High BAL sRAGE is Associated with Low Serum Eosinophils and IgE in Children with Asthma
Abstract
1. Introduction
2. Materials and Methods
Statistical Analysis
3. Results
4. Discussion
5. Conclusions
Author Contributions
Funding
Conflicts of Interest
References
- Zahran, H.S.; Bailey, C.M.; Damon, S.A.; Garbe, P.L.; Breysse, P.N. Vital Signs: Asthma in Children—United States, 2001–2016. Morb. Mortal. Wkly. Rep. 2018, 67, 149–155. [Google Scholar] [CrossRef] [PubMed]
- Hall, M.J.; DeFrances, C.J.; Williams, S.N.; Golosinskiy, A.; Schwartzman, A. National Hospital Discharge Survey: 2007 summary. Natl. Health Stat. Rep. 2010, 29, 1–20. Available online: http://www.ncbi.nlm.nih.gov/pubmed/21086860 (accessed on 2 April 2020).
- Nurmagambetov, T.; Kuwahara, R.; Garbe, P. The economic burden of asthma in the United States, 2008–2013. Ann. Am. Thorac. Soc. 2018, 15, 348–356. [Google Scholar] [CrossRef] [PubMed]
- Ayakannu, R.; Abdullah, N.A.; Radhakrishnan, A.K.; Raj, V.L.; Liam, C.K. Relationship between various cytokines implicated in asthma. Hum. Immunol. 2019, 80, 755–763. [Google Scholar] [CrossRef] [PubMed]
- Oettgen, H.C.; Geha, R.S. IgE regulation and roles in asthma pathogenesis. J. Allergy Clin. Immunol. 2001, 107, 429–441. [Google Scholar] [CrossRef]
- Hamelmann, E.; Tadeda, K.; Oshiba, A.; Gelfand, E.W. Role of IgE in the development of allergic airway inflammation and airway hyperresponsiveness—A murine model. Allergy Eur. J. Allergy Clin. Immunol. 1999, 54, 297–305. [Google Scholar] [CrossRef]
- Howarth, P.H.; Durham, S.R.; Kay, A.B.; Holgate, S.T. The relationship between mast cell-mediator release and bronchial reactivity in allergic asthma. J. Allergy Clin. Immunol. 1987, 80, 703–711. [Google Scholar] [CrossRef]
- van der Heijden, F.L.; van Neerven, R.J.J.; van Katwijk, M.; Bos, J.D.; Kapsenberg, M.L. Serum-IgE-facilitated allergen presentation in atopic disease. J. Immunol. 1993, 150, 3643–3650. [Google Scholar]
- Azzawi, M.; Bradley, B.; Jeffery, P.K.; Frew, A.J.; Wardlaw, A.J.; Knowles, G.; Assoufi, B.; Collins, J.V.; Durham, S.; Kay, A. Identification of activated T lymphocytes and eosinophils in bronchial biopsies in stable atopic asthma. Am. Rev. Respir. Dis. 1990, 142, 1407–1413. [Google Scholar] [CrossRef]
