Comparison between the Clancy Behavior Scale and the Modified Checklist for Autism in Toddlers in Taiwan
Abstract
1. Introduction
- (1)
- What differentiates toddlers with ASD from those with DD according to their performances on the CBS and M-CHAT? In addition, are there any differences between the full and short forms of these two screening tools?
- (2)
- How do the CBS and M-CHAT perform in terms of sensitivity and specificity in screening for ASD?
- (3)
- What is the accuracy of the CBS and M-CHAT in detecting ASD in toddlers prior to 30 months of age, and how do they compare?
2. Materials and Methods
2.1. Participants
2.2. Procedures
2.3. Measures
2.3.1. Clancy Behavior Scale (CBS) [21,24]
2.3.2. Modified Checklist for Autism in Toddlers [22,25]
2.3.3. Mullen Scales of Early Learning (MSEL) [28]
2.3.4. Autism Diagnostic Observation Schedule (ADOS) [29]
2.4. Statistical Analyses
3. Results
4. Discussion
Limitations
5. Conclusions
Author Contributions
Funding
Institutional Review Board Statement
Informed Consent Statement
Data Availability Statement
Conflicts of Interest
References
- American Psychiatric Association. Diagnostic and Statistical Manual of Mental Disorders, 5th ed.; Text Revision; American Psychiatric Association: Washington, DC, USA, 2023. [Google Scholar]
- Fuller, E.A.; Oliver, K.; Vejnoska, S.F.; Rogers, S.J. The effects of the Early Start Denver Model for children with autism spectrum disorder: A meta-analysis. Brain Sci. 2020, 10, 368. [Google Scholar] [CrossRef] [PubMed]
- Gabbay-Dizdar, N.; Ilan, M.; Meiri, G.; Faroy, M.; Michaelovski, A.; Flusser, H.; Menashe, I.; Koller, J.; Zachor, D.A.; Dinstein, I. Early diagnosis of autism in the community is associated with marked improvement in social symptoms within 1–2 years. Autism 2022, 26, 1353–1363. [Google Scholar] [CrossRef] [PubMed]
- Reichow, B.; Barton, E.E.; Boyd, B.A.; Hume, K. Early Intensive Behavioral Intervention (EIBI) for young children with autism spectrum disorders (ASD). Cochrane Database Syst. Rev. 2018, 5, CD009260. [Google Scholar] [CrossRef] [PubMed]
- Rogers, S.J.; Estes, A.; Vismara, L.; Munson, J.; Zierhut, C.; Greenson, J.; Dawson, G.; Rocha, M.; Sugar, C.; Senturk, D. Enhancing low-intensity coaching in parent implemented Early Start Denver Model intervention for early autism: A randomized comparison treatment trial. J. Autism Dev. Disord. 2019, 49, 632–646. [Google Scholar] [CrossRef] [PubMed]
- Bent, C.A.; Dissanayake, C.; Barbaro, J. Mapping the diagnosis of autism spectrum disorders in children aged under 7 years in Australia, 2010–2012. MJA 2015, 202, 317–320. [Google Scholar] [CrossRef] [PubMed]
