Unveiling Distinctive Eye Tracking Markers to Distinguish Toddlers with High-Risk Autism as Indicated by ADOS Within an Elevated-Likelihood Toddler Sample
Abstract
1. Introduction
2. Materials and Methods
2.1. Participants
2.2. Procedure
2.3. Clinical Measures
- ADOS-2 Toddler Module
- Ophthalmological Screening
- M-CHAT
2.4. Eye Tracking Methods
- Eye Tracker
- Stimuli and presentation
- Eye tracking variables
- AOI variables
- Gaze retention interval (GRI) variables
2.5. Statistical Method
3. Results
3.1. Participant Characteristics
3.2. Statistical Analysis
3.2.1. Differences Between lrADOS and hrADOS Groups
- AOI variables
- GRI variables
3.2.2. Correlation with ADOS Scores
- AOI variables
- GRI variables
4. Discussion
Limitation and Direction for Future Research
5. Conclusions
Author Contributions
Funding
Institutional Review Board Statement
Informed Consent Statement
Data Availability Statement
Acknowledgments
Conflicts of Interest
Abbreviations
| ADOS | Autism Diagnostic Observation Schedule |
| AOI | Area of Interest |
| ASD | Autism Spectrum Disorder |
| GRI | Gaze Retention Interval |
| IDT | Identification by Dispersion Threshold |
| OSFDR | OSF Data Repository |
References
- Falck-Ytter, T.; Bölte, S.; Gredebäck, G. Eye Tracking in Early Autism Research. J. Neurodev. Disord. 2013, 5, 28. [Google Scholar] [CrossRef] [PubMed]
- Papagiannopoulou, E.A.; Chitty, K.M.; Hermens, D.F.; Hickie, I.B.; Lagopoulos, J. A Systematic Review and Meta-Analysis of Eye-Tracking Studies in Children with Autism Spectrum Disorders. Soc. Neurosci. 2014, 9, 610–632. [Google Scholar] [CrossRef]
- Setien-Ramos, I.; Lugo-Marín, J.; Gisbert-Gustemps, L.; Díez-Villoria, E.; Magán-Maganto, M.; Canal-Bedia, R.; Ramos-Quiroga, J.A. Eye-Tracking Studies in Adults with Autism Spectrum Disorder: A Systematic Review and Meta-Analysis. J. Autism Dev. Disord. 2023, 53, 2430–2443. [Google Scholar] [CrossRef] [PubMed]
- Dalai, G.; Komandur, S.; Volden, F.S. Applications of Eye Tracking in the Diagnosis of Early Stages of Autism Spectrum Disorders. In Proceedings of the 2nd International Conference on Computer-Human Interaction Research and Applications, Seville, Spain, 19–21 September 2018; SCITEPRESS–Science and Technology Publications: Seville, Spain, 2018; pp. 156–162. [Google Scholar]
