Peak Flow Meter and Spacer Use in Adolescents with Asthma: More than Just Ownership
Abstract
1. Introduction
2. Methods
2.1. Study Sample
2.2. Data Collection
2.3. Ethical Considerations
2.4. Data Analysis
3. Results
Effect Size Analysis
4. Discussion
4.1. Strengths and Limitations
4.2. Implications for Future Research and Practice
5. Conclusions
Author Contributions
Funding
Institutional Review Board Statement
Informed Consent Statement
Data Availability Statement
Conflicts of Interest
References
- Center for Disease Control and Prevention. Most Recent Asthma Data. Available online: https://www.cdc.gov/asthma-data/about/most-recent-asthma-data.html (accessed on 8 July 2025).
- Global Initiative for Asthma. Global Strategiy for Ashtma Management and Prevention. Available online: www.ginasthma.org (accessed on 29 December 2025).
- National Heart Lung and Blood Institute. Expert Panel Report 3: Guidelines for the Diagnosis and Management of Asthma; National Heart Lung and Blood Institute: Bethesda, MD, USA, 2007. [Google Scholar]
- Newman, S.P. Spacer Devices for Metered Dose Inhalers. Clin. Pharmacokinet. 2004, 43, 349–360. [Google Scholar] [CrossRef]
- Yoos, H.L.; Kitzman, H.; McMullen, A.; Henderson, C.; Sidora, K. Symptom monitoring in childhood asthma: A randomized clinical trial comparing peak expiratory flow rate with symptom monitoring. Ann. Allergy Asthma Immunol. Off. Publ. Am. Coll. Allergy Asthma Immunol. 2002, 88, 283–291. [Google Scholar] [CrossRef]
- Tinkelman, D.; Schwartz, A. School-based asthma disease management. J. Asthma 2004, 41, 455–462. [Google Scholar] [CrossRef] [PubMed]
- Burkhart, P.V.; Rayens, M.K.; Revelette, W.R.; Ohlmann, A. Improved health outcomes with peak flow monitoring for children with asthma. J. Asthma 2007, 44, 137–142. [Google Scholar] [CrossRef] [PubMed]
- Bheekie, A.; Syce, J.A.; Weinberg, E.G. Peak expiratory flow rate and symptom self-monitoring of asthma initiated from community pharmacies. J. Clin. Pharm. Ther. 2001, 26, 287–296. [Google Scholar] [CrossRef] [PubMed]
- Levy, M.L.; Hardwell, A.; McKnight, E.; Holmes, J. Asthma patients’ inability to use a pressurised metered-dose inhaler (pMDI) correctly correlates with poor asthma control as defined by the global initiative for asthma (GINA) strategy: A retrospective analysis. Prim. Care Respir. J. 2013, 22, 406–411. [Google Scholar] [CrossRef]
- Schor, D.; Rizzo, J.A.; Medeiros, D.; Dela Bianca, A.C.; Silva, A.R.; Nunes, C.; Morais-Almeida, M.; Sarinho, E. Home-made spacer as an auxiliary device in administration of beclomethasone via pressurized metered dose inhaler for asthma control. A randomized controlled pragmatic trial. Respir. Med. 2017, 126, 52–58. [Google Scholar] [CrossRef]
- Dahiya, B.; Mathew, J.L.; Singh, M. Randomized trial of spacers in asthma. Indian J. Pediatr. 2007, 74, 631–635. [Google Scholar] [CrossRef]
- Yildirim, M.; Griffin, P.; Keskinocak, P.; O’Connor, J.C.; Swann, J.L. Estimating the impact of self-management education, influenza vaccines, nebulizers, and spacers on health utilization and expenditures for Medicaid-enrolled children with asthma. J. Asthma 2021, 58, 1637–1647. [Google Scholar] [CrossRef]
- Brouwer, A.F.J.; Roorda, R.J.; Brand, P.L.P. Home spirometry and asthma severity in children. Eur. Respir. J. 2006, 28, 1131–1137. [Google Scholar] [CrossRef]
- Slieker, M.G.; van der Ent, C.K. The diagnostic and screening capacities of peak expiratory flow measurements in the assessment of airway obstruction and bronchodilator response in children with asthma. Monaldi Arch. Chest Dis. 2003, 59, 155–159. [Google Scholar]
- Ammari, W.G.; Toor, S.; Chetcuti, P.; Stephenson, J.; Chrystyn, H. Evaluation of asthma control, parents’ quality of life and preference between AeroChamber Plus and AeroChamber Plus Flow-Vu spacers in young children with asthma. J. Asthma 2015, 52, 301–307. [Google Scholar] [CrossRef]
