Cord Blood Mitochondrial DNA Copy Number and Physical Growth in Infancy and Toddlerhood: A Birth Cohort Analysis
Abstract
1. Introduction
2. Materials and Methods
2.1. Information and Biological Samples
2.2. Determination of Mitochondrial DNA Copy Number
2.3. Standard Deviation Calculation
2.4. Statistical Analysis
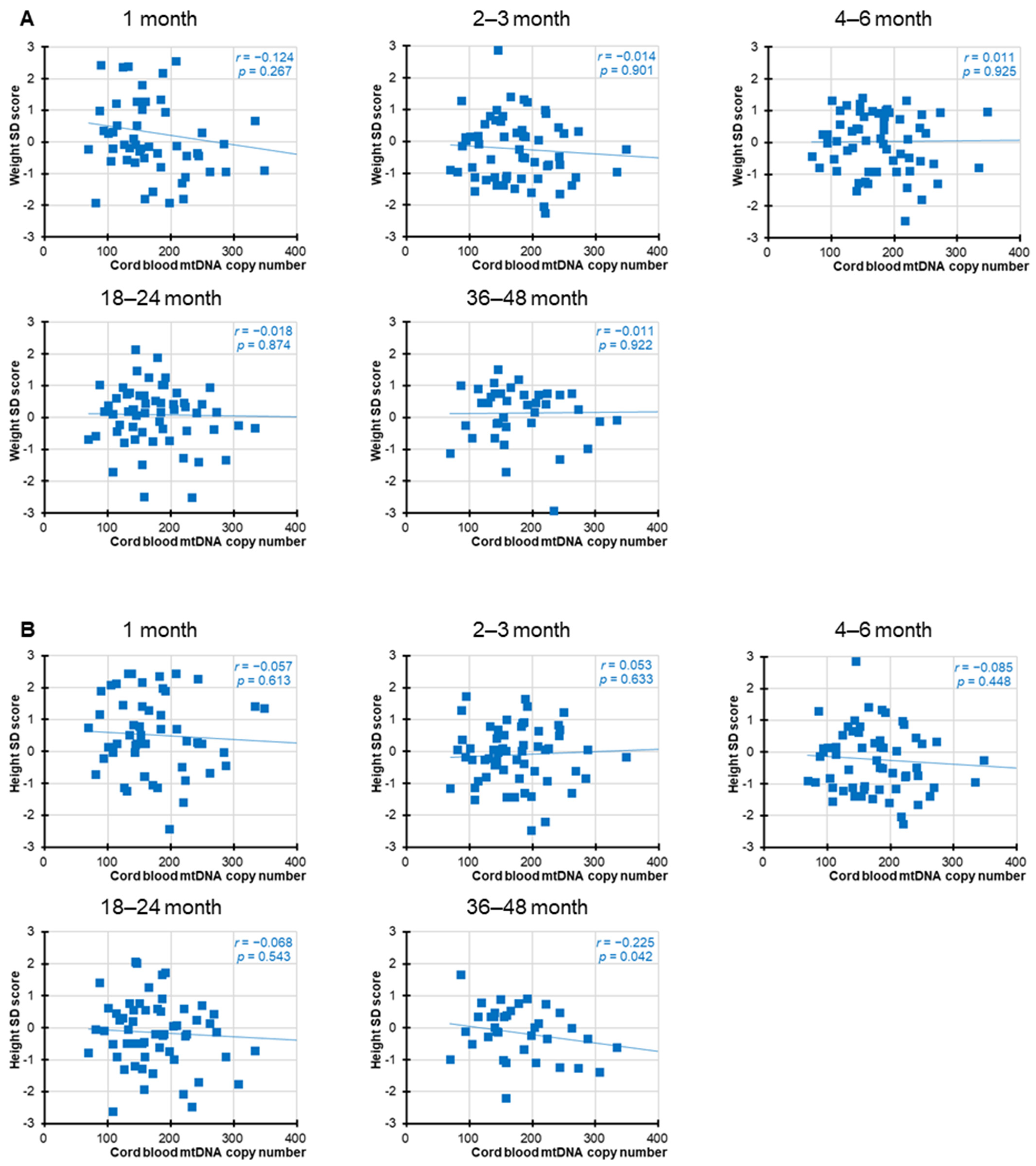
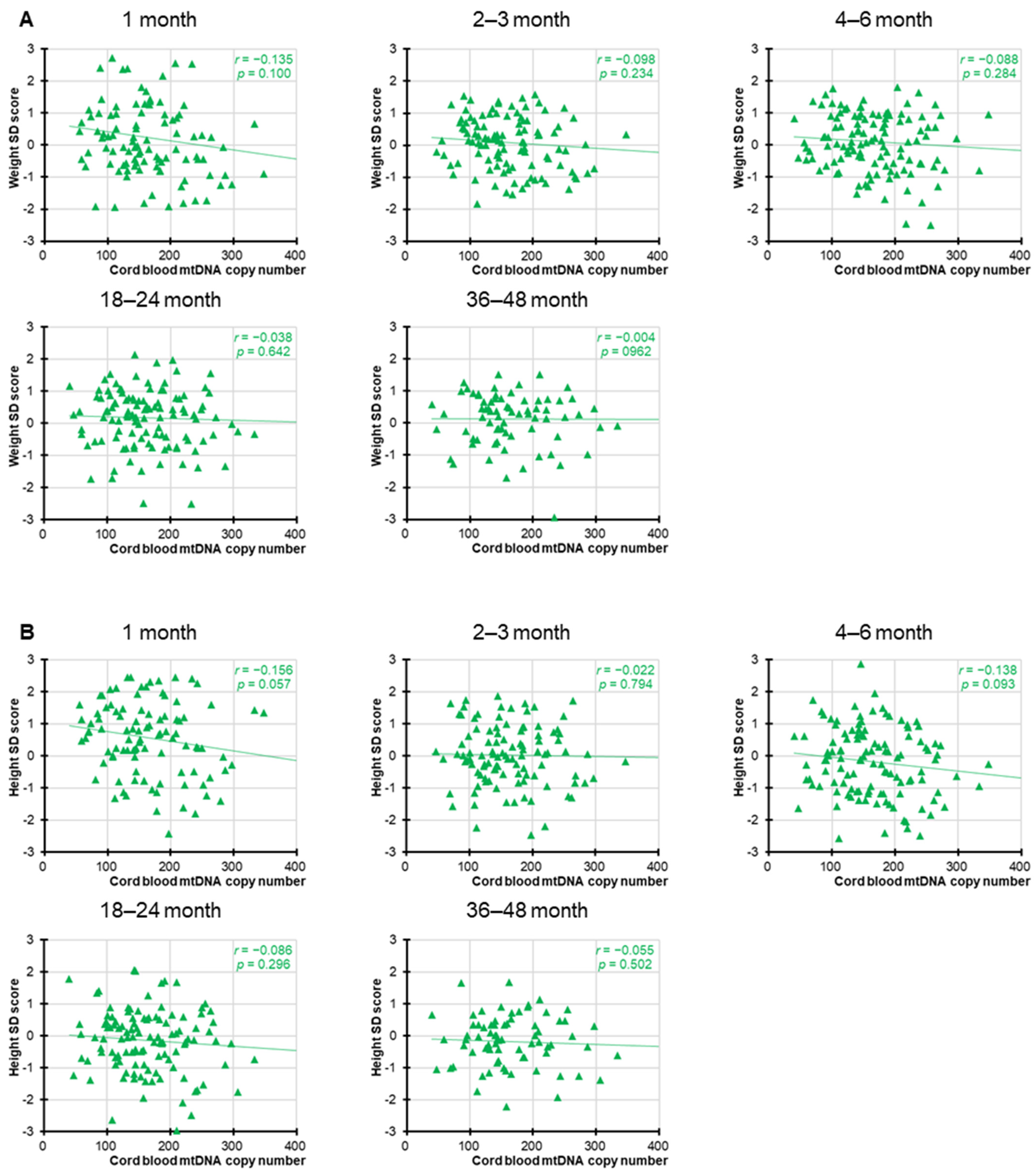
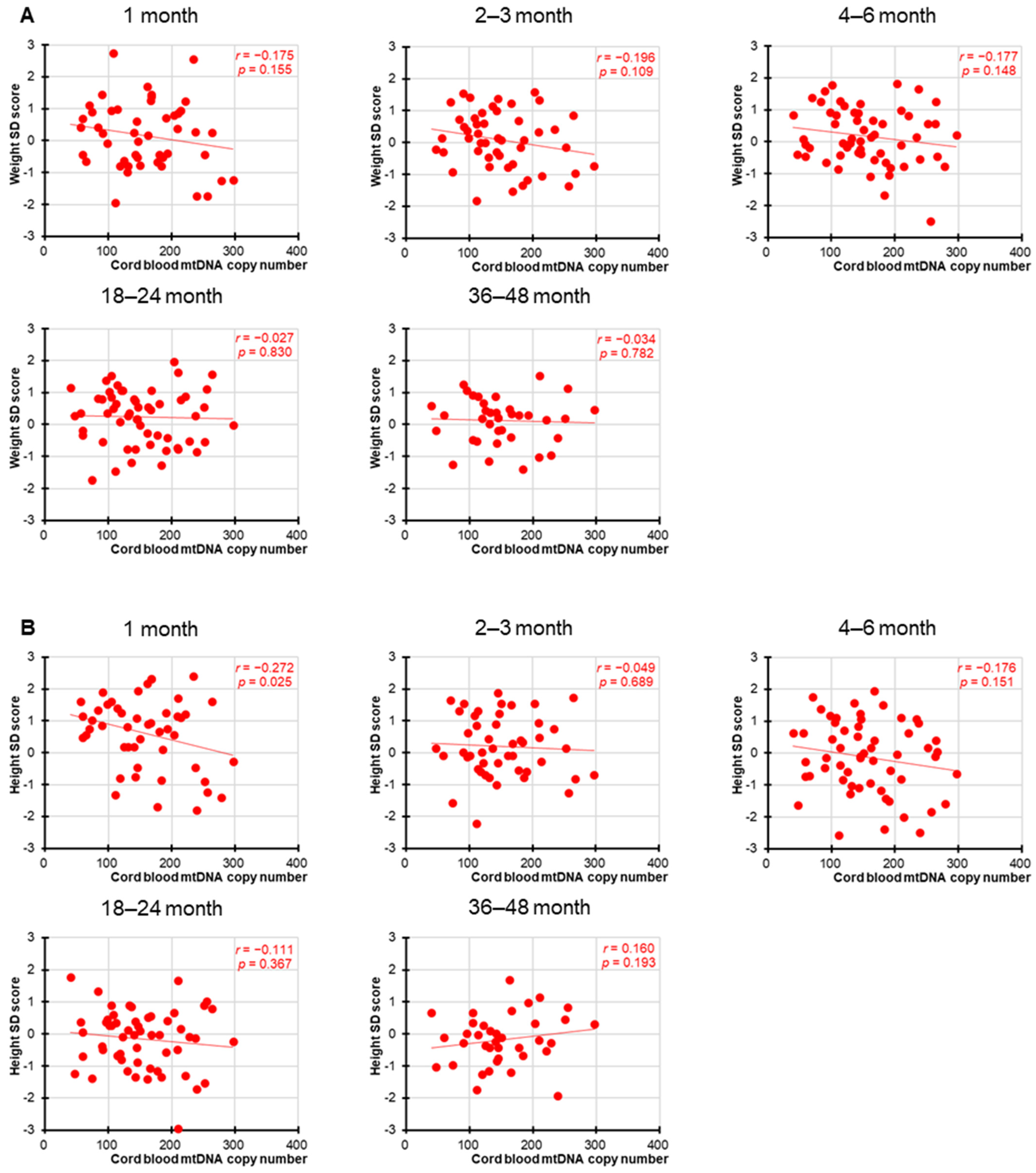
3. Results
4. Discussion
5. Conclusions
Supplementary Materials
Author Contributions
Funding
Institutional Review Board Statement
Informed Consent Statement
Data Availability Statement
Acknowledgments
Conflicts of Interest
Abbreviations
| mtDNA | mitochondrial DNA |
| nDNA | nuclear DNA |
| mtDNAcn | mitochondrial DNA copy number |
| DOHaD | Developmental Origins of Health and Disease |
| TMM BirThree Cohort Study | Tohoku Medical Megabank Project Birth and Three-Generation Cohort Study |
| ToMMo | Tohoku Medical Megabank Organization |
| IMM | Iwate Tohoku Medical Megabank Organization |
| SD | standard deviation |
References
- St John, J.C. Genomic Balance: Two Genomes Establishing Synchrony to Modulate Cellular Fate and Function. Cells 2019, 8, 1306. [Google Scholar] [CrossRef]
- Anderson, S.; Bankier, A.T.; Barrell, B.G.; De Bruijn, M.H.L.; Coulson, A.R.; Drouin, J.; Eperon, I.C.; Nierlich, D.P.; Roe, B.A.; Sanger, F.; et al. Sequence and Organization of the Human Mitochondrial Genome. Nature 1981, 290, 457–465. [Google Scholar] [CrossRef]
- Mercer, T.R.; Neph, S.; Dinger, M.E.; Crawford, J.; Smith, M.A.; Shearwood, A.M.J.; Haugen, E.; Bracken, C.P.; Rackham, O.; Stamatoyannopoulos, J.A.; et al. The Human Mitochondrial Transcriptome. Cell 2011, 146, 645–658. [Google Scholar] [CrossRef]
- Clay Montier, L.L.; Deng, J.J.; Bai, Y. Number Matters: Control of Mammalian Mitochondrial DNA Copy Number. J. Genet. Genom. 2009, 36, 125–131. [Google Scholar] [CrossRef]