- Parsons, J.P.; Bedford, R.; Jones, E.J.H.; Charman, T.; Johnson, M.H.; Gliga, T. Gaze Following and Attention to Objects in Infants at Familial Risk for ASD. Front. Psychol. 2019, 10, 1799. [Google Scholar] [CrossRef] [PubMed]
- Billeci, L.; Narzisi, A.; Campatelli, G.; Crifaci, G.; Calderoni, S.; Gagliano, A.; Calzone, C.; Colombi, C.; Pioggia, G.; Muratori, F.; et al. Disentangling the Initiation from the Response in Joint Attention: An Eye-Tracking Study in Toddlers with Autism Spectrum Disorders. Transl. Psychiatry 2016, 6, e808. [Google Scholar] [CrossRef]
- Chawarska, K.; Macari, S.; Shic, F. Context Modulates Attention to Social Scenes in Toddlers with Autism: Context Modulates Social Attention in Autism. J. Child Psychol. Psychiatry 2012, 53, 903–913. [Google Scholar] [CrossRef]
- Chita-Tegmark, M.; Arunachalam, S.; Nelson, C.A.; Tager-Flusberg, H. Eye-Tracking Measurements of Language Processing: Developmental Differences in Children at High Risk for ASD. J. Autism Dev. Disord. 2015, 45, 3327–3338. [Google Scholar] [CrossRef]
- Guillon, Q.; Hadjikhani, N.; Baduel, S.; Rogé, B. Visual Social Attention in Autism Spectrum Disorder: Insights from Eye Tracking Studies. Neurosci. Biobehav. Rev. 2014, 42, 279–297. [Google Scholar] [CrossRef]
- Laskowitz, S.; Griffin, J.W.; Geier, C.F.; Scherf, K.S. Cracking the Code of Live Human Social Interactions in Autism: A Review of the Eye-Tracking Literature. Proc. Mach. Learn Res. 2021, 173, 242–264. [Google Scholar]
- Muratori, F.; Billeci, L.; Calderoni, S.; Boncoddo, M.; Lattarulo, C.; Costanzo, V.; Turi, M.; Colombi, C.; Narzisi, A. How Attention to Faces and Objects Changes Over Time in Toddlers with Autism Spectrum Disorders: Preliminary Evidence from An Eye Tracking Study. Brain Sci. 2019, 9, 344. [Google Scholar] [CrossRef] [PubMed]
- New, J.J.; Schultz, R.T.; Wolf, J.; Niehaus, J.L.; Klin, A.; German, T.C.; Scholl, B.J. The Scope of Social Attention Deficits in Autism: Prioritized Orienting to People and Animals in Static Natural Scenes. Neuropsychologia 2010, 48, 51–59. [Google Scholar] [CrossRef] [PubMed]
- Pierce, K.; Conant, D.; Hazin, R.; Stoner, R.; Desmond, J. Preference for Geometric Patterns Early in Life as a Risk Factor for Autism. Arch. Gen. Psychiatry 2011, 68, 101–109. [Google Scholar] [CrossRef]