- Burgess, S.W.; Sly, P.D.; Cooper, D.M.; Devadason, S.G. Novel spacer device does not improve adherence in childhood asthma. Pediatr. Pulmonol. 2007, 42, 736–739. [Google Scholar] [CrossRef]
- Guilbert, T.W.; Colice, G.; Grigg, J.; van Aalderen, W.; Martin, R.J.; Israel, E.; Postma, D.S.; Roche, N.; Phipatanakul, W.; Hillyer, E.V.; et al. Real-Life Outcomes for Patients with Asthma Prescribed Spacers for Use with Either Extrafine- or Fine-Particle Inhaled Corticosteroids. J. Allergy Clin. Immunol. Pr. 2017, 5, 1040–1049.e4. [Google Scholar] [CrossRef] [PubMed]
- van der Meer, V.; Rikkers-Mutsaerts, E.R.; Sterk, P.J.; Thiadens, H.A.; Assendelft, W.J.; Sont, J.K. Compliance and reliability of electronic PEF monitoring in adolescents with asthma. Thorax 2006, 61, 457–458. [Google Scholar] [CrossRef] [PubMed]
- Fuhlbrigge, A.; Peden, D.; Apter, A.J.; Boushey, H.A.; Camargo, C.A., Jr.; Gern, J.; Heymann, P.W.; Martinez, F.D.; Mauger, D.; Teague, W.G.; et al. Asthma outcomes: Exacerbations. J. Allergy Clin. Immunol. 2012, 129, S34–S48. [Google Scholar] [CrossRef] [PubMed]
- Juniper, E.F.; O’Byrne, P.M.; Guyatt, G.H.; Ferrie, P.J.; King, D.R. Development and validation of a questionnaire to measure asthma control. Eur. Respir. J. 1999, 14, 902–907. [Google Scholar] [CrossRef]
- Kim, H.Y. Statistical notes for clinical researchers: Chi-squared test and Fisher’s exact test. Restor. Dent. Endod. 2017, 42, 152–155. [Google Scholar] [CrossRef]
- Rhee, H.; Love, T.; Harrington, D.; Walters, L. Comparing Three Measures of Self-Efficacy of Asthma Self-Management in Adolescents. Acad. Pediatr. 2020, 20, 983–990. [Google Scholar] [CrossRef]
- McMullen, A.H.; Yoos, H.L.; Kitzman, H. Peak flow meters in childhood asthma: Patient report of use and perceived usefulness. J. Pediatr. Health Care 2002, 16, 67–72. [Google Scholar]
- Volerman, A.; Fierstein, J.; Boon, K.; Vojta, D.; Gupta, R. Determinants of asthma knowledge and practices among caregivers of children with moderate-to-severe persistent asthma. Ann. Allergy Asthma Immunol. 2021, 127, 392–394. [Google Scholar] [CrossRef]
- Burkhart, P.V.; Dunbar-Jacob, J.M.; Fireman, P.; Rohay, J. Children’s adherence to recommended asthma self-management. Pediatr. Nurs. 2002, 28, 409–414. [Google Scholar] [PubMed]
- Farzandipour, M.; Heidarzadeh Arani, M.; Sharif, R.; Nabovati, E.; Akbari, H.; Anvari, S. Improving asthma control and quality of life via a smartphone self-management app: A randomized controlled trial. Respir. Med. 2024, 223, 107539. [Google Scholar] [CrossRef] [PubMed]
- Feldman, J.M.; Kutner, H.; Matte, L.; Lupkin, M.; Steinberg, D.; Sidora-Arcoleo, K.; Serebrisky, D.; Warman, K. Prediction of peak flow values followed by feedback improves perception of lung function and adherence to inhaled corticosteroids in children with asthma. Thorax 2012, 67, 1040–1045. [Google Scholar] [CrossRef] [PubMed]
- Feldman, J.M.; Rastogi, D.; Warman, K.; Serebrisky, D.; Arcoleo, K. Peak Flow Feedback Intervention Improves Underperception of Airflow Limitation in Pediatric Asthma: A Randomized Clinical Trial. Ann. Am. Thorac. Soc. 2025, 22, 403–415. [Google Scholar] [CrossRef]
- Gupta, S.; Shabnam; Verma, A.K. Peak expiratory flow rate monitoring can predict asthma exacerbation better as compared to monitoring by symptoms, prospective cohort study. Int. J. Contemp. Pediatr. 2024, 11, 1365–1371. [Google Scholar] [CrossRef]
- Basel Research Centre for Child Health. Alex: Design, Development and Evaluation of a Digital Health Assistant for Paediatric Asthma. Available online: https://brc.ch/research/alex/ (accessed on 8 February 2026).