- Yang, S.Y.; Castellani, C.A.; Longchamps, R.J.; Pillalamarri, V.K.; O’Rourke, B.; Guallar, E.; Arking, D.E. Blood-derived mitochondrial DNA copy number is associated with gene expression across multiple tissues and is predictive for incident neurodegenerative disease. Genome Res. 2021, 31, 349–358. [Google Scholar] [CrossRef] [PubMed]
- Mengel-From, J.; Thinggaard, M.; Dalgård, C.; Kyvik, K.O.; Christensen, K.; Christiansen, L. Mitochondrial DNA Copy Number in Peripheral Blood Cells Declines with Age and Is Associated with General Health among Elderly. Hum. Genet. 2014, 133, 1149–1159. [Google Scholar] [CrossRef] [PubMed]
- Gupta, R.; Kanai, M.; Durham, T.J.; Tsuo, K.; McCoy, J.G.; Kotrys, A.V.; Zhou, W.; Chinnery, P.F.; Karczewski, K.J.; Calvo, S.E.; et al. Nuclear Genetic Control of MtDNA Copy Number and Heteroplasmy in Humans. Nature 2023, 620, 839–848. [Google Scholar] [CrossRef]
- Ashar, F.N.; Moes, A.; Moore, A.Z.; Grove, M.L.; Chaves, P.H.M.; Coresh, J.; Newman, A.B.; Matteini, A.M.; Bandeen-Roche, K.; Boerwinkle, E.; et al. Association of Mitochondrial DNA Levels with Frailty and All-Cause Mortality. J. Mol. Med. 2015, 93, 177–186. [Google Scholar] [CrossRef] [PubMed]
- Mizuno, G.; Yamada, H.; Tsuboi, Y.; Munetsuna, E.; Yamazaki, M.; Ando, Y.; Kageyama, I.; Nouchi, Y.; Teshigawara, A.; Hattori, Y.; et al. Low mitochondrial DNA copy number in peripheral blood mononuclear cells is associated with future mortality risk: A long-term follow-up study from Japan. J. Nutr. Health Aging 2024, 28, 100013. [Google Scholar] [CrossRef]
- Lei, S.; Liu, Y. Identifying blood mitochondrial DNA copy number as a biomarker for development of neurodegenerative diseases: Evidence from Mendelian randomization analysis. Neuroscience 2025, 573, 421–429. [Google Scholar] [CrossRef]
