Making a Decision between Acute Appendicitis and Acute Gastroenteritis
Abstract
1. Introduction
2. Materials and Methods
2.1. Study Population
2.2. Enrolment Criteria
2.3. Clinical Covariates
2.4. Statistical Analysis
2.5. Ethics Statement
3. Result
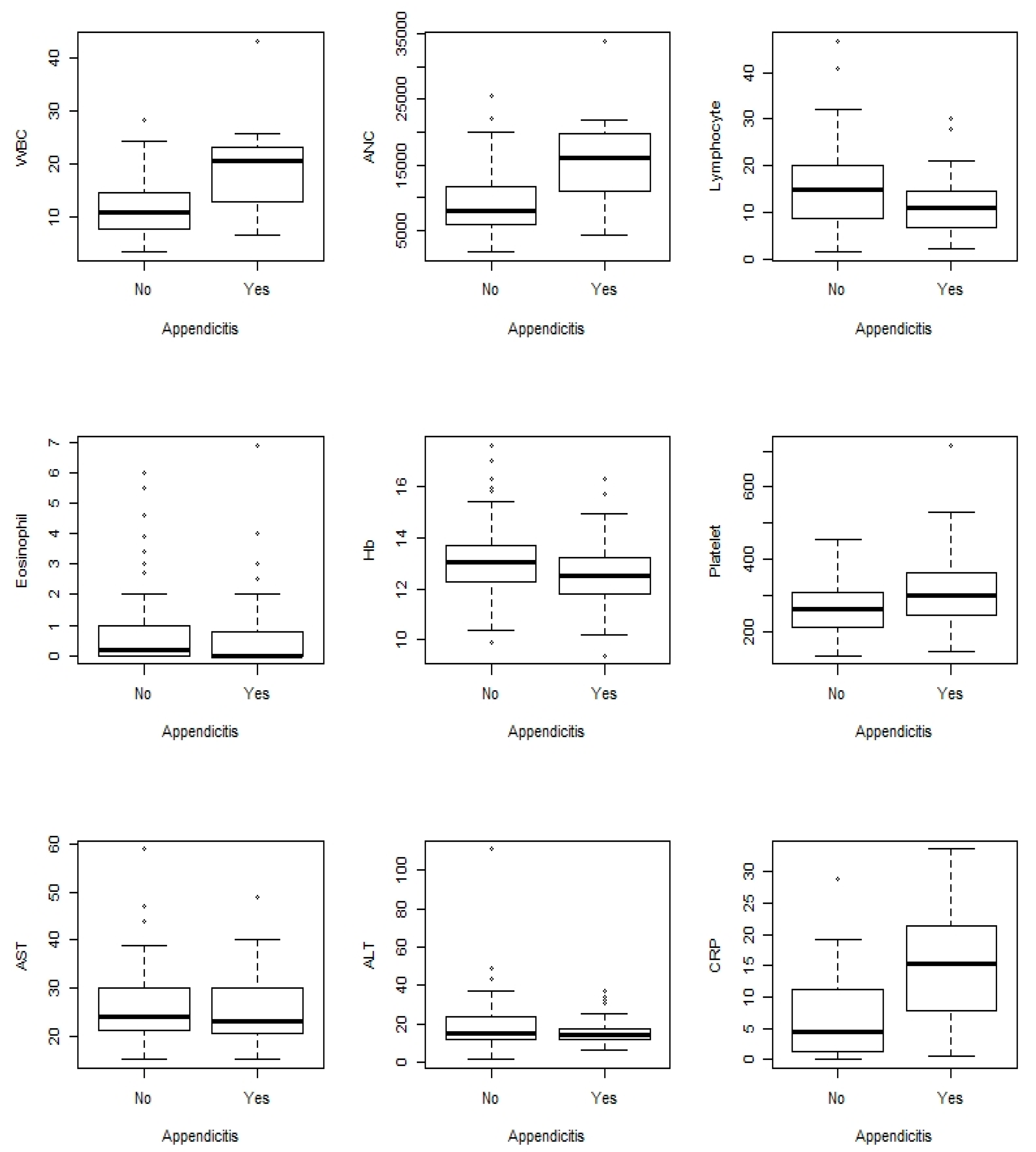
3.1. Demographics and Clinical Characteristics
3.2. Multivariable Stepwise Logistic Regression of Predictors for Acute Appendicitis
3.3. Abdominal Sonography and CT Scan
3.4. Appendiceal Perforation
4. Discussion
Supplementary Materials
Author Contributions
Acknowledgments
Funding
Conflicts of Interest
References
- Kliegman, R.M.; Geme, J.S. Nelson Textbook of Pediatrics, 21st ed.; Elsevier: Philadelphia, PA, USA, 2011. [Google Scholar]
- Samuel, M. Pediatric appendicitis score. J. Pediatr. Surg. 2002, 37, 877–881. [Google Scholar] [CrossRef] [PubMed]
- Bhatt, M.; Joseph, L.; Ducharme, F.M.; Dougherty, G.; McGillivray, D. Prospective validation of the pediatric appendicitis score in a Canadian pediatric emergency department. Acad. Emerg. Med. 2009, 16, 591–596. [Google Scholar] [CrossRef]
- Rothrock, S.G.; Skeoch, G.; Rush, J.J.; Johnson, N.E. Clinical features of misdiagnosed appendicitis in children. Ann. Emerg. Med. 1991, 20, 45–50. [Google Scholar] [CrossRef]
- Rusnak, R.A.; Borer, J.M.; Fastow, J.S. Misdiagnosis of acute appendicitis: Common features discovered in cases after litigation. Am. J. Emerg. Med. 1994, 12, 397–402. [Google Scholar] [CrossRef]
- Horwitz, J.R.; Gursoy, M.; Jaksic, T.; Lally, K.P. Importance of diarrhea as a presenting symptom of appendicitis in very young children. Am. J. Surg. 1997, 173, 80–82. [Google Scholar] [CrossRef]
- Tarantino, L.; Giorgio, A.; de Stefano, G.; Scala, V.; Esposito, F.; Liorre, G.; Farella, N.; Ferraioli, G. Acute appendicitis mimicking infectious enteritis: Diagnostic value of sonography. J. Ultrasound Med. 2003, 22, 945–950. [Google Scholar] [CrossRef]
- Cappendijk, V.C.; Hazebroek, F.W. The impact of diagnostic delay on the course of acute appendicitis. Arch. Dis. Child. 2000, 83, 64–66. [Google Scholar] [CrossRef]
- Benjamini, Y.; Hochberg, Y. Controlling the false discovery rate: A practical and powerful approach to multiple testing. J. R. Stat. Soc. Ser. B Methodol. 1995, 57, 289–300. [Google Scholar]
- Akaike, H. Likelihood of a Model and Information Criteria. J. Econom. 1981, 16, 3–14. [Google Scholar] [CrossRef]
- Darlington, R.B. Multiple regression in psychological research and practice. Psychol. Bull. 1968, 69, 161–182. [Google Scholar] [CrossRef]
- Judge, G.G.; Griffiths, W.E.; Hill, R.C.; Lütkepohl, H.; Lee, T.-C. The Theory and Practice of Econometrics, 2nd ed.; John Wiley & Sons: New York, NY, USA, 1985. [Google Scholar]
