Effects of a 12-Week Exercise Intervention on Primitive Reflex Retention and Social Development in Children with ASD and ADHD
Abstract
Highlights
- •
- A 12-week exercise program reduced specific primitive reflex retention (e.g., ATNR) and improved fine motor coordination, particularly in children with ASD and ADHD.
- •
- The intervention led to significant behavioral improvements in the ADHD group, as evidenced by reductions in Conners 3 Total and Global Index scores.
- •
- Movement-based interventions focusing on rhythm, balance, and coordination may facilitate motor and behavioral development in neurodevelopmental conditions, though effects may vary by diagnosis.
- •
- Such interventions have potential applicability in clinical and educational settings to support self-regulation and developmental outcomes in ASD and ADHD.
Abstract
1. Introduction
1.1. Background of ASD and ADHD
1.2. The Role of Motor Interventions and Primitive Reflexes
1.3. Role of Fine Motor Assessment and Reflex Integration
1.4. Current Gaps
1.5. Purpose and Hypotheses
2. Methods
2.1. Research Design
2.2. Participants
2.3. Assessment Procedure of Primitive Reflex
- The Moro reflex (Moro);
- TLR Erect test (for flexion; TLR-Flex, for extension; TLR-Ext);
- STNR (for flexion; STNR-Flex, for extension; STNR-Ext);
- Ayres quadruped test for the ATNR (ATNR-Quad-L/R for left and right side);
- Adapted Hoff–Schilder test for the ATNR (ATNR-Stand-L/R for left and right side).
- 6.
- Babinski reflex (Babinski);
- 7.
- Landau reflex (Landau);
- 8.
- Galant reflex (Galant).
2.4. Evaluation of Social Behavior and Behavioral Characteristics
2.5. Intervention
2.6. Ethical Considerations
2.7. Data Availability
2.8. Statistical Analysis
3. Results
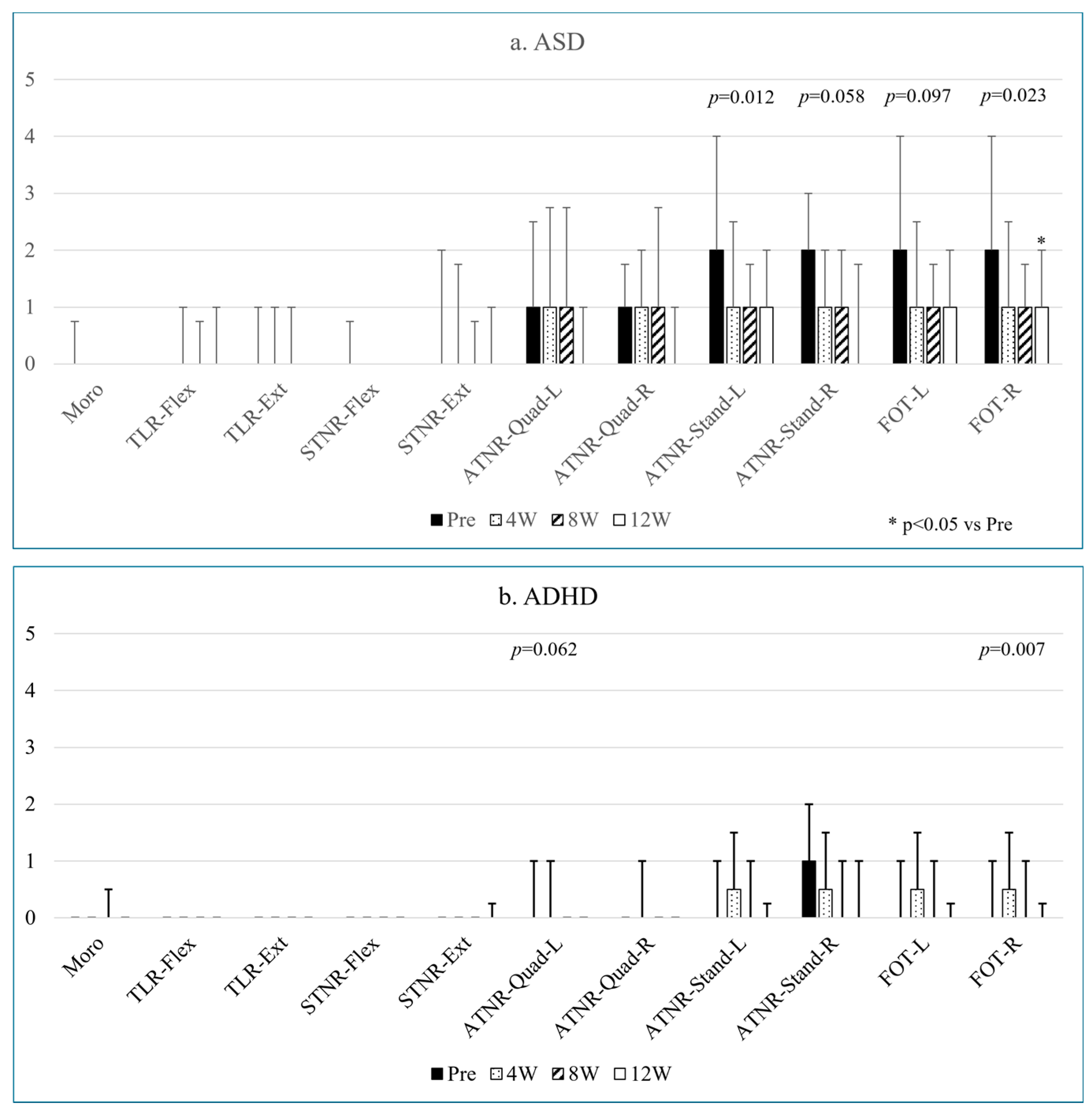
3.1. The 12-Week Change in Primitive Reflex
3.2. Changes in the Number (And Percentage) of Individuals with Positive Primitive Reflex Retention
3.3. Three-Month Score Changes in SRS-2 (ASD) and Conners 3 (ADHD)
4. Discussion
4.1. Summary of Results
4.2. Patterns of Primitive Reflex Retention in ASD and ADHD
4.3. Exercise Intervention and Primitive Reflex Integration
4.4. Socio-Behavioral Outcomes and Mechanisms
4.5. Limitations and Future Directions
4.6. Conclusions
Supplementary Materials
Author Contributions
Funding
Institutional Review Board Statement
Informed Consent Statement
Data Availability Statement
Acknowledgments
Conflicts of Interest
References
- Shaw, K.A.; William, S.; Patrick, M.E.; Valencia-Prado, M.; Durkin, M.S.; Howerton, E.M.; Ladd-Acosta, C.M.; Pas, E.T.; Bakian, A.V.; Bartholomew, P.; et al. Prevalence and early identifica-tion of autism spectrum disorder among children aged 4 and 8 years-Autism and developmental disabil-ities monitoring network, 16 sites, United States, 2022. MMWR Surveill. Summ. 2022, 74, 1–22. [Google Scholar] [CrossRef] [PubMed]