- Bentley, A.M.; Menz, G.; Storz, C.; Robinson, D.S.; Bradley, B.; Jeffery, P.K.; Durham, S.R.; Kay, A.B. Identification of T lymphocytes, macrophages, and activated eosinophils in the bronchial mucosa in intrinsic asthma: Relationship to symptoms and bronchial responsiveness. Am. Rev. Respir. Dis. 1992, 146, 500–506. [Google Scholar] [CrossRef]
- Mukherjee, T.K.; Mukhopadhyay, S.; Hoidal, J.R. Implication of receptor for advanced glycation end product (RAGE) in pulmonary health and pathophysiology. Respir. Physiol. Neurobiol. 2008, 162, 210–215. [Google Scholar] [CrossRef] [PubMed]
- Neeper, M.; Schmidt, A.M.; Brett, J.; Yan, S.S.; Wang, F.; Pan, Y.C.E.; Elliston, K.; Stern, D.; Shaw, A. Cloning and expression of a cell surface receptor for advanced glycosylation end products of proteins. J. Biol. Chem. 1992, 267, 14998–15004. [Google Scholar] [PubMed]
- Yerkovich, S.T.; Chang, A.B.; Carroll, M.L.; Petsky, H.L.; Scrivener, G.; Upham, J.W. Soluble receptor for advanced glycation end products (sRAGE) is present at high concentrations in the lungs of children and varies with age and the pattern of lung inflammation. Respirology 2012, 17, 841–846. [Google Scholar] [CrossRef] [PubMed]
- Terpstra, M.L.; Aman, J.; Amerongen, G.P.V.N.; Groeneveld, A.B.J. Plasma biomarkers for acute respiratory distress syndrome: A systematic review and Meta-Analysis*. Crit. Care Med. 2014, 42, 691–700. [Google Scholar] [CrossRef] [PubMed]
- Oczypok, E.A.; Perkins, T.N.; Oury, T.D. All the “RAGE” in lung disease: The receptor for advanced glycation endproducts (RAGE) is a major mediator of pulmonary inflammatory responses. Paediatr. Respir. Rev. 2017, 23, 40–49. [Google Scholar] [CrossRef] [PubMed]
- Egron, C.; Roszyk, L.; Rochette, E.; Jabaudon, M.; Sapin, V.; Mulliez, A.; Labbé, A.; Coste, K. Serum soluble receptor for advanced glycation end-products during acute bronchiolitis in infant: Prospective study in 93 cases. Pediatr. Pulmonol. 2018, 53, 1429–1435. [Google Scholar] [CrossRef]
- Sessa, L.; Gatti, E.; Zeni, F.; Antonelli, A.; Catucci, A.; Koch, M.; Pompilio, G.; Fritz, G.; Raucci, A.; Bianchi, M.E. The Receptor for Advanced Glycation End-products (RAGE) is only present in mammals, and belongs to a family of Cell Adhesion Molecules (CAMs). PLoS ONE 2014, 9, e86903. [Google Scholar] [CrossRef]
- Frommhold, D.; Kamphues, A.; Hepper, I.; Pruenster, M.; Lukić, I.K.; Socher, I.; Zablotskaya, V.; Buschmann, K.; Lange-Sperandio, B.; Schymeinsky, J.; et al. RAGE and ICAM-1 cooperate in mediating leukocyte recruitment during acute inflammation in vivo. Blood 2010, 116, 841–849. [Google Scholar] [CrossRef]