- Shrestha, R.; Dissanayake, C.; Barbaro, J. Age of diagnosis of autism spectrum disorder in Nepal. J. Autism Dev. Disord. 2019, 49, 2258–2267. [Google Scholar] [CrossRef]
- Guthrie, W.; Wallis, K.; Bennett, A.; Brooks, E.; Dudley, J.; Gerdes, M.; Pandey, J.; Levy, S.E.; Schultz, R.T.; Miller, J.S. Accuracy of autism screening in a large pediatric network. Pediatrics 2019, 144, e20183963. [Google Scholar] [CrossRef] [PubMed]
- Lyall, K.; Croen, L.; Daniels, J.; Fallin, M.D.; Ladd-Acosta, C.; Lee, B.K.; Park, B.Y.; Snyder, N.W.; Schendel, D.; Volk, H.; et al. The changing epidemiology of autism spectrum disorders. Annu. Rev. Public Health 2017, 38, 81–102. [Google Scholar] [CrossRef]
- Maenner, M.J.; Shaw, K.A.; Baio, J.; Washington, A.; Patrick, M.; DiRienzo, M.; Christensen, D.L.; Wiggins, L.D.; Pettygrove, S.; Andrews, J.G.; et al. Prevalence of autism spectrum disorder among children aged 8 years—Autism and developmental disabilities monitoring network, 11 sites, United States, 2016. MMWR Surveill. Summ. 2020, 69, 1–12. [Google Scholar] [CrossRef]
- Maenner, M.J.; Shaw, K.A.; Bakian, A.V.; Bilder, D.A.; Durkin, M.S.; Esler, A.; Furnier, S.M.; Hallas, L.; Hall-Lande, J.; Hudson, A.; et al. Prevalence and characteristics of autism spectrum disorder among children aged 8 years—Autism and developmental disabilities monitoring network, 11 sites, United States, 2018. MMWR Surveill. Summ. 2021, 70, 1–16. [Google Scholar] [CrossRef]
- Hsu, J.W.; Chen, L.C.; Huang, K.L.; Tsai, S.J.; Bai, Y.M.; Su, T. The influence of sex on major psychiatric comorbidities and parental psychiatric disorders in 22,698 children and adolescents with ICD-9-CM-based autism spectrum disorder. Eur. Arch. Psychiatry Clin. Neurosci. 2022, 274, 19–25. [Google Scholar] [CrossRef]
- Lai, D.C.; Tseng, Y.C.; Hou, Y.M.; Guo, H.R. Gender and geographic differences in the prevalence of autism spectrum disorders in children: Analysis of data from the national disability registry of Taiwan. Res. Dev. Disabil. 2012, 33, 909–915. [Google Scholar] [CrossRef] [PubMed]
- Sun, X.; Allison, C.; Matthews, F.E.; Sharp, S.J.; Auyeung, B.; Baron-Cohen, S.; Brayne, C. Prevalence of autism in mainland China, Hong Kong, and Taiwan: A systematic review and meta-analysis. Mol. Autism 2013, 4, 7. [Google Scholar] [CrossRef] [PubMed]
- Wu, C.C.; Chiang, C.H.; Chu, C.L.; Iao, L.S.; Hou, Y.M. T-STAT for detecting autism spectrum disorder in toddlers aged 18–24 months. Autism 2021, 25, 911–920. [Google Scholar] [CrossRef] [PubMed]