- Pierce, K.; Marinero, S.; Hazin, R.; McKenna, B.; Barnes, C.C.; Malige, A. Eye Tracking Reveals Abnormal Visual Preference for Geometric Images as an Early Biomarker of an Autism Spectrum Disorder Subtype Associated with Increased Symptom Severity. Biol. Psychiatry 2016, 79, 657–666. [Google Scholar] [CrossRef]
- Sasson, N.J.; Touchstone, E.W. Visual Attention to Competing Social and Object Images by Preschool Children with Autism Spectrum Disorder. J. Autism Dev. Disord. 2014, 44, 584–592. [Google Scholar] [CrossRef]
- Shic, F.; Wang, Q.; Macari, S.L.; Chawarska, K. The Role of Limited Salience of Speech in Selective Attention to Faces in Toddlers with Autism Spectrum Disorders. Child Psychol. Psychiatry 2020, 61, 459–469. [Google Scholar] [CrossRef] [PubMed]
- Wen, T.H.; Cheng, A.; Andreason, C.; Zahiri, J.; Xiao, Y.; Xu, R.; Bao, B.; Courchesne, E.; Barnes, C.C.; Arias, S.J.; et al. Large Scale Validation of an Early-Age Eye-Tracking Biomarker of an Autism Spectrum Disorder Subtype. Sci. Rep. 2022, 12, 4253. [Google Scholar] [CrossRef]
- Kwon, M.-K.; Moore, A.; Barnes, C.C.; Cha, D.; Pierce, K. Typical Levels of Eye-Region Fixation in Toddlers with Autism Spectrum Disorder Across Multiple Contexts. J. Am. Acad. Child Adolesc. Psychiatry 2019, 58, 1004–1015. [Google Scholar] [CrossRef]
- Hamner, T.; Vivanti, G. Eye-Tracking Research in Autism Spectrum Disorder: What Are We Measuring and for What Purposes? Curr. Dev. Disord. Rep. 2019, 6, 37–44. [Google Scholar] [CrossRef]
- Johnson, B.P.; Lum, J.A.G.; Rinehart, N.J.; Fielding, J. Ocular Motor Disturbances in Autism Spectrum Disorders: Systematic Review and Comprehensive Meta-Analysis. Neurosci. Biobehav. Rev. 2016, 69, 260–279. [Google Scholar] [CrossRef]
- Avni, I.; Meiri, G.; Michaelovski, A.; Menashe, I.; Shmuelof, L.; Dinstein, I. Basic Oculomotor Function Is Similar in Young Children with ASD and Typically Developing Controls. Autism Res. 2021, 14, 2580–2591. [Google Scholar] [CrossRef]
- Ziv, I.; Avni, I.; Dinstein, I.; Meiri, G.; Bonneh, Y.S. Oculomotor Randomness Is Higher in Autistic Children and Increases with the Severity of Symptoms. Autism Res. 2024, 17, 249–265. [Google Scholar] [CrossRef]