- Bierhaus, A.; Schiekofer, S.; Schwaninger, M.; Andrassy, M.; Humpert, P.M.; Chen, J.; Hong, M.; Luther, T.; Henle, T.; Klöting, I.; et al. Diabetes-associated sustained activation of the transcription factor nuclear factor-κB. Diabetes 2001, 50, 2792–2808. [Google Scholar] [CrossRef]
- Oczypok, E.A.; Milutinovic, P.S.; Alcorn, J.F.; Khare, A.; Crum, L.T.; Manni, M.L.; Epperly, M.W.; Pawluk, A.M.; Ray, A.; Oury, T.D. Pulmonary receptor for advnaced glycation end products promotes asthma pathogenesis through IL-33 and accumulation of group 2 innate lymphoid cells. J. Allergy Immunol. 2015, 136, 747–756. [Google Scholar] [CrossRef]
- Sheller, J.R.; Polosukhin, V.V.; Mitchell, D.; Cheng, D.S.; Peebles, R.S.; Blackwell, T.S. Nuclear factor kappa B induction in airway epithelium increases lung inflammation in allergen-challenged mice. Exp. Lung Res. 2009, 35, 883–895. [Google Scholar] [CrossRef] [PubMed]
- Milutinovic, P.S.; Alcorn, J.F.; Englert, J.M.; Crum, L.T.; Oury, T.D. The receptor for advanced glycation end products is a central mediator of asthma pathogenesis. Am. J. Pathol. 2012, 181, 1215–1225. [Google Scholar] [CrossRef] [PubMed]
- Ullah, M.A.; Loh, Z.; Gan, W.J.; Zhang, V.; Yang, H.; Li, J.H.; Yamamoto, Y.; Schmidt, A.M.; Armour, C.L.; Hughes, J.M.; et al. Receptor for advanced glycation end products and its ligand high-mobility group box-1 mediate allergic airway sensitization and airway inflammation. J. Allergy Clin. Immunol. 2014, 134, 440–450. [Google Scholar] [CrossRef] [PubMed]
- Akirav, E.M.; Henegariu, O.; Preston-Hurlburt, P.; Schmidt, A.M.; Clynes, R.; Herold, K.C. The receptor for advanced glycation end products (RAGE) affects T cell differentiation in OVA induced asthma. PLoS ONE 2014, 9, e95678. [Google Scholar] [CrossRef]
- Yonekura, H.; Yamamoto, Y.; Sakurai, S.; Petrova, R.G.; Abedin, M.J.; Li, H.; Yasui, K.; Takeuchi, M.; Makita, Z.; Takasawa, S.; et al. Novel splice variants of the receptor for advanced glycation end-products expressed in human vascular endothelial cells and pericytes, and their putative roles in diabetes-induced vascular injury. Biochem. J. 2003, 370, 1097–1109. [Google Scholar] [CrossRef]