- Le Couteur, A.; Lord, C.; Rutter, M. The Autism Diagnostic Interview-Revised (ADI-R); Western Psychological Services: Los Angeles, CA, USA, 2003. [Google Scholar]
- Chen, M.H.; Huang, C.F.; Lin, Y.S.; Chiu, Y.N.; Gau, S.S.F.; Wu, Y.Y. Validation of the Mandarin Chinese version of the Autism Diagnostic Observation Schedule—2 for autism spectrum disorder. Res. Autism Spectr. Disord. 2023, 105, 102184. [Google Scholar] [CrossRef]
- Stone, W.L.; Coonrod, E.E.; Turner, L.M.; Pozdol, S.L. Psychometric properties of the STAT for early autism screening. J. Autism Dev. Disord. 2004, 34, 691–701. [Google Scholar] [CrossRef] [PubMed]
- Wu, C.C.; Chu, C.L.; Stewart, L.; Chiang, C.H.; Hou, Y.M.; Liu, J.H. The utility of the screening tool for autism in 2-year-olds in detecting autism in Taiwanese toddlers who are less than 24 months of age: A longitudinal study. J. Autism Dev. Disord. 2020, 50, 1172–1181. [Google Scholar] [CrossRef] [PubMed]
- Chiang, C.H.; Wu, C.C.; Hou, Y.M.; Chu, C.L.; Liu, J.H.; Soong, W.T. Development of T-STAT for early autism screening. J. Autism Dev. Disord. 2013, 43, 1028–1037. [Google Scholar] [CrossRef]
- Sun, X.; Allison, C.; Auyeung, B.; Matthews, F.E.; Zhang, Z.; Baron-Cohen, S.; Brayne, C. Comparison between a Mandarin Chinese version of the Childhood Autism Spectrum Test and the Clancy Autism Behaviour Scale in mainland China. Res. Dev. Disabil. 2014, 35, 1599–1608. [Google Scholar] [CrossRef]
- Robins, D.L.; Fein, D.; Barton, M.L.; Green, J.A. The Modified Checklist for Autism in Toddlers: An initial study investigating the early detection of autism and pervasive developmental disorders. J. Autism Dev. Disord. 2001, 31, 131–144. [Google Scholar] [CrossRef]
- Hsieh, C.F.; Soong, W.T.; Hsu, C.C. Autism: The validity of Clancy Behavior Scale. Bull. Chin. Soc. Neurol. Psychiatry 1983, 9, 17–27. [Google Scholar]
- Wu, C.C.; Chu, C.L.; Hou, Y.M.; Yao, S.F. Validity of the Clancy Behavior Scale for detecting autism spectrum disorders in children younger than 4 years old. Formosa J. Mental Health 2014, 27, 131–161. [Google Scholar]
- Wong, Y.S.; Yang, C.C.; Stewart, L.; Chiang, C.H.; Wu, C.C.; Iao, L.S. Use of the Chinese version Modified Checklist or Autism in Toddlers in a high-risk sample in Taiwan. Res. Autism Spectr. Disord. 2018, 49, 56–64. [Google Scholar] [CrossRef]
- Stewart, L.A.; Lee, L.C. Screening for autism spectrum disorder in low-and middle-income countries: A systematic review. Autism 2017, 21, 527–539. [Google Scholar] [CrossRef] [PubMed]