- Reynolds, S.L. Missed appendicitis in a pediatric emergency department. Pediatr. Emerg. Care 1993, 9, 1–3. [Google Scholar] [CrossRef] [PubMed]
- Chang, Y.J.; Chao, H.C.; Kong, M.S.; Hsia, S.H.; Yan, D.C. Misdiagnosed acute appendicitis in children in the emergency department. Chang. Gung Med. J. 2010, 33, 551–557. [Google Scholar] [PubMed]
- McCollough, M.; Sharieff, G.Q. Abdominal pain in children. Pediatr. Clin. N. Am. 2006, 53, 107–137. [Google Scholar] [CrossRef] [PubMed]
- D’Agostino, J. Common abdominal emergencies in children. Emerg. Med. Clin. N. Am. 2002, 20, 139–153. [Google Scholar] [CrossRef]
- Bachur, R.G.; Levy, J.A.; Callahan, M.J.; Rangel, S.J.; Monuteaux, M.C. Effect of Reduction in the Use of Computed Tomography on Clinical Outcomes of Appendicitis. JAMA Pediatr. 2015, 169, 755–760. [Google Scholar] [CrossRef] [PubMed]
- Davenport, M. Acute abdomen pain in children. BMJ 1996, 312, 498–501. [Google Scholar] [CrossRef]
- Humes, D.J.; Simpson, J. Acute appendicitis. BMJ 2006, 333, 530–534. [Google Scholar] [CrossRef]
- Colvin, J.M.; Bachur, R.; Kharbanda, A. The presentation of appendicitis in preadolescent children. Pediatr. Emerg. Care 2007, 23, 849–855. [Google Scholar] [CrossRef]
- Papaconstantinou, H.T.; Thomas, J.S. Bacterial colitis. Clin. Colon Rectal Surg. 2007, 20, 18–27. [Google Scholar] [CrossRef]
- Beltran, M.A.; Almonacid, J.; Vicencio, A.; Gutierrez, J.; Cruces, K.S.; Cumsille, M.A. Predictive value of white blood cell count and C-reactive protein in children with appendicitis. J. Pediatr. Surg. 2007, 42, 1208–1214. [Google Scholar] [CrossRef]
- Kim, E.; Subhas, G.; Mittal, V.K.; Golladay, E.S. C-reactive protein estimation does not improve accuracy in the diagnosis of acute appendicitis in pediatric patients. Int. J. Surg. 2009, 7, 74–77. [Google Scholar] [CrossRef] [PubMed]
- Stefanutti, G.; Ghirardo, V.; Gamba, P. Inflammatory markers for acute appendicitis in children: Are they helpful? J. Pediatr. Surg. 2007, 42, 773–776. [Google Scholar] [CrossRef] [PubMed]
- Dado, G.; Anania, G.; Baccarani, U.; Marcotti, E.; Donini, A.; Risaliti, A.; Pasqualucci, A.; Bresadola, F. Application of a clinical score for the diagnosis of acute appendicitis in childhood: A retrospective analysis of 197 patients. J. Pediatr. Surg. 2000, 35, 1320–1322. [Google Scholar] [CrossRef] [PubMed]
- Rothrock, S.G.; Pagane, J. Acute appendicitis in children: Emergency department diagnosis and management. Ann. Emerg. Med. 2000, 36, 39–51. [Google Scholar] [CrossRef] [PubMed]