- Harashima, A.; Yamamoto, Y.; Cheng, C.; Tsuneyama, K.; Myint, K.M.; Takeuchi, A.; Yoshimura, K.; Li, H.; Watanabe, T.; Takasawa, S.; et al. Identification of mouse orthologue of endogenous secretory receptor for advanced glycation end-products: Structure, function and expression. Biochem. J. 2006, 396, 109–115. [Google Scholar] [CrossRef]
- Watanabe, T.; Asai, K.; Fujimoto, H.; Tanaka, H.; Kanazawa, H.; Hirata, K. Increased levels of HMGB-1 and endogenous secretory RAGE in induced sputum from asthmatic patients. Respir. Med. 2011, 105, 519–525. [Google Scholar] [CrossRef]
- El-Seify, M.Y.H.; Fouda, E.M.; Nabih, E.S. Serum level of soluble receptor for advanced glycation end products in asthmatic children and its correlation to severity and pulmonary functions. Clin. Lab. 2014, 60, 957–962. [Google Scholar] [CrossRef]
- Bediwy, A.S.; Hassan, S.M.; El-Najjar, M.R. Receptor of advanced glycation end products in childhood asthma exacerbation. Egypt. J. Chest Dis. Tuberc. 2015, 65, 15–18. [Google Scholar] [CrossRef]
- National Asthma Education and Prevention Program. Expert Panel Report 3 (EPR-3): Guidelines for the diagnosis and management of asthma-summary report 2007. J. Allergy Clin. Immunol. 2007, 120 (Suppl. S5), S94–S138. [Google Scholar] [CrossRef]
- Graham, B.L.; Steenbruggen, I.; Miller, M.R.; Barjaktarevic, I.; Cooper, B.G.; Hall, G.; Hallstrand, T.S.; Kaminsky, D.A.; McCarthy, K.; McCormack, M.C.; et al. Standardization of Spirometry 2019 Update. An Official American Thoracic Society and European Respiratory Society Technical Statement. Am. J. Respir. Crit. Care Med. 2019, 200, e70–e88. [Google Scholar] [CrossRef] [PubMed]
- Shim, E.J.; Chun, E.; Lee, H.S.; Bang, B.R.; Kim, T.W.; Cho, S.H.; Min, K.U.; Park, H.W. The role of high-mobility group box-1 (HMGB1) in the pathogenesis of asthma. Clin. Exp. Allerg. 2012, 42, 958–965. [Google Scholar] [CrossRef] [PubMed]
- Halayko, A.J.; Ghavami, S.A. S100A8/A9: A mediator of severe asthma pathogenesis and morbidity? Can. J. Physiol. Pharmacol. 2009, 87, 743–755. [Google Scholar] [CrossRef] [PubMed]
- Sukkar, M.B.; Wood, L.G.; Tooze, M.; Simpson, J.L.; McDonald, V.M.; Gibson, P.G.; Wark, P.A.B. Soluble RAGE is deficient in neutrophilic asthma and COPD. Eur. Respir. J. 2012, 39, 721–729. [Google Scholar] [CrossRef] [PubMed]