- Tsai, J.M.; Lu, L.; Jeng, S.F.; Cheong, P.L.; Gau, S.S.F.; Huang, Y.H.; Wu, Y.T. Validation of the Modified Checklist for Autism in Toddlers, Revised with Follow-up in Taiwanese toddlers. Res. Dev. Disabil. 2019, 85, 205–216. [Google Scholar] [CrossRef]
- Mullen, E.M. Mullen Scales of Early Learning (AGS Ed.); American Guidance Services: Circle Pines, MN, USA, 1995. [Google Scholar]
- Lord, C.; Rutter, M.; DiLavore, P.C.; Risi, S. Autism Diagnostic Observation Schedule (ADOS); Western Psychological Services: Los Angeles, CA, USA, 1999. [Google Scholar]
- Cheong, P.L.; Tsai, J.M.; Wu, Y.T.; Lu, L.; Chiu, Y.L.; Shen, Y.T.; Li, Y.J.; Tsao, C.H.; Wang, Y.C.; Chang, F.M.; et al. Cultural adaptation and validation of Mullen Scales of Early Learning in Taiwanese children with autism spectrum disorder, global developmental delay, and typically developing children. Res. Dev. Disabil. 2022, 122, 104158. [Google Scholar] [CrossRef]
- Gau, S.S.F.; Lee, C.M.; Lai, M.C.; Chiu, Y.N.; Huang, Y.F.; Kao, J.D.; Wu, Y.Y. Psychometric properties of the Chinese version of the Social Communication Questionnaire. Res. Autism Spectr. Disord. 2011, 5, 809–818. [Google Scholar] [CrossRef]
- Hsu, Y.H.; Chen, C.W.; Lin, Y.J.; Li, C.Y. Urban–rural disparity in the incidence of diagnosed autism spectrum disorder in Taiwan: A 10-year national birth cohort follow-up study. J. Autism Dev. Disord. 2023, 53, 2127–2137. [Google Scholar] [CrossRef]
- Snow, A.V.; Lecavalier, L. Sensitivity and specificity of the Modified Checklist for Autism in Toddlers and the Social Communication Questionnaire in preschoolers suspected of having pervasive developmental disorders. Autism 2008, 12, 627–644. [Google Scholar] [CrossRef]
- Guo, C.; Luo, M.; Wang, X.; Huang, S.; Meng, Z.; Shao, J.; Zhang, X.; Shao, Z.; Wu, J.; Robins, D.L.; et al. Reliability and validity of the Chinese Version of Modified Checklist for Autism in Toddlers, Revised, with Follow-up (M-CHAT-R/F). J. Autism Dev. Disord. 2019, 49, 185–196. [Google Scholar] [CrossRef]
- Kim, S.; Lord, C. Combining information from multiple sources for the diagnosis of autism spectrum disorders for toddlers and young preschoolers from 12 to 47 months of age. J. Child Psychol. Psychiatry 2012, 53, 143–151. [Google Scholar] [CrossRef] [PubMed]
- Lung, F.W.; Chiang, T.L.; Lin, S.J.; Shu, B.C. Urban and education disparity for autism spectrum disorders in Taiwan birth cohort study. J. Autism Dev. Disord. 2017, 47, 599–606. [Google Scholar] [CrossRef] [PubMed]