- Memon, A.A.; Sundquist, J.; Hedelius, A.; Palmér, K.; Wang, X.; Sundquist, K. Association of mitochondrial DNA copy number with prevalent and incident type 2 diabetes in women: A population-based follow-up study. Sci. Rep. 2021, 11, 4608. [Google Scholar] [CrossRef]
- Yuan, Y.; Ju, Y.S.; Kim, Y.; Li, J.; Wang, Y.; Yoon, C.J.; Yang, Y.; Martincorena, I.; Creighton, C.J.; Weinstein, J.N.; et al. Comprehensive molecular characterization of mitochondrial genomes in human cancers. Nat. Genet. 2020, 52, 342–352. [Google Scholar] [CrossRef]
- Barker, D.J.P. The fetal and infant origins of adult disease. BMJ 1990, 301, 1111. [Google Scholar] [CrossRef] [PubMed]
- Gluckman, P.D.; Hanson, M.A. Living with the past: Evolution, development, and patterns of disease. Science 2004, 305, 1733–1736. [Google Scholar] [CrossRef] [PubMed]
- Fall, C.H.D.; Kumaran, K. Metabolic programming in early life in humans. Philos. Trans. R. Soc. B Biol. Sci. 2019, 374, 20180123. [Google Scholar] [CrossRef]
- Fukunaga, H. Mitochondrial DNA Copy Number and Developmental Origins of Health and Disease (DOHaD). Int. J. Mol. Sci. 2021, 22, 6634. [Google Scholar] [CrossRef]
- Kupsco, A.; Bloomquist, T.R.; Hu, H.; Reddam, A.; Tang, D.; Goldsmith, J.; Rundle, A.G.; Baccarelli, A.A.; Herbstman, J.B. Mitochondrial DNA Copy Number Dynamics and Associations with the Prenatal Environment from Birth through Adolescence in a Population of Dominican and African American Children. Mitochondrion 2023, 69, 140–146. [Google Scholar] [CrossRef]
- Smith, A.R.; Hinojosa Briseño, A.; Picard, M.; Cardenas, A. The Prenatal Environment and Its Influence on Maternal and Child Mitochondrial DNA Copy Number and Methylation: A Review of the Literature. Environ. Res. 2023, 227, 115798. [Google Scholar] [CrossRef] [PubMed]
- Fukunaga, H.; Ikeda, A. Mitochondrial DNA Copy Number Variation across Three Generations: A Possible Biomarker for Assessing Perinatal Outcomes. Hum. Genom. 2023, 17, 113. [Google Scholar] [CrossRef]