- Kamo, T.; Tasaka, S.; Takunda, Y.; Suzuki, S.; Asakura, T.; Yagi, K.; Namkoong, H.; Ishii, M.; Hasegawa, N.; Betsuyaku, T. Levels of soluble receptor for advanced glycation end products in bronchoalveolar lavage fluid in patients with various inflammatory lung diseases. Clin. Med. Insights Circ. Respir. Pulm. Med. 2015, 9, CCRPM-S29926. [Google Scholar] [CrossRef]
- Cuppari, C.; Manti, S.; Salpietro, A.; Valenti, S.; Capizzi, A.; Arrigo, T.; Salpietro, C.; Leonardi, S. HMGB1 levels in children with atopic eczema/dermatitis syndrome (AEDS). Paediatr. Allergy Immunol. 2015, 27, 99–102. [Google Scholar] [CrossRef]
- Zhu, X.; Cong, J.; Yang, B.; Sun, Y. Association Analysis of High-Mobility Group box-1 Protein 1 (HMGB1)/toll-like Receptor (TLR) 4 With Nasal Interleukins in Allergic Rhinitis Patients. Cytokine 2020, 126, 154880. [Google Scholar] [CrossRef]
- Tesarova, P.; Cabinakova, M.; Mikulova, V.; Zima, T.; Kalousova, M. RAGE and its ligands in cancer—Culprits, biomarkers, or therapeutic targets? Neoplasma 2015, 62, 353–364. [Google Scholar] [CrossRef][Green Version]
- Koyama, H.; Shoji, T.; Yokoyama, H.; Motoyama, K.; Mori, K.; Fukumoto, S.; Emoto, M.; Shoji, T.; Tamei, H.; Matsuki, H.; et al. Plasma level of endogenous secretory RAGE is associated with components of the metabolic syndrome and atherosclerosis. Arterioscler. Thromb. Vasc. Biol. 2005, 25, 2587–2593. [Google Scholar] [CrossRef]



| Characteristic | Overall (n = 45) | Low RAGE (n = 22) | High RAGE (n = 23) | p-Value |
|---|---|---|---|---|
| Median age, year (IQR) | 8.0 (4.0, 10.3) | 8.5 (5.8, 11.1) | 7.2 (2.6, 9.8) | 0.41 |
| Gender, % female (n) | 26.7 (12) | 31.8 (7) | 21.7 (5) | 0.45 |
| Ethnicity | 0.25 | |||
| African America | 73.3 (33) | 81.8 (18) | 65.2(15) | |
| Caucasian | 15.6 (7) | 9.1 (2) | 21.7 (5) | |
| Other | 11.1 (5) | 9.1 (2) | 13 (3) | |
| Gestational age, median week (n = 44) | 40 (34.8, 40) | 40 (34, 40) | 40 (36, 40) | 0.17 |
| BMI percentile, median (IQR) | 78.7 (25.2, 93.4) | 87 (43.6, 93.4) | 43.8 (21.5, 90.2) | 0.042 a |
| Reported diagnosis, % (n) | ||||
| Rhinitis | 82.4 (42) | 95.5 (21) | 78.3 (18) | 0.09 |
| Eczema | 35.3 (18) | 50 (11) | 21.7 (5) | 0.048 a |
| Reflux | 35.3 (18) | 31.8 (7) | 39.1 (9) | 0.61 |
| Sleep-disordered breathing | 23.5 (12) | 18.2 (4) | 30.4 (7) | 0.34 |
| Severe asthma | 55.6 (25) | 100 (22) | 43.5 (10) | 0.095 |
| Median daily inhaled steroid dose, (fluticasone equivalent), mcg (IQR) | 550 (500, 1050) | 1050 (550, 1050) | 550 (500, 1050) | 0.102 |
