The Contribution of Sustained Attention and Response Inhibition to Reading Comprehension Among Japanese Adolescents
Abstract
1. Introduction
1.1. Background
1.2. The Current Study
2. Materials and Methods
2.1. Participants
2.2. Assessment Tools
2.3. Procedure
2.4. Outliers and Data Analysis
3. Results
4. Discussion
Author Contributions
Funding
Institutional Review Board Statement
Informed Consent Statement
Data Availability Statement
Acknowledgments
Conflicts of Interest
References
- Schleicher, A. Measuring Student Knowledge and Skills: A New Framework for Assessment; Organisation for Economic Co-Operation and Development: Paris, France, 1999. [Google Scholar]
- Arrington, C.N.; Kulesz, P.A.; Francis, D.J.; Fletcher, J.M.; Barnes, M.A. The Contribution of Attentional Control and Working Memory to Reading Comprehension and Decoding. Sci. Stud. Read. 2014, 18, 325–346. [Google Scholar] [CrossRef] [PubMed]
- Kibby, M.Y.; Lee, S.E.; Dyer, S.M. Reading Performance Is Predicted by More than Phonological Processing. Front. Psychol. 2014, 5, 960. [Google Scholar] [CrossRef] [PubMed]
- Shaywitz, S.E.; Shaywitz, B.A. Paying Attention to Reading: The Neurobiology of Reading and Dyslexia. Dev. Psychopathol. 2008, 20, 1329–1349. [Google Scholar] [CrossRef] [PubMed]
- Stern, P.; Shalev, L. The Role of Sustained Attention and Display Medium in Reading Comprehension among Adolescents with ADHD and without It. Res. Dev. Disabil. 2013, 34, 431–439. [Google Scholar] [CrossRef] [PubMed]
- Cole, A.M.; Chan, E.S.M.; Gaye, F.; Spiegel, J.A.; Soto, E.F.; Kofler, M.J. Evaluating the Simple View of Reading for Children with Attention-Deficit/Hyperactivity Disorder. J. Educ. Psychol. 2023, 115, 700–714. [Google Scholar] [CrossRef]
- Kim, Y.S.G. Why the Simple View of Reading Is Not Simplistic: Unpacking Component Skills of Reading Using a Direct and Indirect Effect Model of Reading (DIER). Sci. Stud. Read. 2017, 21, 310–333. [Google Scholar] [CrossRef]
- Cartwright, K.B.; Lee, S.A.; Taboada Barber, A.; DeWyngaert, L.U.; Lane, A.B.; Singleton, T. Contributions of Executive Function and Cognitive Intrinsic Motivation to University Students’ Reading Comprehension. Read. Res. Q. 2020, 55, 345–369. [Google Scholar] [CrossRef]
- Duke, N.K.; Cartwright, K.B. The Science of Reading Progresses: Communicating Advances Beyond the Simple View of Reading. Read. Res. Q. 2021, 56, S25–S44. [Google Scholar] [CrossRef]
- McVay, J.C.; Kane, M.J. Why Does Working Memory Capacity Predict Variation in Reading Comprehension? On the Influence of Mind Wandering and Executive Attention. J. Exp. Psychol. Gen. 2012, 141, 302–320. [Google Scholar] [CrossRef]
- Melby-Lervåg, M.; Lervåg, A. Cross-Linguistic Transfer of Oral Language, Decoding, Phonological Awareness and Reading Comprehension: A Meta-Analysis of the Correlational Evidence. J. Res. Read. 2011, 34, 114–135. [Google Scholar] [CrossRef]