- Ayano, G.; Demelash, S.; Gizachew, Y.; Tsegay, L.; Alati, R. The global prevalence of attention deficit hyperactivity disorder in children and adolescents: An umbrella review of meta-analyses. J. Affect. Disord. 2023, 339, 860–866. [Google Scholar] [CrossRef] [PubMed]
- Popit, S.; Serod, K.; Locatelli, I.; Stuhec, M. Prevalence of attention-deficit hyperactivity disorder (ADHD): Systematic review and meta-analysis. Eur. Psychiatry 2024, 67, e68. [Google Scholar] [CrossRef] [PubMed]
- Howlin, P.; Goode, S.; Hutton, J.; Rutter, M. Adult outcome for children with autism. J. Child Psychol. Psychiatry Allied Discip. 2004, 45, 212–229. [Google Scholar] [CrossRef] [PubMed]
- Fournier, K.A.; Hass, C.J.; Naik, S.K.; Lodha, N.; Cauraugh, J.H. Motor coordination in autism spectrum disorders: A synthesis and meta-analysis. J. Autism Dev. Disord. 2010, 40, 1227–1240. [Google Scholar] [CrossRef] [PubMed]
- Wang, L.; Petrulla, V.; Zampella, J.; Waller, R.; Schultz, R. Sulemental material for gross motor impairment and its relation to social skills in autism spectrum disorder: A systematic review and two meta-analyses. Psychol. Bull. 2022, 148, 273–300. [Google Scholar] [CrossRef] [PubMed]
- Bhat, A.N. Motor Impairment Increases in Children With Autism Spectrum Disorder as a Function of Social Communication, Cognitive and Functional Impairment, Repetitive Behavior Severity, and Comorbid Diagnoses: A SPARK Study Report. Autism Res. 2021, 14, 202–219. [Google Scholar] [CrossRef] [PubMed]
- Leonard, H.C.; Bedford, R.; Charman, T.; Elsabbagh, M.; Johnson, M.H.; Hill, E.L. Motor development in children at risk of autism: A follow-up study of infant siblings. Autism 2014, 18, 281–291. [Google Scholar] [CrossRef] [PubMed]
- Musser, E.D.; Karalunas, S.L.; Dieckmann, N.; Peris, T.S.; Nigg, J.T. Attention-deficit/hyperactivity disorder developmental trajectories related to parental expressed emotion. J. Abnorm. Psychol. 2016, 125, 182–195. [Google Scholar] [CrossRef] [PubMed]
- Steinberg, E.A.; Drabick, D.A.G. A developmental psychopathology perspective on ADHD and comorbid conditions: The role of emotion regulation. Child Psychiatry Hum. Dev. 2015, 46, 951–966. [Google Scholar] [CrossRef] [PubMed]
- Albajara Sáenz, A.; Villemonteix, T.; Van Schuerbeek, P.; Baijot, S.; Septier, M.; Defresne, P.; Delvenne, V.; Passeri, G.; Raeymaekers, H.; Victoor, L.; et al. Motor Abnormalities in Attention-Deficit/Hyperactivity Disorder and Autism Spectrum Disorder Are Associated With Regional Grey Matter Volumes. Front. Neurol. 2021, 12, 666980. [Google Scholar] [CrossRef] [PubMed]