- Bousquet, J.; Schünemann, H.J.; Sousa-Pinto, B.; Zuberbier, T.; Togias, A.; Samolinski, B.; Bedbrook, A.; Czarlewski, W.; Hofmann-Apitius, M.; Litynska, J.; et al. Concepts for the Development of Person-Centered, Digitally Enabled, Artificial Intelligence-Assisted ARIA Care Pathways (ARIA 2024). J. Allergy Clin. Immunol. Pr. 2024, 12, 2648–2668.e2. [Google Scholar] [CrossRef]
- Sousa-Pinto, B.; Costa, E.M.; Vieira, R.J.; Klimek, L.; Czarlewski, W.; Pfaar, O.; Bedbrook, A.; Amaral, R.; Brussino, L.; Kvedariene, V.; et al. Adherence to Treatment in Allergic Rhinitis During the Pollen Season in Europe: A MASK-air Study. Clin. Exp. Allergy 2025, 55, 226–238. [Google Scholar] [CrossRef]

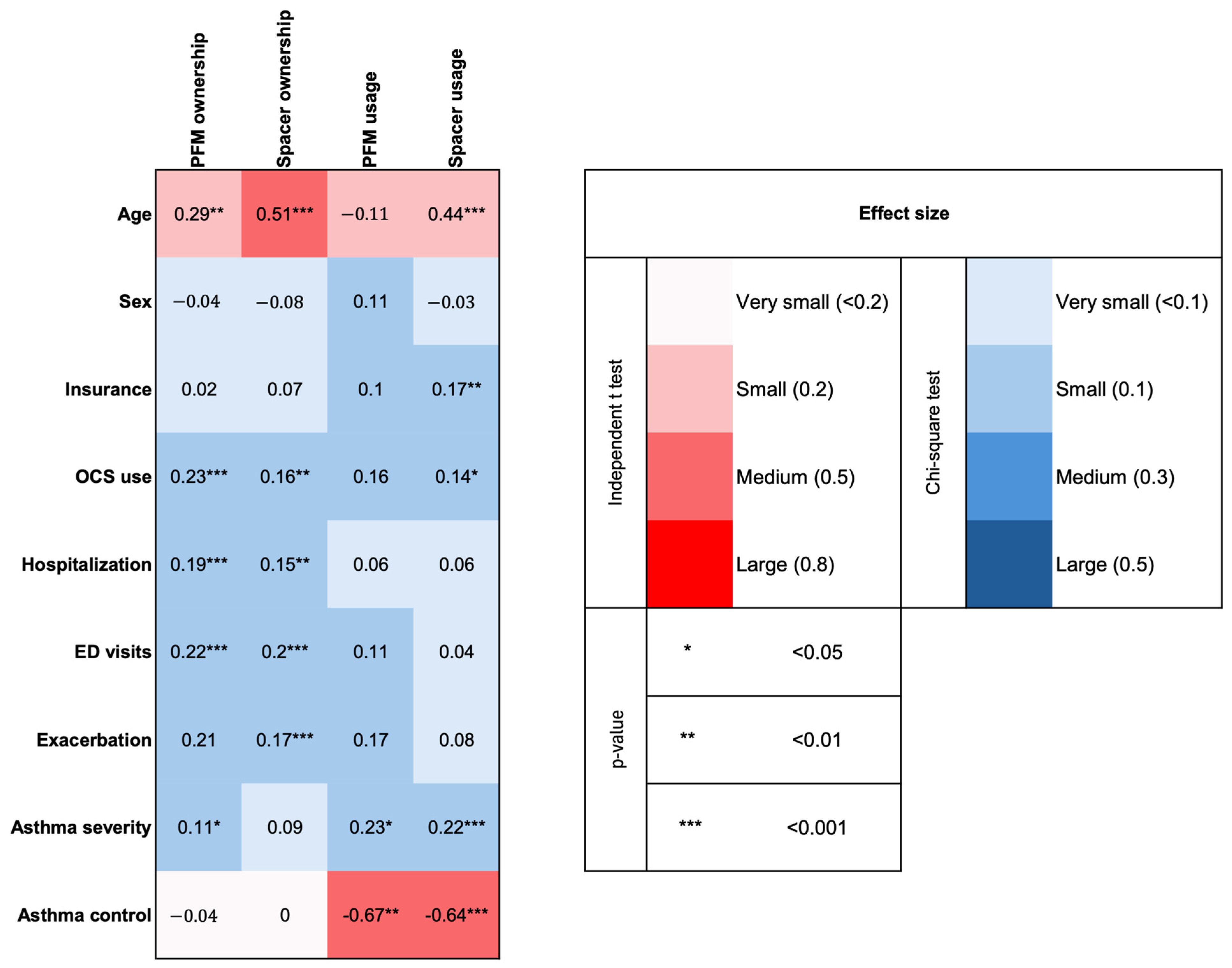
| Variables | Peak Flow Meter (n = 373) | Spacer (n = 373) | |||||||
|---|---|---|---|---|---|---|---|---|---|
| Yes, n (%) | No, n (%) | p | Effect Size | Yes, n (%) | No, n (%) | p | Effect Size | ||
| Device ownership | 134 (36%) | 239 (64%) | - | - | 227 (60.8%) | 146 (39.2%) | - | - | |
| Age, M (SD) | 14.32 (1.95) | 14.88 (1.90) | 0.007 | 0.29 | 14.30 (1.83) | 15.27 (0.95) | <0.001 | 0.51 | |
| Female | 63 (16.89%) | 123 (32.98%) | 0.410 | −0.04 | 106 (28.42%) | 80 (21.45%) | 0.127 | −0.08 | |
| Insurance | Public insurance | 97 (27.02%) | 163 (45.40%) | 0.731 | 0.02 | 167 (46.52%) | 93 (25.91%) | 0.181 | 0.07 |
| Private insurance | 35 (9.75%) | 64 (17.83%) | 56 (15.60%) | 43 (11.98%) | |||||
| Past-year OCS 1 use | 56 (15.01%) | 48 (12.87%) | <0.001 | 0.23 | 76 (20.38%) | 28 (7.51%) | 0.003 | 0.16 | |
| Past-year hospitalization | 32 (8.58%) | 23 (6.17%) | <0.001 | 0.19 | 43 (11.53%) | 12 (3.22%) | 0.004 | 0.15 | |
| Past-year ED 2 visits | 57 (15.28%) | 51 (13.67%) | <0.001 | 0.22 | 82 (21.98%) | 26 (6.97%) | <0.001 | 0.20 | |