- Luyster, R.; Gotham, K.; Guthrie, W.; Coffing, M.; Petrak, R.; Pierce, K.; Bishop, S.; Esler, A.; Hus, V.; Oti, R.; et al. The Autism Diagnostic Observation Schedule—Toddler Module: A New Module of a Standardized Diagnostic Measure for Autism Spectrum Disorders. J. Autism Dev. Disord. 2009, 39, 1305–1320. [Google Scholar] [CrossRef] [PubMed]
- Hong, J.S.; Singh, V.; Kalb, L.; Ashkar, A.; Landa, R. Replication Study of ADOS -2 Toddler Module Cut-off Scores for Autism Spectrum Disorder Classification. Autism Res. 2021, 14, 1284–1295. [Google Scholar] [CrossRef] [PubMed]
- Robins, D.L.; Fein, D.; Barton, M.L.; Green, J.A. The Modified Checklist for Autism in Toddlers: An Initial Study Investigating the Early Detection of Autism and Pervasive Developmental Disorders. J. Autism Dev. Disord. 2001, 31, 131–144. [Google Scholar] [CrossRef]
- Vehlen, A.; Standard, W.; Domes, G. How to Choose the Size of Facial Areas of Interest in Interactive Eye Tracking. PLoS ONE 2022, 17, e0263594. [Google Scholar] [CrossRef]
- Bacon, E.C.; Moore, A.; Lee, Q.; Carter Barnes, C.; Courchesne, E.; Pierce, K. Identifying Prognostic Markers in Autism Spectrum Disorder Using Eye Tracking. Autism 2020, 24, 658–669. [Google Scholar] [CrossRef]
- Von Holzen, K.; Bergmann, C. The Development of Infants’ Responses to Mispronunciations: A Meta-Analysis. Dev. Psychol. 2021, 57, 1–18. [Google Scholar] [CrossRef]
- Andersson, R.; Larsson, L.; Holmqvist, K.; Stridh, M.; Nyström, M. One Algorithm to Rule Them All? An Evaluation and Discussion of Ten Eye Movement Event-Detection Algorithms. Behav. Res. 2017, 49, 616–637. [Google Scholar] [CrossRef]
- Salvucci, D.D.; Goldberg, J.H. Identifying Fixations and Saccades in Eye-Tracking Protocols. In Proceedings of the Symposium on Eye Tracking Research & Applications–ETRA ’00, Palm Beach Gardens, FL, USA, 6–8 November 2000; ACM Press: Palm Beach Gardens, FL, USA, 2000; pp. 71–78. [Google Scholar]
- Stark, L.; Ellis, S.R. Scanpath Revisited: Cognitive Models of Direct Active Looking. In EyeMovements: Cognition and Visual Perception; Erlbaum: Hillsdale, NJ, USA, 1981; pp. 193–226. [Google Scholar]
- Widdel, H. Operational Problems in Analysingeye Movements. In Theoretical and Applied Aspects of Eye Movement Research; Elsevier: New York, NJ, USA, 1984; pp. 21–29. [Google Scholar]