- Cortese, S.; Kelly, C.; Chabernaud, C.; Proal, E.; Di Martino, A.; Milham, M.P.; Castellanos, F.X. Toward systems neuroscience of ADHD: A meta-analysis of 55 fMRI studies. Am. J. Psychiatry 2012, 169, 1038–1055. [Google Scholar] [CrossRef] [PubMed]
- Merrill, B.M.; Molina, B.S.G.; Coxe, S.; Gnagy, E.M.; Altszuler, A.R.; Macphee, F.L.; Morrow, A.S.; Trucco, E.M.; Pelham, W.E. Functional outcomes of young adults with childhood ADHD: A latent profile analysis. J. Clin. Child Adolesc. Psychol. 2020, 49, 215–228. [Google Scholar] [CrossRef] [PubMed]
- Bob, P.; Konicarova, J.; Raboch, J. Disinhibition of Primitive Reflexes in Attention Deficit and Hyperactivity Disorder: Insight Into Specific Mechanisms in Girls and Boys. Front. Psychiatry 2021, 12, 430685. [Google Scholar] [CrossRef] [PubMed]
- Pecuch, A.; Gieysztor, E.; Telenga, M.; Wolańska, E.; Kowal, M.; Paprocka-Borowicz, M. Primitive reflex activity in relation to the sensory profile in healthy preschool children. Int. J. Environ. Res. Public Health 2020, 17, 1–16. [Google Scholar] [CrossRef] [PubMed]
- Wang, M.; Yu, J.; Kim, H.D.; Cruz, A.B. Attention deficit hyperactivity disorder is associated with (a)symmetric tonic neck primitive reflexes: A systematic review and meta-analysis. Front. Psychiatry 2023, 14, 1175974. [Google Scholar] [CrossRef] [PubMed]
- Hickey, J.; Feldhacker, D.R. Primitive reflex retention and attention among preschool children. J. Occup. Ther. Sch. Early Interv. 2022, 15, 1–13. [Google Scholar] [CrossRef]
- Feldhacker, D.R.; Cosgrove, R.; Feiten, B.; Schmidt, K.; Stewart, M. The Correlation between Retained Primitive Reflexes and Scholastic Performance among Early Elementary Students. J. Occup. Ther. Sch. Early Interv. 2022, 15, 288–301. [Google Scholar] [CrossRef]
- McPhillips, M.; Heer, P.G.; Mulhern, G. Effects of replicating primary-reflex movements on specific reading difficulties in children: A randomised, double-blind, controlled trial. Lancet 2000, 355, 537–541. [Google Scholar] [CrossRef] [PubMed]
- Blythe, S.G. Releasing educational potential through movement: A summary of individual studies carried out using the IN test battery and developmental exercise programme for use in schools with children with special needs. Child Care Pract. 2005, 11, 415–432. [Google Scholar] [CrossRef]
- McWhirter, K.; Steel, A.; Adams, J. The association between learning disorders, motor function, and primitive reflexes in pre-school children: A systematic review. J. Child Health Care 2024, 28, 402–428. [Google Scholar] [CrossRef] [PubMed]