- Schmitt, N.; Jiang, X.; Grabe, W. The Percentage of Words Known in a Text and Reading Comprehension. Mod. Lang. J. 2011, 95, 26–43. [Google Scholar] [CrossRef]
- Van Gelderen, A.; Schoonen, R.; De Glopper, K.; Hulstijn, J.; Simis, A.; Snellings, P.; Stevenson, M. Linguistic Knowledge, Processing Speed, and Metacognitive Knowledge in First- and Second-Language Reading Comprehension: A Componential Analysis. J. Educ. Psychol. 2004, 96, 19–30. [Google Scholar] [CrossRef]
- Uno, A.; Wydell, T.N.; Haruhara, N.; Kaneko, M.; Shinya, N. Relationship between Reading/Writing Skills and Cognitive Abilities among Japanese Primary-School Children: Normal Readers versus Poor Readers (Dyslexics). Read. Writ. 2009, 22, 755–789. [Google Scholar] [CrossRef]
- Shalev, L.; Ben-simon, A.; Mevorach, C.; Cohen, Y.; Tsal, Y. Conjunctive Continuous Performance Task (CCPT)—A Pure Measure of Sustained Attention. Neuropsychologia 2011, 49, 2584–2591. [Google Scholar] [CrossRef] [PubMed]
- Silva-Pereyra, J.; Bernal, J.; Rodríguez-Camacho, M.; Yáñez, G.; Prieto-Corona, B.; Luviano, L.; Hernández, M.; Marosi, E.; Guerrero, V.; Rodríguez, H. Poor Reading Skills May Involve a Failure to Focus Attention. Neuroreport 2010, 21, 34–38. [Google Scholar] [CrossRef]
- Friedman, N.P.; Miyake, A. The Relations among Inhibition and Interference Control Functions: A Latent-Variable Analysis. J. Exp. Psychol. Gen. 2004, 133, 101–135. [Google Scholar] [CrossRef]
- Georgiou, G.K.; Wei, W.; Inoue, T.; Das, J.P.; Deng, C. Cultural Influences on the Relation between Executive Functions and Academic Achievement. Read. Writ. 2020, 33, 991–1013. [Google Scholar] [CrossRef]
- Liu, Y.; Sun, H.; Lin, D.; Li, H.; Yeung, S.S.; Wong, T.T.Y. The Unique Role of Executive Function Skills in Predicting Hong Kong Kindergarteners’ Reading Comprehension. Br. J. Educ. Psychol. 2018, 88, 628–644. [Google Scholar] [CrossRef]
- Chung, K.K.H.; McBride-Chang, C. Executive Functioning Skills Uniquely Predict Chinese Word Reading. J. Educ. Psychol. 2011, 103, 909–921. [Google Scholar] [CrossRef]
- Peng, P.; Sha, T.; Li, B. The Deficit Profile of Working Memory, Inhibition, and Updating in Chinese Children with Reading Difficulties. Learn. Individ. Differ. 2013, 25, 111–117. [Google Scholar] [CrossRef]
- Trauzettel-Klosinski, S.; Dietz, K.; IReST Study Group. Standardized Assessment of Reading Performance: The New International Reading Speed Texts IReST. Investig. Ophthalmol. Vis. Sci. 2012, 53, 5452–5461. [Google Scholar] [CrossRef] [PubMed]
- Lan, X.; Legare, C.H.; Ponitz, C.C.; Li, S.; Morrison, F.J. Investigating the Links between the Subcomponents of Executive Function and Academic Achievement: A Cross-Cultural Analysis of Chinese and American Preschoolers. J. Exp. Child Psychol. 2011, 108, 677–692. [Google Scholar] [CrossRef] [PubMed]