- Gotham, K.; Pickles, A.; Lord, C. Standardizing ADOS Scores for a Measure of Severity in Autism Spectrum Disorders. J. Autism Dev. Disord. 2009, 39, 693–705. [Google Scholar] [CrossRef]
- Hus, V.; Gotham, K.; Lord, C. Standardizing ADOS Domain Scores: Separating Severity of Social Affect and Restricted and Repetitive Behaviors. J. Autism Dev. Disord. 2014, 44, 2400–2412. [Google Scholar] [CrossRef]
- Esler, A.N.; Bal, V.H.; Guthrie, W.; Wetherby, A.; Weismer, S.E.; Lord, C. The Autism Diagnostic Observation Schedule, Toddler Module: Standardized Severity Scores. J. Autism Dev. Disord. 2015, 45, 2704–2720. [Google Scholar] [CrossRef]
- Lockwood Estrin, G.; Milner, V.; Spain, D.; Happé, F.; Colvert, E. Barriers to Autism Spectrum Disorder Diagnosis for Young Women and Girls: A Systematic Review. Rev. J. Autism Dev. Disord. 2021, 8, 454–470. [Google Scholar] [CrossRef] [PubMed]
- Kalb, L.G.; Singh, V.; Hong, J.S.; Holingue, C.; Ludwig, N.N.; Pfeiffer, D.; Reetzke, R.; Gross, A.L.; Landa, R. Analysis of Race and Sex Bias in the Autism Diagnostic Observation Schedule (ADOS-2). JAMA Netw. Open 2022, 5, e229498. [Google Scholar] [CrossRef]






| All | Males | Females | ||||||||||||||
|---|---|---|---|---|---|---|---|---|---|---|---|---|---|---|---|---|
| N | Mean | SD | Min | Max | N | Mean | SD | Min | Max | N | Mean | SD | Min | Max | ||
| Age (months) | ALL | 74 | 22.8 | 4.9 | 12 | 30 | 49 | 23.1 | 5.1 | 12 | 30 | 25 | 22.2 | 4.8 | 15 | 30 |
| lrADOS | 42 | 22.4 | 5.0 | 12 | 29 | 25 | 23.2 | 4.9 | 12 | 29 | 17 | 21.3 | 5.2 | 15 | 29 | |
| hrADOS | 32 | 23.3 | 4.8 | 12 | 30 | 24 | 23.0 | 5.3 | 12 | 30 | 8 | 24.3 | 3.2 | 19 | 30 | |
| ADOS score | ALL | 74 | 9.5 | 7.6 | 0 | 25 | 49 | 10.8 | 7.8 | 0 | 25 | 25 | 6.8 | 6.6 | 0 | 24 |
| lrADOS | 42 | 3.6 | 2.4 | 0 | 8 | 25 | 4.1 | 2.2 | 0 | 8 | 17 | 3.0 | 2.5 | 0 | 7 | |
| hrADOS | 32 | 17.1 | 4.9 | 10 | 25 | 24 | 17.9 | 4.7 | 10 | 25 | 8 | 14.8 | 5.3 | 10 | 24 | |
| Mean hrADOS | Mean lrADOS | p | Effect Size (Hedges’s g) | |
|---|---|---|---|---|
| Preferential—ratio of non-social | 28.8% | 17.3% | 0.0000 * | 1.11 |
| Preferential—ratio of social | 51.9% | 67.4% | 0.0001 * | 1.00 |
