | |
| 5th grade | −0.06 | −0.56 | 0.44 | 0.08 | −0.42 | 0.59 |
| 6th grade | 0.39 | −0.14 | 0.91 | 0.23 | −0.28 | 0.74 |
| 7th grade | −0.06 | −0.71 | 0.58 | 0.06 | −0.58 | 0.72 |
| 8th grade | 0.20 | −0.40 | 0.79 | −0.13 | −0.72 | 0.46 |
Publisher’s Note: MDPI stays neutral with regard to jurisdictional claims in published maps and institutional affiliations. |
© 2021 by the authors. Licensee MDPI, Basel, Switzerland. This article is an open access article distributed under the terms and conditions of the Creative Commons Attribution (CC BY) license (https://creativecommons.org/licenses/by/4.0/).
Share and Cite
Marson, F.; Fano, A.D.; Pellegrino, M.; Pesce, C.; Glicksohn, J.; Ben-Soussan, T.D. Age-Related Differential Effects of School-Based Sitting and Movement Meditation on Creativity and Spatial Cognition: A Pilot Study. Children 2021, 8, 583. https://doi.org/10.3390/children8070583
Marson F, Fano AD, Pellegrino M, Pesce C, Glicksohn J, Ben-Soussan TD. Age-Related Differential Effects of School-Based Sitting and Movement Meditation on Creativity and Spatial Cognition: A Pilot Study. Children. 2021; 8(7):583. https://doi.org/10.3390/children8070583
Chicago/Turabian StyleMarson, Fabio, Antonio De Fano, Michele Pellegrino, Caterina Pesce, Joseph Glicksohn, and Tal Dotan Ben-Soussan. 2021. "Age-Related Differential Effects of School-Based Sitting and Movement Meditation on Creativity and Spatial Cognition: A Pilot Study" Children 8, no. 7: 583. https://doi.org/10.3390/children8070583
APA StyleMarson, F., Fano, A. D., Pellegrino, M., Pesce, C., Glicksohn, J., & Ben-Soussan, T. D. (2021). Age-Related Differential Effects of School-Based Sitting and Movement Meditation on Creativity and Spatial Cognition: A Pilot Study. Children, 8(7), 583. https://doi.org/10.3390/children8070583