- Tele-heri, B.; Dobos, K.; Harsanyi, S.; Palinkas, J.; Fenyosi, F.; Gesztelyi, R.; More, C.E.; Zsuga, J. Vestibular stimulation may drive multisensory processing: Principles for targeted sensorimotor therapy (tsmt). Brain Sci. 2021, 11, 1111. [Google Scholar] [CrossRef] [PubMed]
- Dziuk, M.A.; Larson, J.C.G.; Apostu, A.; Mahone, E.M.; Denckla, M.B.; Mostofsky, S.H. Dyspraxia in autism: Association with motor, social, and communicative deficits. Dev. Med. Child Neurol. 2007, 49, 734–739. [Google Scholar] [CrossRef] [PubMed]
- Blythe, S.G. Neuromotor Immaturity in Children and Adults; Wiley-Blackwell: Hoboken, NJ, USA, 2014. [Google Scholar]
- Just, M.A.; Cherkassky, V.L.; Keller, T.A.; Kana, R.K.; Minshew, N.J. Functional and anatomical cortical underconnectivity in autism: Evidence from an fmri study of an executive function task and corpus callosum morphometry. Cereb. Cortex 2007, 17, 951–961. [Google Scholar] [CrossRef] [PubMed]
- Conners, K.; Jenni, P.; Rzepa, R.S. Conners 3rd edition. In Encyclopedia of Clinical Neuropsychology; Kreutzer, S.J., DeLuca, J., Caplan, B., Eds.; Springer: New York, NY, USA, 2011; pp. 675–678. [Google Scholar]
- Constantino, N.J. Social Responsiveness Scale, 2nd ed.; WPS: Torrance, CA, USA, 2012. [Google Scholar]
- Cohen, J. Statistical Power Analysis for the Behavioral Sciences, 2nd ed.; Routledge: London, UK, 1988. [Google Scholar]
- Gieysztor, E.; Choińska, A.M.; Paprocka-Borowicz, M. Persistence of primitive reflexes and associated motor problems in healthy preschool children. Arch. Med. Sci. 2018, 14, 167–173. [Google Scholar] [CrossRef] [PubMed]
- Gieysztor, E.; Kowal, M.; Paprocka-Borowicz, M. Primitive reflex factors influence walking gait in young children: An observational study. Int. J. Environ. Res. Public Health 2022, 19, 4070. [Google Scholar] [CrossRef] [PubMed]
- Konicarova, J.; Bob, P. Asymmetric tonic neck reflex and symptoms of attention deficit and hyperactivity disorder in children. Int. J. Neurosci. 2013, 123, 766–769. [Google Scholar] [CrossRef] [PubMed]
- Grzywniak, C. Integration exercise programme for children with learning difficulties who have preserved vestigial primitive reflexes. Acta Neuropsychol. 2017, 15, 241–256. [Google Scholar] [CrossRef]
- Jordan-Black, J. The effects of the primary movement programme on the academic performance of children attending ordinary primary school. J. Res. Spec. Educ. Needs 2005, 5, 101–111. [Google Scholar] [CrossRef]