- Kuriyama, S.; Metoki, H.; Kikuya, M.; Obara, T.; Ishikuro, M.; Yamanaka, C.; Nagai, M.; Matsubara, H.; Kobayashi, T.; Sugawara, J.; et al. Cohort Profile: Tohoku Medical Megabank Project Birth and Three-Generation Cohort Study (TMM BirThree Cohort Study): Rationale, Progress and Perspective. Int. J. Epidemiol. 2020, 49, 18–19m. [Google Scholar] [CrossRef]
- Kobayashi, T.; Kobayashi, M.; Minegishi, N.; Kikuya, M.; Obara, T.; Ishikuro, M.; Yamanaka, C.; Onuma, T.; Murakami, K.; Ueno, F.; et al. Design and Progress of Child Health Assessments at Community Support Centers in the Birth and Three-Generation Cohort Study of the Tohoku Medical Megabank Project. Tohoku J. Exp. Med. 2023, 259, 93–105. [Google Scholar] [CrossRef]
- Yasukawa, T.; Kang, D. Assessing TFAM Binding to Human Mitochondrial DNA. Methods Mol. Biol. 2023, 2615, 139–151. [Google Scholar] [CrossRef]
- Quah, P.L.; Chan, D.W.K.; Loy, S.L.; Ong, C.; Tan, C.H.N.; Chia, M.Y.H.; Chua, T.B.K.; Yap, F.; Chua, M.C.; Tan, K.H. Caregiver Feeding Practices for Infants and Toddlers and Their Eating Behaviors in Singapore. Front. Nutr. 2025, 12, 1540031. [Google Scholar] [CrossRef]
- Martín-Rodríguez, A.; Bustamante-Sánchez, Á.; Martínez-Guardado, I.; Navarro-Jiménez, E.; Plata-SanJuan, E.; Tornero-Aguilera, J.F.; Clemente-Suárez, V.J. Infancy Dietary Patterns, Development, and Health: An Extensive Narrative Review. Children 2022, 9, 1072. [Google Scholar] [CrossRef]
- Ravi, K.; Young, A.; Beattie, R.M.; Johnson, M.J. Socioeconomic Disparities in the Postnatal Growth of Preterm Infants: A Systematic Review. Pediatr. Res. 2025, 97, 532–557. [Google Scholar] [CrossRef] [PubMed]
- Reddam, A.; Bloomquist, T.R.; Covell, L.T.; Hu, H.; Oberfield, S.E.; Gallagher, D.; Miller, R.L.; Goldsmith, J.; Rundle, A.G.; Baccarelli, A.A.; et al. Inverse Associations of Cord Blood Mitochondrial DNA Copy Number with Childhood Adiposity. Obesity 2024, 32, 989–998. [Google Scholar] [CrossRef] [PubMed]