- Miller, L.E.; Dai, Y.G.; Fein, D.A.; Robins, D.L. Characteristics of toddlers with early versus later diagnosis of autism spectrum disorder. Autism 2021, 25, 416–428. [Google Scholar] [CrossRef]
- Ozonoff, S.; Young, G.S.; Landa, R.J.; Brian, J.; Bryson, S.; Charman, T.; Chawarska, K.; Macari, S.L.; Messinger, D.; Stone, W.L.; et al. Diagnostic stability in young children at risk for autism spectrum disorder: A baby siblings research consortium study. J. Child Psychol. Psychiatry 2015, 56, 988–998. [Google Scholar] [CrossRef]
- Ozonoff, S.; Young, G.S.; Brian, J.; Charman, T.; Shephard, E.; Solish, A.; Zwaigenbaum, L. Diagnosis of autism spectrum disorder after age 5 in children evaluated longitudinally since infancy. J. Am. Acad. Child Adolesc. Psychiatry 2018, 57, 849–857.e2. [Google Scholar] [CrossRef] [PubMed]
- Dawson, G. Early behavioral intervention, brain plasticity, and the prevention of autism spectrum disorder. Dev. Psychopathol. 2008, 20, 775–803. [Google Scholar] [CrossRef]

| Variable | ASD (n = 117) | DD (n = 98) | p |
|---|---|---|---|
| CA (months) | |||
| Mean (SD) | 24.78 (2.99) | 22.79 (3.26) | <0.001 |
| MAs (months) | |||
| Mean (SD) | 14.75 (3.85) | 17.80 (3.82) | <0.001 |
| ADOS total scores | |||
| Mean (SD) | 18.03 (2.72) | 3.54 (1.95) | <0.001 |
| Gender Ratio | |||
| Male: Female | 104:13 | 69:29 | 0.001 |
| Mother’s education level | |||
| Senior high or lower | 40 | 36 | 0.864 |
| College | 64 | 50 | |
| Postgraduate | 13 | 12 | |
| Father’s education level | |||
| Senior high or lower | 38 | 47 | 0.056 |
| College | 63 | 41 | |
| Postgraduate | 16 | 9 | |
| Missing | 0 | 1 |
| ADOS | |||
|---|---|---|---|
| COM | SOC | COMSOC | |
| CBS:Full items | 0.46 *** | 0.51 *** | 0.51 *** |
| CBS:9 critical items | 0.53 *** | 0.60 *** | 0.59 *** |
| M-CHAT:Full items | 0.51 *** | 0.58 *** | 0.57 *** |
| M-CHAT:14 brief items | 0.54 *** | 0.61 *** | 0.60 *** |
| ASD (n = 117) | DD (n = 98) | p | |
|---|---|---|---|
| CBS:Full items | |||
| Mean (SD) | 14.35 (4.45) | 9.26 (4.30) | <0.001 |
| CBS:9 critical items | |||
| Mean (SD) | 8.84 (3.29) | 4.45 (2.97) | <0.001 |
| M-CHAT:Full items | |||
| Mean (SD) | 6.53 (4.04) | 2.49 (2.17) | <0.001 |
| M-CHAT:14 brief items | |||
| Mean (SD) | 5.16 (3.59) | 1.38 (1.46) | <0.001 |
| ASD (n = 117) | DD (n = 98) | p | |
|---|---|---|---|
| CBS:Full items | |||
| Mean (SD) | 14.35 (0.42) | 9.26 (0.46) | <0.001 |
| CBS:9 critical items | |||
| Mean (SD) | 8.78 (0.30) | 4.51 (0.33) | <0.001 |
| M-CHAT:Full items | |||
| Mean (SD) | 6.22 (0.31) | 2.86 (0.34) | <0.001 |