- Okamoto, T.; Sano, K.; Ogasahara, K. Receiver-operating characteristic analysis of leukocyte counts and serum C-reactive protein levels in children with advanced appendicitis. Surg. Today 2006, 36, 515–518. [Google Scholar] [CrossRef] [PubMed]



| Gastroenteritis Group (Group 0) N = 82 | Appendicitis Group (Group 1) N = 32 | p-Value | |
|---|---|---|---|
| Categorical characteristics | |||
| Sex (male) | 50 (60%) | 22 (69%) | 0.577 |
| Vomiting | 45 (55%) | 26 (81%) | 0.010 |
| Anorexia | 78 (95%) | 32 (100%) | 0.575 |
| Loose stool frequency | |||
| 1–3 times /day | 36 (44%) | 19 (59%) | 0.163 |
| >3 times /day | 27 (33%) | 5 (16%) | |
| Days with abdominal pain | |||
| 1–3 days | 72 (88%) | 15 (47%) | <0.001 |
| >3 days | 10 (12%) | 17 (53%) | |
| Epigastric pain | 14 (17%) | 4 (13%) | 0.776 |
| Periumbilical pain | 38 (46%) | 11 (34%) | 0.343 |
| Diffuse pain | 16 (20%) | 7 (22%) | 0.798 |
| RLQ pain | 32 (39%) | 22 (69%) | 0.008 |
| Migration pain | 15 (18%) | 11 (34%) | 0.112 |
| Bowel sound | |||
| hypoactive | 7 (9%) | 11 (34%) | 0.002 |
| normoactive | 47 (57%) | 15 (47%) | |
| hyperactive | 28 (34%) | 6 (19%) | |
| Peritoneal sign | 13 (16%) | 14 (44%) | 0.004 |
| Stool OB positive | 22 (27%) | 1 (3%) | 0.004 |
| Stool pus positive | 16 (20%) | 2 (6%) | 0.094 |
| Stool culture positive | 28 (34%) | 1 (3%) | <0.001 |
| Continuous characteristics | |||
| Age | 10.46 ± 3.85 | 8.88 ± 4.51 | 0.059 |
| Hospitalization days | 5.06 ± 1.84 | 8.69 ± 4.08 | <0.001 |
| Fever duration (days) | 1.87 ± 1.33 | 2.56 ± 2.33 | 0.267 |
| Diarrhea days | 1.76 ± 1.47 | 1.78 ± 2.11 | 0.52 |
| PAS | 4.93 ± 1.93 | 7.13 ± 1.58 | <0.0001 |
| Gastroenteritis Group (Group 0) N = 82 | Appendicitis Group (Group 1) N = 32 | p-Value | |
|---|---|---|---|
| Stool OB | |||
| negative | 60 | 31 | 0.004 |
| positive | 22 | 1 | |
| Stool pus | |||
| negative | 66 | 30 | 0.094 |
| positive | 16 | 2 | |
| Clinical Data Model Variable | β | SE | OR | 95% CI | p-Value |
|---|---|---|---|---|---|
| Intercept | −2.01 | 0.84 | 0.017 | ||
| Vomiting (Yes vs. No) | 1.88 | 0.66 | 6.58 | 1.79–24.14 | 0.005 |
| Days with abdominal pain (>3 days vs. others) | 2.14 | 0.59 | 8.47 | 2.68–16.76 | <0.001 |
| RLQ pain (Yes vs. No) | 1.73 | 0.60 | 5.63 | 1.72–18.41 | 0.004 |
| Bowel sound (reference: hypoactive) | |||||
| Normoactive | −2.19 | 0.73 | 0.11 | 0.03–0.46 | 0.003 |
| Hyperactive | −2.49 | 0.86 | 0.08 | 0.02–0.45 | 0.004 |
| Laboratory Model Variable | |||||
| Intercept | −4.88 | 0.97 | |||
| WBC (per 103/uL increase) | 0.19 | 0.05 | 1.21 | 1.09–1.34 | <0.001 |
| CRP (per mg/dL increase) | 0.14 | 0.04 | 1.15 | 1.07–1.24 | <0.001 |
| Stool OB (Yes vs. No) | −2.52 | 1.13 | 0.08 | 0.01–0.74 | 0.026 |