- Felix, J.F.; Cecil, C.A.M. Population DNA Methylation Studies in the Developmental Origins of Health and Disease (DOHaD) Framework. J. Dev. Orig. Health Dis. 2019, 10, 306–313. [Google Scholar] [CrossRef]
- Bianco-Miotto, T.; Craig, J.M.; Gasser, Y.P.; Van Dijk, S.J.; Ozanne, S.E. Epigenetics and DOHaD: From Basics to Birth and Beyond. J. Dev. Orig. Health Dis. 2017, 8, 513–519. [Google Scholar] [CrossRef]
- Kupsco, A.; Heiss, J.A.; Sanchez-Guerra, M.; Estrada-Gutierrez, G.; Lesseur, C.; Hernández, C.; Bloomquist, T.R.; Abigail, G.; Guo, J.; Wang, S.; et al. Newborn Mitochondrial DNA Copy Number Is Associated with Changes to DNA Methylation That Persist into Childhood and Are Associated with Cognitive Development. Clin. Epigenetics 2025, 17, 112. [Google Scholar] [CrossRef]
- Bianco-Miotto, T.; Phillips, A.L.; Heinze, D.R.; Pennell, C.E.; Maganga, R.K.; Beilin, L.J.; Mori, T.A.; Grieger, J.A. Adverse Pregnancy Outcomes Are Associated with Shorter Telomere Length in the 17-Year-Old Child. J. Dev. Orig. Health Dis. 2024, 15, e26. [Google Scholar] [CrossRef] [PubMed]



| Characteristics | Female | Male | p Value | ||
|---|---|---|---|---|---|
| n | Mean ± SD | n | Mean ± SD | ||
| Birth | |||||
| Weight SDS score | 68 | 0.31 ± 0.90 | 81 | 0.41 ± 0.94 | 0.484 |
| Height SDS score | 68 | 0.16 ± 0.97 | 81 | 0.63 ± 0.89 | 0.002 |
| 1 month | |||||
| Weight SDS score | 48 | 0.15 ± 1.05 | 53 | 0.30 ± 1.42 | 0.572 |
| Height SDS score | 48 | 0.61 ± 1.11 | 52 | 0.51 ± 1.20 | 0.676 |
| 2–3 month | |||||
| Weight SDS score | 48 | 0.08 ± 0.89 | 60 | 0.08 ± 0.77 | 0.998 |
| Height SDS score | 47 | 0.20 ± 0.95 | 60 | −0.10 ± 0.92 | 0.104 |
| 4–6 month | |||||
| Weight SDS score | 57 | 0.17 ± 0.89 | 61 | 0.03 ± 0.92 | 0.419 |
| Height SDS score | 57 | −0.12 ± 1.12 | 61 | −0.24 ± 1.00 | 0.546 |
| 18–24 month | |||||