| M-CHAT:14 brief items | |||
| Mean (SD) | 4.86 (0.26) | 1.74 (0.29) | <0.001 |
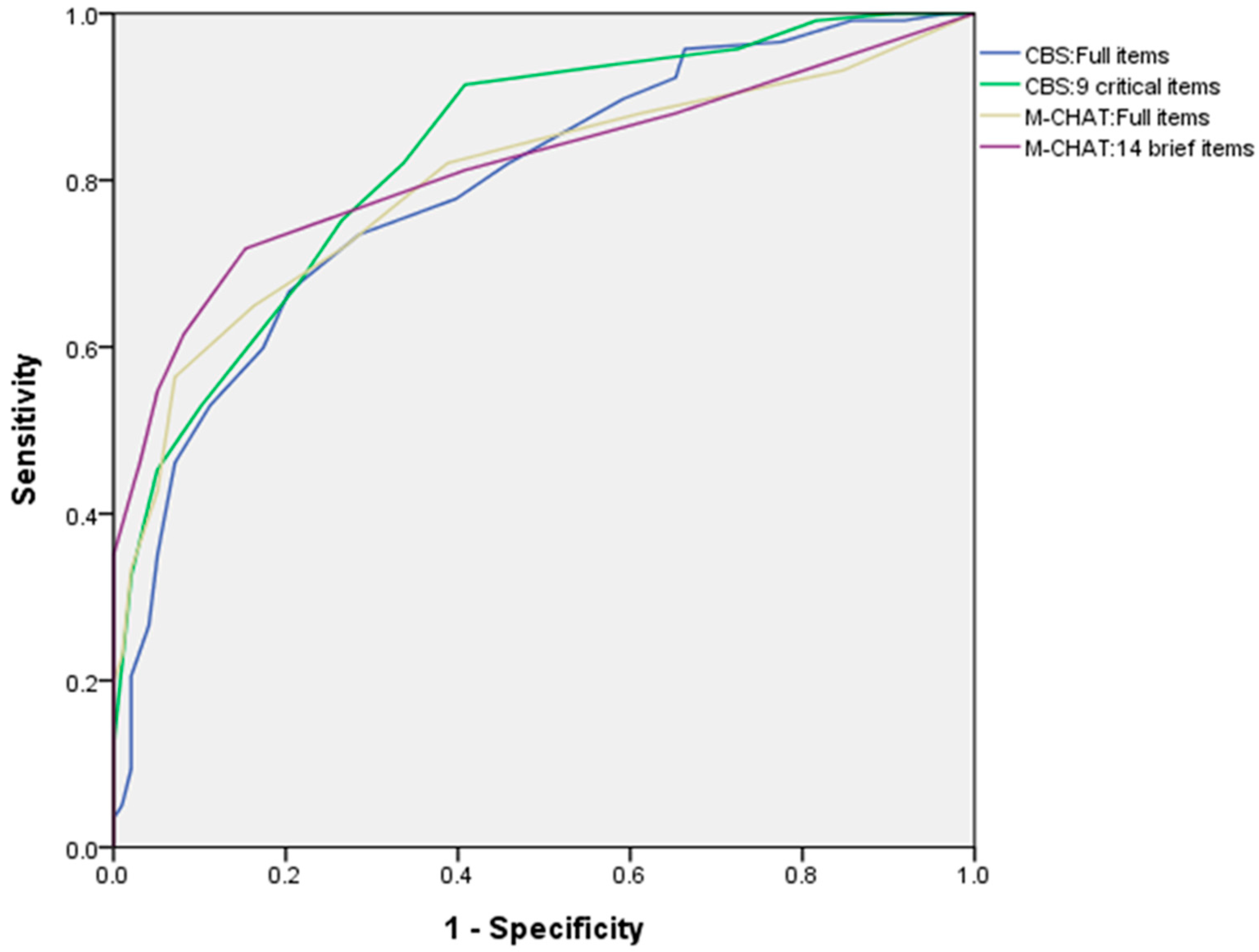
| Screening Tools | Cutoff | Sensitivity | Specificity | AUC |
|---|---|---|---|---|
| CBS:Full item | 12 | 86/117 (0.74) | 70/98 (0.71) | 0.792 |
| CBS:9 critical item | 7 | 88/117 (0.75) | 72/98 (0.74) | 0.833 |
| M-CHAT:Full items | 4 | 84/117 (0.72) | 72/98 (0.74) | 0.798 |
| M-CHAT:14 brief items | 3 | 84/117 (0.72) | 83/98 (0.85) | 0.817 |
| Full Form | ASD (n = 117) | DD (n = 98) |
|---|---|---|
| CBS (P) & M-CHAT(P) | 67 (57.3%) | 8 (8.2%) |
| CBS (P) & M-CHAT (N) | 19 (16.2%) | 20 (20.4%) |
| CBS (N) & M-CHAT (P) | 17 (14.5%) | 18 (18.4%) |
| CBS (N) & M-CHAT (N) | 14 (12.0%) | 52 (53.1%) |
| Short Form | ||
| CBS (P) & M-CHAT(P) | 68 (58.1%) | 5 (5.1%) |
| CBS (P) & M-CHAT (N) | 20 (17.1%) | 21 (21.4%) |
| CBS (N) & M-CHAT (P) | 16 (13.7%) | 10 (10.2%) |
| CBS (N) & M-CHAT (N) | 13 (11.1%) | 62 (63.3%) |
Disclaimer/Publisher’s Note: The statements, opinions and data contained in all publications are solely those of the individual author(s) and contributor(s) and not of MDPI and/or the editor(s). MDPI and/or the editor(s) disclaim responsibility for any injury to people or property resulting from any ideas, methods, instructions or products referred to in the content. |
© 2024 by the authors. Licensee MDPI, Basel, Switzerland. This article is an open access article distributed under the terms and conditions of the Creative Commons Attribution (CC BY) license (https://creativecommons.org/licenses/by/4.0/).
Share and Cite
Chu, C.-L.; Su, W.-S.; Iao, L.-S.; Wu, C.-C.; Hou, Y.-M. Comparison between the Clancy Behavior Scale and the Modified Checklist for Autism in Toddlers in Taiwan. Children 2024, 11, 557. https://doi.org/10.3390/children11050557
Chu C-L, Su W-S, Iao L-S, Wu C-C, Hou Y-M. Comparison between the Clancy Behavior Scale and the Modified Checklist for Autism in Toddlers in Taiwan. Children. 2024; 11(5):557. https://doi.org/10.3390/children11050557
Chicago/Turabian StyleChu, Ching-Lin, Wen-So Su, Lai-Sang Iao, Chin-Chin Wu, and Yuh-Ming Hou. 2024. "Comparison between the Clancy Behavior Scale and the Modified Checklist for Autism in Toddlers in Taiwan" Children 11, no. 5: 557. https://doi.org/10.3390/children11050557
APA StyleChu, C.-L., Su, W.-S., Iao, L.-S., Wu, C.-C., & Hou, Y.-M. (2024). Comparison between the Clancy Behavior Scale and the Modified Checklist for Autism in Toddlers in Taiwan. Children, 11(5), 557. https://doi.org/10.3390/children11050557