| Combined Model Variable | |||||
| Intercept | −7.72 | 1.60 | |||
| Vomiting (Yes vs. No) | 1.90 | 0.81 | 6.69 | 1.37–32.72 | 0.019 |
| RLQ pain (Yes vs. No) | 2.20 | 0.75 | 9.06 | 2.06–39.80 | 0.004 |
| Stool OB (Yes vs. no) | −2.95 | 1.34 | 0.05 | 0.00–0.73 | 0.028 |
| WBC (per 103/uL increase) | 0.18 | 0.06 | 1.20 | 1.07–1.34 | 0.002 |
| CRP (per mg/dL increase) | 0.17 | 0.05 | 1.19 | 1.09–1.30 | <0.001 |
| ROC Model | Mann-Whitney | Sensitivity | Specificity | Cut-off Value | Assigned Points for Revised Combined Model | |
|---|---|---|---|---|---|---|
| AUC | 95% CI | |||||
| Initial combined variables | 0.93 | 0.88–0.98 | 0.82 | 0.91 | ||
| Vomiting | 0.63 | 054–0.72 | 0.45 | 0.81 | Yes:2; No:0 | |
| RLQ pain | 0.65 | 0.55–0.75 | 0.61 | 0.69 | Yes:2; No:0 | |
| Stool OB | 0.62 | 0.56–0.68 | 0.27 | 0.97 | Positive: −3; Negative:0 | |
| WBC | 0.79 | 0.69–0.90 | 0.89 | 0.66 | 18.2 | >18.2:1; ≦18.2:0 |
| CRP | 0.79 | 0.69–0.88 | 0.73 | 0.75 | 7.64 | >7.64:1; ≦7.64:0 |
| ROC Model | Mann–Whitney | Sensitivity | Specificity | Cut-off Model Score | |
|---|---|---|---|---|---|
| AUC | 95% CI | ||||
| Revised combined model | 0.90 | 0.84–0.96 | 0.89 | 0.78 | 3 |
| PAS model | 0.80 | 0.72–0.88 | 0.49 | 0.97 | 4 |
| ∆AUC | 95% CI | p-value | |||
| Revised combined model vs. PAS model | 0.10 | 0.02–0.17 | 0.012 | ||
| Predictors | Point |
|---|---|
| Vomiting | |
| Yes | 2 |
| No | 0 |
| RLQ pain | |
| Yes | 2 |
| No | 0 |
| Stool OB | |
| Positive | −3 |
| Negative | 0 |
| WBC (103/uL) | |
| >18.20 | 1 |
| ≦18.20 | 0 |
| CRP (mg/dL) | |
| >7.64 | 1 |
| ≦7.64 | 0 |
© 2020 by the authors. Licensee MDPI, Basel, Switzerland. This article is an open access article distributed under the terms and conditions of the Creative Commons Attribution (CC BY) license (http://creativecommons.org/licenses/by/4.0/).
Share and Cite
Lu, Y.-T.; Chen, P.-C.; Huang, Y.-H.; Huang, F.-C. Making a Decision between Acute Appendicitis and Acute Gastroenteritis. Children 2020, 7, 176. https://doi.org/10.3390/children7100176
Lu Y-T, Chen P-C, Huang Y-H, Huang F-C. Making a Decision between Acute Appendicitis and Acute Gastroenteritis. Children. 2020; 7(10):176. https://doi.org/10.3390/children7100176
Chicago/Turabian StyleLu, Yi-Ting, Po-Cheng Chen, Ying-Hsien Huang, and Fu-Chen Huang. 2020. "Making a Decision between Acute Appendicitis and Acute Gastroenteritis" Children 7, no. 10: 176. https://doi.org/10.3390/children7100176
APA StyleLu, Y.-T., Chen, P.-C., Huang, Y.-H., & Huang, F.-C. (2020). Making a Decision between Acute Appendicitis and Acute Gastroenteritis. Children, 7(10), 176. https://doi.org/10.3390/children7100176