- Efrat, B.; Orna, T. Sex Differences in the Sustained Attention of Elementary School Children. BMC Psychol. 2022, 10, 307. [Google Scholar] [CrossRef] [PubMed]
- Sussman, J.; Tasso, A.F. The Mesulam Continuous Performance Test (M-CPT): Age-Related and Gender Differences in the Sustained Attention of Elementary School Children. New School Psychol. Bull. 2013, 10, 1. [Google Scholar]
- Chan, R.C.K. A Further Study on the Sustained Attention Response to Task (SART): The Effect of Age, Gender and Education. Brain Inj. 2001, 15, 819–829. [Google Scholar] [CrossRef]
- Kertzman, S.; Fluhr, A.; Vainder, M.; Weizman, A.; Dannon, P.N. The Role of Gender in Association between Inhibition Capacities and Risky Decision Making. Psychol. Res. Behav. Manag. 2018, 11, 503–510. [Google Scholar] [CrossRef]
- Gaillard, A.; Fehring, D.J.; Rossell, S.L. A Systematic Review and Meta-Analysis of Behavioural Sex Differences in Executive Control. Eur. J. Neurosci. 2021, 53, 519–542. [Google Scholar] [CrossRef]
- Rosenberg-Kima, R.B.; Sadeh, A. Attention, Response Inhibition, and Face-Information Processing in Children: The Role of Task Characteristics, Age, and Gender. Child Neuropsychol. 2010, 16, 388–404. [Google Scholar] [CrossRef]
- Eriksson, L.J.K.; Sundin, Ö.; Jansson, B. Exploring Response Inhibition, the Behavioral Inhibition System and Possible Sex Differences in Athletes and Non-Athletes. Int. J. Environ. Res. Public Health 2023, 20, 6340. [Google Scholar] [CrossRef]
- Shamir, T. Is It Possible to Assess Sustained Attention Using a Tablet? Convergent Validity of a New Tablet Version of the Conjunctive Continuous Performance Task (CCPT). Master’s Thesis, Tel-Aviv University, Tel Aviv, Israel, 2017. [Google Scholar]
- Schneider, S.L. The International Standard Classification of Education 2011; Emerald Group Publishing Limited: Bingley, UK, 2013; Volume 30. [Google Scholar] [CrossRef]
- Ben-Yehudah, G.; Brann, A. Pay Attention to Digital Text: The Impact of the Media on Text Comprehension and Self-Monitoring in Higher-Education Students with ADHD. Res. Dev. Disabil. 2019, 89, 120–129. [Google Scholar] [CrossRef]
- Segal, D.; Mashal, N.; Shalev, L. Semantic Conflicts Are Resolved Differently by Adults with and without ADHD. Res. Dev. Disabil. 2015, 47, 416–429. [Google Scholar] [CrossRef] [PubMed]
- Shalev, L.; Kolodny, T.; Shalev, N.; Mevorach, C. Attention Functioning among Adolescents with Multiple Learning, Attentional, Behavioral, and Emotional Difficulties. J. Learn. Disabil. 2016, 49, 582–596. [Google Scholar] [CrossRef] [PubMed]
- Tsal, Y.; Shalev, L.; Mevorach, C. The Diversity of Attention Deficits in ADHD: The Prevalence of Four Cognitive Factors in ADHD versus Controls. J. Learn. Disabil. 2005, 38, 142–157. [Google Scholar] [CrossRef] [PubMed]