| Exacerbation | Yes | 74 (19.84%) | 80 (21.45%) | <0.001 | 0.21 | 109 (29.22%) | 45 (12.06%) | <0.001 | 0.17 |
| No | 60 (16.09%) | 159 (42.63%) | 118 (31.64%) | 101 (27.08%) | |||||
| Asthma severity | Mild | 62 (16.62%) | 139 (37.27%) | 0.032 | 0.11 | 114 (30.56%) | 87 (23.32%) | 0.084 | 0.09 |
| Moderate-to-severe | 71 (19.03%) | 100 (26.81%) | 112 (30.03%) | 59 (15.82%) | |||||
| Asthma control, M (SD) | 1.46 (1.24) | 1.42 (1.05) | 0.736 | −0.04 | 1.44 (1.20) | 1.43 (1.00) | 0.976 | −0.00 | |
| Variables | Peak Flow Meter (n = 132) | Spacer (n = 224) | |||||||
|---|---|---|---|---|---|---|---|---|---|
| Regular User, n (%) | Infrequent User, n (%) | p | Effect Size | Regular User, n (%) | Infrequent User, n (%) | p | Effect Size | ||
| Device usage | 20 (15%) | 112 (85%) | - | - | 90 (40%) | 134 (60%) | - | - | |
| Age, M (SD) | 14.50 (1.43) | 14.28 (2.04) | 0.554 | −0.11 | 13.81 (1.71) | 14.60 (1.85) | <0.001 | 0.44 | |
| Female | 12 (9.09%) | 50 (37.88%) | 0.205 | 0.11 | 40 (17.86%) | 64 (28.57%) | 0.626 | −0.03 | |
| Insurance | Public insurance | 16 (12.31%) | 80 (61.54%) | 0.398 † | 0.10 | 75 (33.94%) | 91 (41.18%) | 0.01 | 0.17 |
| Private insurance | 3 (2.31%) | 31 (23.85%) | 14 (6.33%) | 41 (18.55%) | |||||
| Past-year OCS 1 use | 12 (9.09%) | 43 (32.58%) | 0.071 | 0.16 | 38 (16.96%) | 38 (16.96%) | 0.032 | 0.14 | |
| Past-year hospitalization | 6 (4.55%) | 26 (19.70%) | 0.514 | 0.06 | 20 (8.93%) | 23 (10.27%) | 0.346 | 0.06 | |
| Past-year ED 2 visits | 11 (8.33%) | 45 (34.09%) | 0.217 | 0.11 | 35 (15.63%) | 47 (20.98%) | 0.561 | 0.04 | |
| Exacerbation | Yes | 15 (11.36%) | 58 (43.94%) | 0.054 | 0.17 | 48 (21.43%) | 61 (27.23%) | 0.252 | 0.08 |