- Cerrillo-Urbina, A.J.; García-Hermoso, A.; Sánchez-López, M.; Pardo-Guijarro, M.J.; Santos Gómez, J.L.; Martínez-Vizcaíno, V. The effects of physical exercise in children with attention deficit hyperactivity disorder: A systematic review and meta-analysis of randomized control trials. Child Care Health Dev. 2015, 41, 779–788. [Google Scholar] [CrossRef] [PubMed]
- Pontifex, M.B.; Saliba, B.J.; Raine, L.B.; Picchietti, D.L.; Hillman, C.H. Exercise improves behavioral, neurocognitive, and scholastic performance in children with attention-deficit/hyperactivity disorder. J. Pediatr. 2013, 162, 543–551. [Google Scholar] [CrossRef] [PubMed]
- Liu, S.; Yu, Q.; Li, Z.; Cunha, P.M.; Zhang, Y.; Kong, Z.; Lin, W.; Chen, S.; Cai, Y. Effects of acute and chronic exercises on executive function in children and adolescents: A systemic review and meta-analysis. Front. Psychol. 2020, 11, 554915. [Google Scholar] [CrossRef] [PubMed]
- Tomporowski, P.D.; Lambourne, K.; Okumura, M.S. Physical activity interventions and children’s mental function: An introduction and overview. Prev. Med. 2011, 52 (Suppl. 1), S3–S9. [Google Scholar] [CrossRef] [PubMed]
- Persichetti, A.S.; Shao, J.; Gotts, S.J.; Martin, A. Maladaptive laterality in cortical networks relatelto social communication in autism spectrum disorder. J. Neurosci. 2022, 42, 9045–9052. [Google Scholar] [CrossRef] [PubMed]
- Tomporowski, P.D.; McCullick, B.; Pendleton, D.M.; Pesce, C. Exercise and children’s cognition: The role of exercise characteristics and a place for metacognition. J. Sport Health Sci. 2015, 4, 47–55. [Google Scholar] [CrossRef]

| Variable | ASD (n = 15) | ADHD (n = 12) | Total (n = 27) |
|---|---|---|---|
| Age, years, M ± SD | 9.4 ± 1.9 | 9.5 ± 1.7 | 9.4 ± 1.8 |
| Sex, n (M/F) | 13/2 | 8/4 | 21/6 |
| Comorbidities | None * | None * | None * |
| (a) | |||
| ASD | Pre-4 W | Pre-8 W | Pre-12 W |
| Moro | 0.365 | 0.098 | 0.336 |
| TLR-Flex | 0.071 | 0.190 | 0.222 |
| TLR-Ext | 0.249 | 0.000 | 0.125 |
| STNR-Flex | 0.092 | 0.156 | 0.082 |
| STNR-Ext | 0.067 | 0.220 | 0.310 |
| ATNR-Quad-L | 0.219 | 0.209 | 0.514 |
| ATNR-Quad-R | 0.389 | 0.284 | 0.516 |
| ATNR-Stand-L | 0.465 | 0.572 | 0.484 |
| ATNR-Stand-R | 0.330 | 0.515 | 0.496 |
| FOT-L | 0.253 | 0.377 | 0.432 |
| FOT-R | 0.623 | 0.554 | 0.600 |
| (b) | |||
| ADHD | Pre-4W | Pre-8W | Pre-12W |
| Moro | 0.289 | 0.500 | 0.289 |
| TLR-Flex | 0.387 | 0.236 | 0.387 |
| TLR-Ext | 0.289 | 0.314 | 0.314 |
| STNR-Flex | 0.289 | 0.387 | 0.408 |
| STNR-Ext | 0.289 | 0.387 | 0.000 |
| ATNR-Quad-L | 0.129 | 0.408 | 0.545 |
| ATNR-Quad-R | 0.327 | 0.119 | 0.327 |
| ATNR-Stand-L | 0.109 | 0.204 | 0.342 |
| ATNR-Stand-R | 0.204 | 0.333 | 0.465 |
| FOT-L | 0.546 | 0.557 | 0.436 |
| FOT-R | 0.577 | 0.764 | 0.546 |
| (a) | ||||
| ASD | Pre | 4W | 8W | 12W |