| Ostensive—ratio of person (W) | 46.9% | 58.3% | 0.0429 | 0.50 |
| Ostensive—ratio of target (MW) | 13.3% | 13.2% | 0.6931 | 0.05 |
| Mean hrADOS | Mean lrADOS | p | Effect Size (Hedge’s g) | ||
|---|---|---|---|---|---|
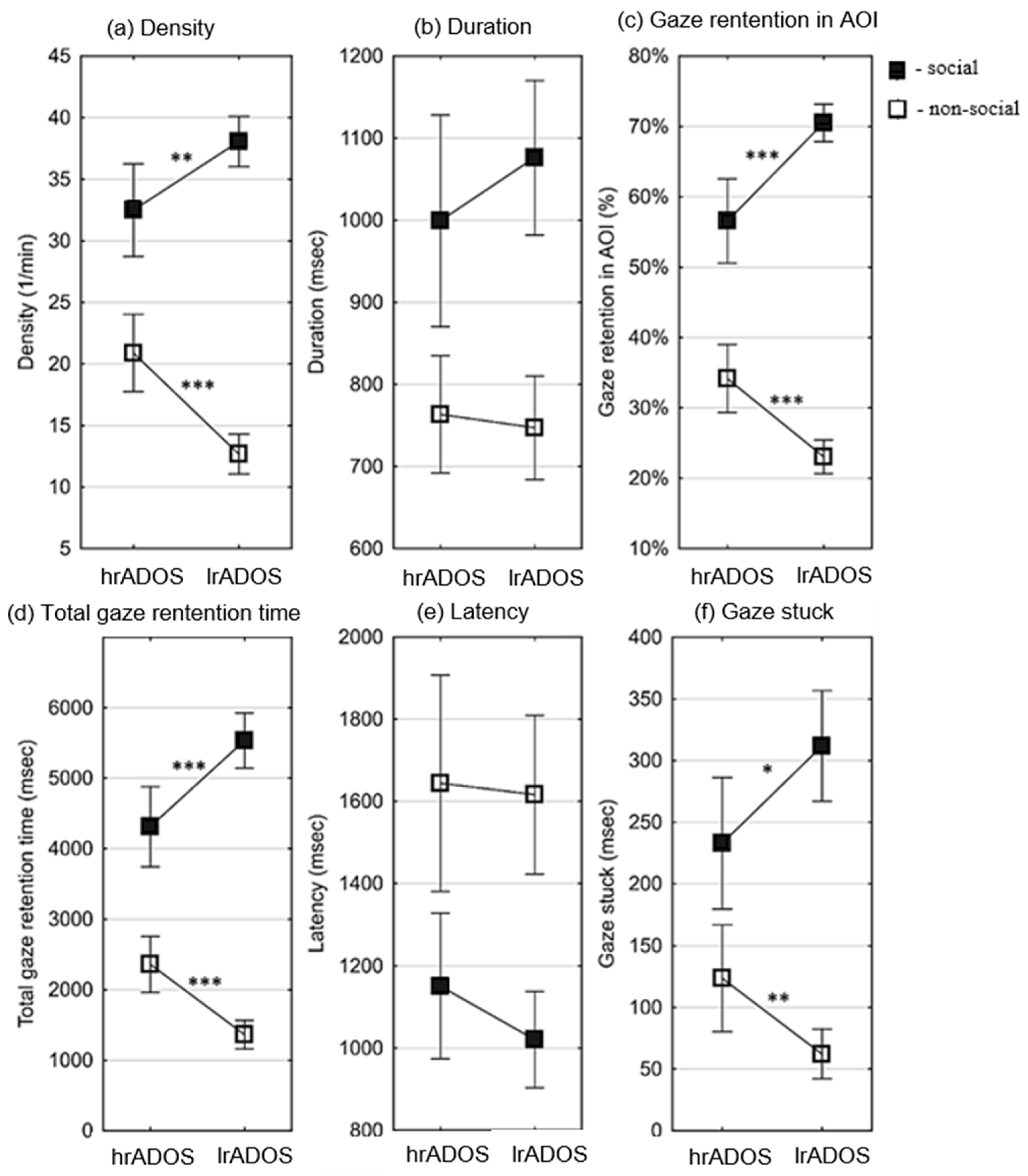
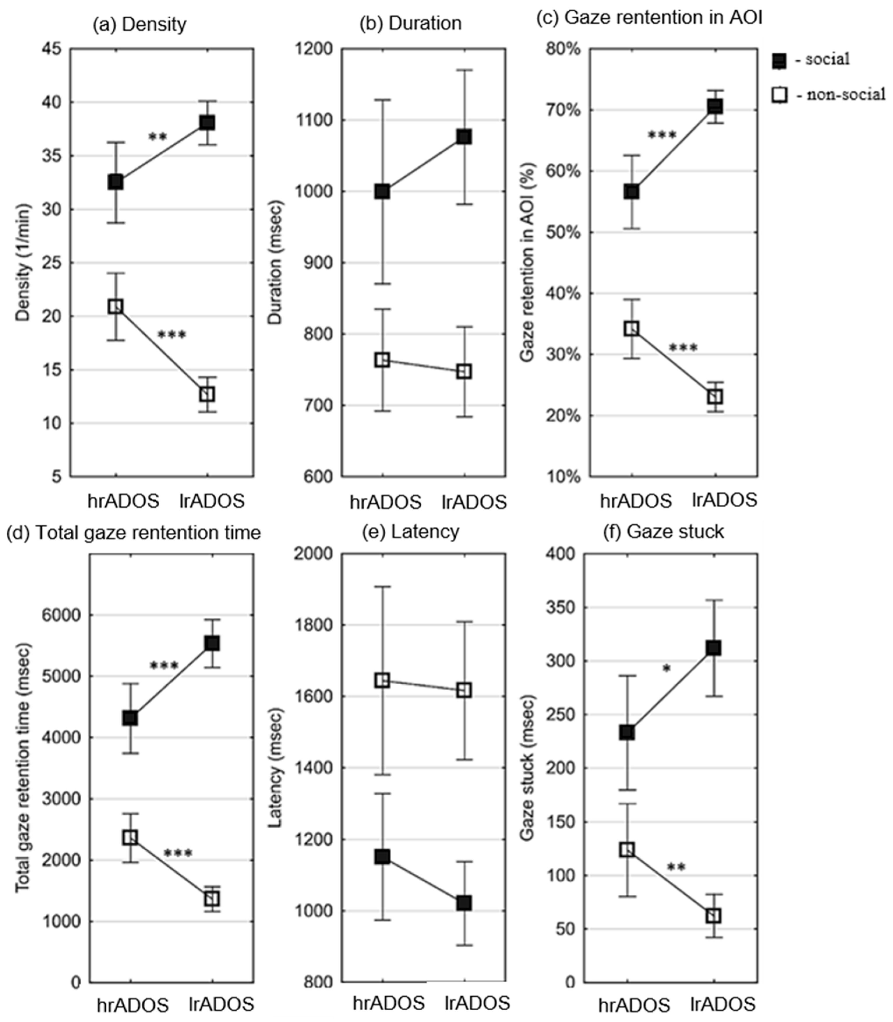
| Density (1/min) | Non-social (MW) | 20.9 | 12.7 | 0.0000 * | 0.55 |
| Social (W) | 32.5 | 38.1 | 0.0108 * | 0.63 | |
| Duration (ms) | Non-social (MW) | 763.4 | 747.0 | 0.9180 | 0.15 |
| Social | 999.4 | 1076.2 | 0.3203 | 0.23 | |
| Gaze retention in AOI (%) | Non-social (W) | 34.2% | 23.0% | 0.0001 * | 1.01 |
| Social (W) | 56.6% | 70.5% | 0.0000 * | 1.04 | |
| Total gaze retention time (ms) | Non-social (MW) | 2361.3 | 1363.5 | 0.0000 * | 0.56 |
| Social | 4308.6 | 5534.3 | 0.0004 * | 0.87 | |
| Latency (ms) | Non-social | 1644.2 | 1616.3 | 0.8596 | 0.04 |
| Social | 1151.1 | 1020.9 | 0.2000 | 0.30 | |
| Gaze stuck (ms) | Non-social (MW) | 123.6 | 62.1 | 0.0074 * | 0.36 |
| Social | 232.9 | 311.8 | 0.0239 | 0.54 |
| ALL | lrADOS | hrADOS | Comparison of Correlations | |||||
|---|---|---|---|---|---|---|---|---|
| r * | p | r | p | r | p | Fisher’s z | p | |
| Preferential—ratio of non-social | 0.59 | 0.0000 | 0.09 | 0.5677 | 0.51 | 0.0030 | −1.90 | 0.0574 |
| Preferential—ratio of social | −0.63 | 0.0000 | −0.35 | 0.0250 | −0.66 | 0.0000 | 1.74 | 0.0818 |
| Ostensive—ratio of person | −0.41 | 0.0004 | −0.30 | 0.0569 | −0.45 | 0.0092 | 0.73 | 0.4654 |
| Ostensive—ratio of target (SP) | 0.01 | 0.9388 | 0.17 | 0.2936 | 0.04 | 0.8390 | 0.53 | 0.2970 |
| ALL | lrADOS | hrADOS | Comparison of Correlations | ||||||
|---|---|---|---|---|---|---|---|---|---|
| r * | p | r | p | r | p | Fisher’s z | p | ||
| Density (1/min) | Non-social | 0.58 | 0.0000 | 0.11 | 0.4830 | 0.41 | 0.0185 | −1.34 | 0.180 |
| Social | −0.52 | 0.0000 | 0.00 | 0.9935 | −0.77 | 0.0000 | 4.12 | 0.000 | |
| Duration (ms) | Non-social (SP) | 0.07 | 0.5426 | −0.17 | 0.2704 | 0.60 | 0.0003 | −3.08 | 0.002 |
| Social | −0.21 | 0.0733 | −0.35 | 0.0244 | −0.17 | 0.3509 | −0.77 | 0.438 | |
| Gaze retention in AOI (%) | Non-social | 0.60 | 0.0000 | 0.14 | 0.3839 | 0.57 | 0.0007 | −2.07 | 0.038 |
| Social | −0.68 | 0.0000 | −0.36 | 0.0181 | −0.71 | 0.0000 | 2.03 | 0.042 | |