| No | 5 (3.79%) | 54 (40.91%) | 42 (18.75%) | 73 (32.59%) | |||||
| Asthma severity | Mild | 4 (3.03%) | 57 (43.18%) | 0.01 | 0.23 | 33 (14.73%) | 80 (35.71%) | <0.001 | 0.22 |
| Moderate-to-severe | 16 (12.12%) | 54 (40.91%) | 56 (25.00%) | 54 (24.11%) | |||||
| Asthma control, M (SD) | 2.13 (1.38) | 1.32 (1.78) | 0.007 | −0.67 | 1.87 (1.33) | 1.14 (1.01) | <0.001 | −0.64 | |
Disclaimer/Publisher’s Note: The statements, opinions and data contained in all publications are solely those of the individual author(s) and contributor(s) and not of MDPI and/or the editor(s). MDPI and/or the editor(s) disclaim responsibility for any injury to people or property resulting from any ideas, methods, instructions or products referred to in the content. |
© 2026 by the authors. Licensee MDPI, Basel, Switzerland. This article is an open access article distributed under the terms and conditions of the Creative Commons Attribution (CC BY) license.
Share and Cite
Rhee, H.; Katchamat, N. Peak Flow Meter and Spacer Use in Adolescents with Asthma: More than Just Ownership. Children 2026, 13, 302. https://doi.org/10.3390/children13020302
Rhee H, Katchamat N. Peak Flow Meter and Spacer Use in Adolescents with Asthma: More than Just Ownership. Children. 2026; 13(2):302. https://doi.org/10.3390/children13020302
Chicago/Turabian StyleRhee, Hyekyun, and Nattasit Katchamat. 2026. "Peak Flow Meter and Spacer Use in Adolescents with Asthma: More than Just Ownership" Children 13, no. 2: 302. https://doi.org/10.3390/children13020302
APA StyleRhee, H., & Katchamat, N. (2026). Peak Flow Meter and Spacer Use in Adolescents with Asthma: More than Just Ownership. Children, 13(2), 302. https://doi.org/10.3390/children13020302