| Moro | 4 (26.7) | 3 (20.0) | 3 (20.0) | 2 (13.3) |
| TLR_Flex | 3 (20.0) | 5 (33.3) | 4 (26.7) | 6 (40.0) |
| TLR_Ext | 6 (40.0) | 6 (40.0) | 5 (33.3) | 4 (26.7) |
| STNR_Flex | 5 (33.3) | 4 (26.7) | 3 (20.0) | 2 (13.3) |
| STNR_Ext | 6 (40.0) | 6 (40.0) | 5 (33.3) | 6 (40.0) |
| ATNR-Quad-L | 11 (73.3) | 9 (60.0) | 10 (66.7) | 6 (40.0) |
| ATNR-Quad-R | 11 (73.3) | 9 (60.0) | 10 (66.7) | 7 (46.7) |
| ATNR-Stand-L | 11 (73.3) | 10 (66.7) | 10 (66.7) | 8 (53.3) |
| ATNR-Stand-R | 12 (80.0) | 12 (80.0) | 10 (66.7) | 7 (46.7) |
| Landau | 10 (66.7) | 8 (53.3) | 10 (66.7) | 11 (73.3) |
| Galant | 9 (60.0) | 10 (66.7) | 7 (46.7) | 5 (33.3) |
| Babinski (L) | 6 (40.0) | 7 (46.7) | 6 (40.0) | 6 (40.0) |
| Babinski (R) | 6 (40.0) | 6 (40.0) | 7 (46.7) | 5 (33.3) |
| FOT-L | 11 (73.3) | 9 (60.0) | 7 (46.7) | 5 (33.3) |
| FOT-R | 10 (66.7) | 8 (53.3) | 7 (46.7) | 4 (26.7) |
| (b) | ||||
| ADHD | Pre | 4W | 8W | 12W |
| Moro | 1 (7.7) | 0 (0.0) | 3 (23.1) | 0 (0.0) |
| TLR_Flex | 2 (15.4) | 3 (23.1) | 1 (7.7) | 0 (0.0) |
| TLR_Ext | 3 (23.1) | 3 (23.1) | 1 (7.7) | 1 (7.7) |
| STNR_Flex | 0 (0.0) | 1 (7.7) | 2 (15.4) | 2 (15.4) |
| STNR_Ext | 1 (7.7) | 2 (15.4) | 0 (0.0) | 3 (23.1) |
| ATNR-Quad-L | 4 (30.8) | 4 (30.8) | 2 (15.4) | 1 (7.7) |
| ATNR-Quad-R | 2 (15.4) | 4 (30.8) | 2 (15.4) | 1 (7.7) |
| ATNR-Stand-L | 4 (30.8) | 6 (46.2) | 3 (23.1) | 3 (23.1) |
| ATNR-Stand-R | 7 (53.8) | 6 (46.2) | 4 (30.8) | 4 (30.8) |
| Landau | 4 (30.8) | 4 (30.8) | 3 (23.1) | 2 (15.4) |
| Galant | 3 (23.1) | 5 (38.5) | 6 (46.2) | 4 (30.8) |
| Babinski (L) | 3 (23.1) | 2 (15.4) | 1 (7.7) | 3 (23.1) |
| Babinski (R) | 4 (30.8) | 3 (23.1) | 2 (15.4) | 2 (15.4) |
| FOT-L | 7 (53.8) | 7 (53.8) | 4 (30.8) | 6 (46.2) |
| FOT-R | 9 (69.2) | 7 (53.8) | 3 (23.1) | 4 (30.8) |
| Pre (S.D.) | Post (S.D.) | ΔPost–Pre (Range) | MCID | p Value (Effect Size) | |
|---|---|---|---|---|---|
| Awareness | 9.3 (3.8) | 9.4 (3.8) | 0.9 (−4.0–4.0) | 1.20 | 0.905 (0.031) |
| Cognition | 15.9 (5.9) | 15.5 (5.1) | −0.4 (−7.0–5.0) | 1.88 | 0.596 (0.140) |
| Communication | 25.0 (10.2) | 23.3 (7.9) | −1.7 (−13.0–6.0) | 3.24 | 0.158 (0.386) |
| Motivation | 10.7 (3.7) | 9.7 (4.1) | −1.0 (−7.0–5.0) | 1.17 | 0.223 (0.329) |
| RR Behaviors | 14.5 (5.4) | 13.3 (4.5) | −1.2 (−5.0–6.0) | 1.69 | 0.126 (0.420) |
| Total Score | 77.3 (22.0) | 71.3 (18.7) | −6.0 (−27.0–14.0) | 6.96 | 0.072 (0.502) |
| Pre (S.D.) | Post (S.D.) | ΔPost–Pre (Range) | MCID | p Value (Effect Size) | |
|---|---|---|---|---|---|
| Inattention | 16.3 (7.7) | 12.8 (7.6) | −3.5 (−25.0–5.0) | 3.43 | 0.092 (0.486) |
| Hyperactivity/Impulsivity | 20.8 (10.0) | 15.8 (9.8) | −5.0 (−28.0–3.0) | 4.47 | 0.077 (0.510) |