| Weight SDS score | 56 | 0.24 ± 0.85 | 60 | 0.09 ± 0.95 | 0.373 |
| Height SDS score | 55 | −0.15 ± 0.93 | 60 | 0.15 ± 1.04 | 0.993 |
| 36–48 month | |||||
| Weight SDS score | 36 | 0.11 ± 0.74 | 39 | 0.14 ± 0.91 | 0.900 |
| Height SDS score | 37 | −0.17 ± 0.79 | 38 | −0.19 ± 0.94 | 0.952 |
Disclaimer/Publisher’s Note: The statements, opinions and data contained in all publications are solely those of the individual author(s) and contributor(s) and not of MDPI and/or the editor(s). MDPI and/or the editor(s) disclaim responsibility for any injury to people or property resulting from any ideas, methods, instructions or products referred to in the content. |
© 2025 by the authors. Licensee MDPI, Basel, Switzerland. This article is an open access article distributed under the terms and conditions of the Creative Commons Attribution (CC BY) license (https://creativecommons.org/licenses/by/4.0/).
Share and Cite
Fukunaga, H.; Yamaguchi, T.; Iwata, H.; Ikeda, A. Cord Blood Mitochondrial DNA Copy Number and Physical Growth in Infancy and Toddlerhood: A Birth Cohort Analysis. Children 2025, 12, 1369. https://doi.org/10.3390/children12101369
Fukunaga H, Yamaguchi T, Iwata H, Ikeda A. Cord Blood Mitochondrial DNA Copy Number and Physical Growth in Infancy and Toddlerhood: A Birth Cohort Analysis. Children. 2025; 12(10):1369. https://doi.org/10.3390/children12101369
Chicago/Turabian StyleFukunaga, Hisanori, Takeshi Yamaguchi, Hiroyoshi Iwata, and Atsuko Ikeda. 2025. "Cord Blood Mitochondrial DNA Copy Number and Physical Growth in Infancy and Toddlerhood: A Birth Cohort Analysis" Children 12, no. 10: 1369. https://doi.org/10.3390/children12101369
APA StyleFukunaga, H., Yamaguchi, T., Iwata, H., & Ikeda, A. (2025). Cord Blood Mitochondrial DNA Copy Number and Physical Growth in Infancy and Toddlerhood: A Birth Cohort Analysis. Children, 12(10), 1369. https://doi.org/10.3390/children12101369