| Spirometry | Overall (n = 30) | Low RAGE (n = 18) | High RAGE (n = 12) | p-Value | |
|---|---|---|---|---|---|
| Median FEV1% predicted (SE) | 87.9 (3.1) | 86.9 (4.7) | 89.4 (3.3) | 0.7 | |
| Median FEV1/FVC (SE) | 84.2 (2.6) | 83.7 (4.1) | 84.9 (2.6) | 0.83 | |
| Median FEF25-75% predicted (SE) | 70.7 (4.9) | 66.9 (6.9) | 76.4 (6.5) | 0.35 | |
| BAL Studies | Overall (n = 45) | Low RAGE (n = 22) | High RAGE (n = 23) | p-Value | |
| Eosinophil %, mean (SE), n = 38 | 6.0 (1.4) | 5.3 (1.4) | 6.7 (2.4) | 0.63 | |
| Neutrophil %, mean (SE), n = 37 | 28.1 (4.2) | 25.4 (7.0) | 30.7 (5.0) | 0.54 | |
| +Viral Panel c, % (n); n = 44 | 28.6 (6) | 26.1 (6) | 0.85 | ||
| +Bacterial culture % (n); n = 37 | 15.8 (3) | 16.7 (3) | 0.94 | ||
| Serum Studies | Adjusted p-Value b | ||||
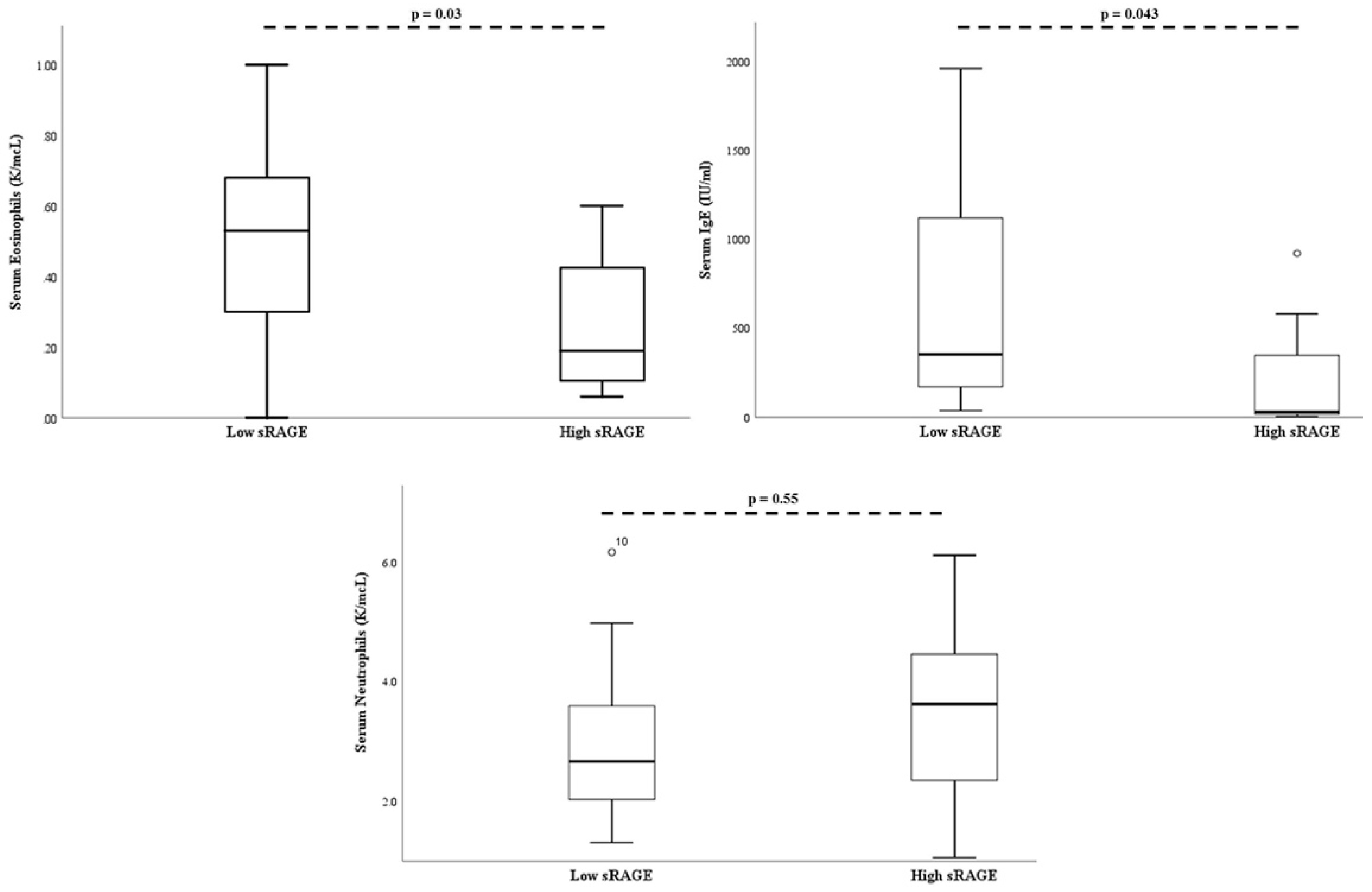
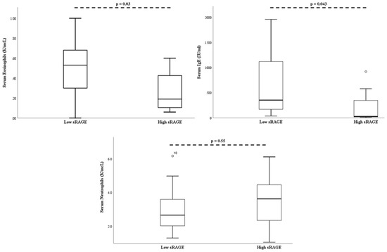
| Serum IgE (IU/mL), mean (SE), n = 39 | 441.5 (86.3) | 676.2 (140.5) | 194.4 (60.7) | 0.004 a | 0.043 a |
| CBC absolute eosinophil (K/mcL), mean (SE), n = 40 | 0.39 (0.04) | 0.51 (0.06) | 0.27 (0.04) | 0.003 a | 0.03 a |
| CBC absolute neutrophils (K/mcL), mean (SE), n = 39 | 3.20 (0.22) | 2.95 (0.28) | 3.28 (0.34) | 0.24 | 0.55 |
© 2020 by the authors. Licensee MDPI, Basel, Switzerland. This article is an open access article distributed under the terms and conditions of the Creative Commons Attribution (CC BY) license (http://creativecommons.org/licenses/by/4.0/).
Share and Cite
Patregnani, J.T.; Brooks, B.A.; Chorvinsky, E.; Pillai, D.K. High BAL sRAGE is Associated with Low Serum Eosinophils and IgE in Children with Asthma. Children 2020, 7, 110. https://doi.org/10.3390/children7090110
Patregnani JT, Brooks BA, Chorvinsky E, Pillai DK. High BAL sRAGE is Associated with Low Serum Eosinophils and IgE in Children with Asthma. Children. 2020; 7(9):110. https://doi.org/10.3390/children7090110
Chicago/Turabian StylePatregnani, Jason T., Bonnie A. Brooks, Elizabeth Chorvinsky, and Dinesh K. Pillai. 2020. "High BAL sRAGE is Associated with Low Serum Eosinophils and IgE in Children with Asthma" Children 7, no. 9: 110. https://doi.org/10.3390/children7090110
APA StylePatregnani, J. T., Brooks, B. A., Chorvinsky, E., & Pillai, D. K. (2020). High BAL sRAGE is Associated with Low Serum Eosinophils and IgE in Children with Asthma. Children, 7(9), 110. https://doi.org/10.3390/children7090110