| Learning Problems | 10.7 (7.5) | 8.8 (7.3) | −1.9 (−11.0–3.0) | 3.33 | 0.180 (0.413) |
| Executive Functioning | 14.1 (6.0) | 13.2 (5.7) | −0.9 (−7.0–6.0) | 2.69 | 0.384 (0.262) |
| Aggression | 7.1 (7.4) | 5.9 (6.1) | −1.2 (−10.0–5.0) | 3.31 | 0.623 (0.142) |
| Peer Relations | 3.1 (2.9) | 2.8 (2.6) | −0.3 (−6.0–3.0) | 1.28 | 0.627 (0.144) |
| Global Index | 14.6 (4.9) | 10.6 (6.6) | −4.0 (−22.0–2.0) | 2.19 | 0.020 (0.671) |
| Anxiety | 15.8 (7.4) | 12.8 (5.7) | −2.9 (−14.0–4.0) | 3.31 | 0.094 (0.529) |
| Anger | 16.3 (7.8) | 12.8 (7.3) | −3.6 (−22.0–4.0) | 3.49 | 0.065 (0.532) |
| Conduct Disorder | 2.8 (3.3) | 1.5 (1.5) | −1.3 (−7.0–2.0) | 1.49 | 0.167 (0.427) |
| Oppositional Defiant Disorder | 9.1 (7.5) | 7.8 (7.3) | −1.3 (−12.0–5.0) | 3.33 | 0.301 (0.298) |
| Parenting Index | 0.5 (0.8) | 0.4 (0.7) | −0.1 (−2.0–2.0) | 0.36 | 0.777 (0.084) |
| Negative Impact | 0.6 (1.2) | 0.7 (1.2) | −0.1 (−1.0–2.0) | 0.52 | 0.705 (0.109) |
| Total Score | 131.6 (57.3) | 105.8 (59.2) | −25.8 (−157–14.0) | 25.62 | 0.016 (0.695) |
Disclaimer/Publisher’s Note: The statements, opinions and data contained in all publications are solely those of the individual author(s) and contributor(s) and not of MDPI and/or the editor(s). MDPI and/or the editor(s) disclaim responsibility for any injury to people or property resulting from any ideas, methods, instructions or products referred to in the content. |
© 2025 by the authors. Licensee MDPI, Basel, Switzerland. This article is an open access article distributed under the terms and conditions of the Creative Commons Attribution (CC BY) license (https://creativecommons.org/licenses/by/4.0/).
Share and Cite
Hirose, N.; Tashiro, Y.; Takasaki, T. Effects of a 12-Week Exercise Intervention on Primitive Reflex Retention and Social Development in Children with ASD and ADHD. Children 2025, 12, 987. https://doi.org/10.3390/children12080987
Hirose N, Tashiro Y, Takasaki T. Effects of a 12-Week Exercise Intervention on Primitive Reflex Retention and Social Development in Children with ASD and ADHD. Children. 2025; 12(8):987. https://doi.org/10.3390/children12080987
Chicago/Turabian StyleHirose, Norikazu, Yuki Tashiro, and Tomoya Takasaki. 2025. "Effects of a 12-Week Exercise Intervention on Primitive Reflex Retention and Social Development in Children with ASD and ADHD" Children 12, no. 8: 987. https://doi.org/10.3390/children12080987
APA StyleHirose, N., Tashiro, Y., & Takasaki, T. (2025). Effects of a 12-Week Exercise Intervention on Primitive Reflex Retention and Social Development in Children with ASD and ADHD. Children, 12(8), 987. https://doi.org/10.3390/children12080987