| Total gaze retention time (ms) | Non-social | 0.60 | 0.0000 | 0.05 | 0.7433 | 0.54 | 0.0014 | −2.26 | 0.024 |
| Social | −0.58 | 0.0000 | −0.38 | 0.0125 | −0.63 | 0.0001 | 1.37 | 0.172 | |
| Latency (ms) | Non-social | −0.13 | 0.2801 | −0.09 | 0.5831 | −0.44 | 0.0122 | 1.56 | 0.120 |
| Social | 0.30 | 0.0102 | 0.07 | 0.6467 | 0.49 | 0.0041 | −1.91 | 0.056 | |
| Gaze stuck (ms) | Non-social (SP) | 0.37 | 0.0001 | 0.11 | 0.4675 | 0.38 | 0.0297 | −1.71 | 0.086 |
| Social | −0.41 | 0.0003 | −0.38 | 0.0126 | −0.42 | 0.0166 | 0.19 | 0.852 | |
Disclaimer/Publisher’s Note: The statements, opinions and data contained in all publications are solely those of the individual author(s) and contributor(s) and not of MDPI and/or the editor(s). MDPI and/or the editor(s) disclaim responsibility for any injury to people or property resulting from any ideas, methods, instructions or products referred to in the content. |
© 2025 by the authors. Licensee MDPI, Basel, Switzerland. This article is an open access article distributed under the terms and conditions of the Creative Commons Attribution (CC BY) license.
Share and Cite
Pachner, O.; Soltész, P.; Gombos, F.; Gerván, P. Unveiling Distinctive Eye Tracking Markers to Distinguish Toddlers with High-Risk Autism as Indicated by ADOS Within an Elevated-Likelihood Toddler Sample. Children 2026, 13, 55. https://doi.org/10.3390/children13010055
Pachner O, Soltész P, Gombos F, Gerván P. Unveiling Distinctive Eye Tracking Markers to Distinguish Toddlers with High-Risk Autism as Indicated by ADOS Within an Elevated-Likelihood Toddler Sample. Children. 2026; 13(1):55. https://doi.org/10.3390/children13010055
Chicago/Turabian StylePachner, Orsolya, Péter Soltész, Ferenc Gombos, and Patrícia Gerván. 2026. "Unveiling Distinctive Eye Tracking Markers to Distinguish Toddlers with High-Risk Autism as Indicated by ADOS Within an Elevated-Likelihood Toddler Sample" Children 13, no. 1: 55. https://doi.org/10.3390/children13010055
APA StylePachner, O., Soltész, P., Gombos, F., & Gerván, P. (2026). Unveiling Distinctive Eye Tracking Markers to Distinguish Toddlers with High-Risk Autism as Indicated by ADOS Within an Elevated-Likelihood Toddler Sample. Children, 13(1), 55. https://doi.org/10.3390/children13010055