- Evans, K.L.; Hampson, E. Sex Differences on Prefrontally-Dependent Cognitive Tasks. Brain Cogn. 2015, 93, 42–53. [Google Scholar] [CrossRef] [PubMed]
- Mansouri, F.A.; Fehring, D.J.; Gaillard, A.; Jaberzadeh, S.; Parkington, H. Sex Dependency of Inhibitory Control Functions. Biol. Sex Differ. 2016, 7, 11. [Google Scholar] [CrossRef]
- Steinberg, D.D.; Oka, N. Learning to Read Kanji is Easier than Learning Individual Kana. Jpn. J. Psychol. 1978, 49, 15–21. [Google Scholar] [CrossRef][Green Version]



| Measure | Mean | SD | Median | IQR | Skewness | Kurtosis |
|---|---|---|---|---|---|---|
| Reading Comprehension Score | 65.5 | 11.37 | 66 | 16 | 0.49 | −0.23 |
| CCPT—M-RT (ms) | 400 | 39 | 400 | 57.1 | 0.18 | −0.72 |
| CCPT—SD-RT (ms) | 80 | 22 | 77 | 25.0 | 1.27 | 2.05 |
| CCPT—Omission errors (rate) | 0.013 | 0.021 | 0.01 | 0.021 | 2.23 | 5.00 |
| CCPT—Commission errors (rate) | 0.044 | 0.052 | 0.027 | 0.04 | 2.76 | 8.50 |
| Variable | 1. | 2. | 3. | 4. | 5. |
|---|---|---|---|---|---|
| 1. Reading Comprehension Score | — | ||||
| 2. CCPT—Omission errors rate | −0.337 ** | — | |||
| 3. CCPT—Commission errors rate | −0.333 ** | 0.165 | — | ||
| 4. CCPT—M-RT | −0.118 | 0.159 | −0.278 * | — | |
| 4. CCPT—SD-RT | −0.275 * | 0.428 *** | 0.109 | 0.34 ** | — |
| B | Std. Error | Beta | t | p-Value | |
|---|---|---|---|---|---|
| Constant | 67.927 | 1.499 | 45.325 | <0.001 | |
| Omission errors | −182.481 | 60.560 | −0.337 | −3.013 | 0.004 |
| R2 | 0.113 | ||||
| Constant | 70.289 | 1.699 | 41.366 | <0.001 | |
| Omission errors | −158.995 | 58.890 | −0.293 | −2.7 | 0.009 |
| Commission errors | −62.446 | 23.834 | −0.285 | −2.62 | 0.011 |
| R2 | 0.193 |
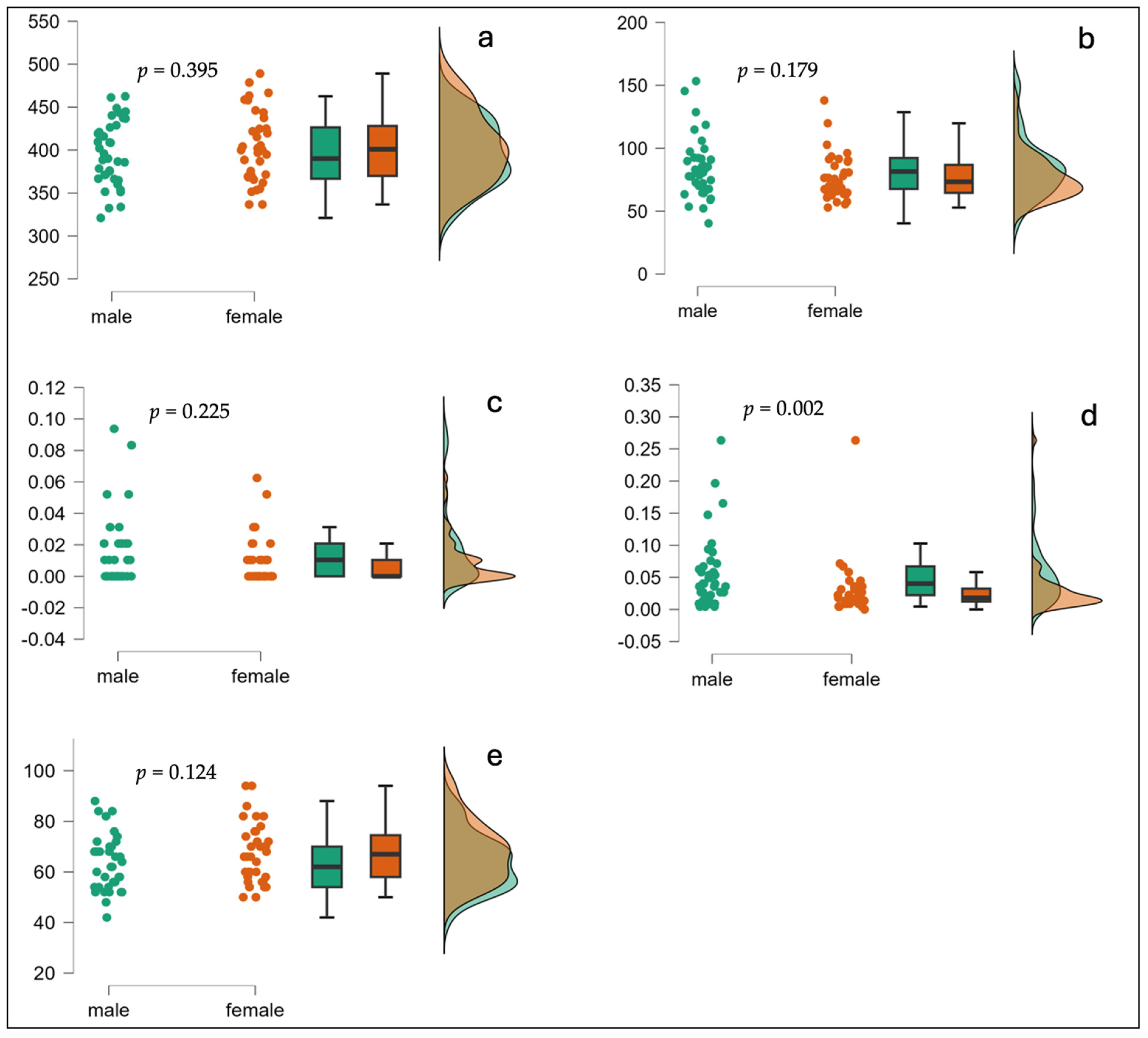
| Variable | Boys (n = 37) | Girls (n = 36) | t(71) | p | Cohen’s d | ||
|---|---|---|---|---|---|---|---|
| Mean | SD | Mean | SD | ||||
| Reading Comprehension Score | 63.46 | 10.90 | 67.56 | 11.57 | 1.57 | 0.124 | 0.36 |
| CCPT—M-RT (ms) | 396 | 38 | 404 | 40 | 0.856 | 0.395 | 0.2 |
| CCPT—SD-RT (ms) | 83 | 23 | 76 | 18 | 1.356 | 0.179 | 0.318 |
| Variable | Boys (n = 37) | Girls (n = 36) | U(Z) | p | |||
| Median | Median | ||||||
| CCPT—Omission Errors (rate) | 0.014 | 0.007 | 570 (1.138) | 0.255 | |||
| CCPT—Commission Errors (rate) | 0.04 | 0.018 | 392.5 (3.025) | 0.002 | |||
Disclaimer/Publisher’s Note: The statements, opinions and data contained in all publications are solely those of the individual author(s) and contributor(s) and not of MDPI and/or the editor(s). MDPI and/or the editor(s) disclaim responsibility for any injury to people or property resulting from any ideas, methods, instructions or products referred to in the content. |
© 2024 by the authors. Licensee MDPI, Basel, Switzerland. This article is an open access article distributed under the terms and conditions of the Creative Commons Attribution (CC BY) license (https://creativecommons.org/licenses/by/4.0/).
Share and Cite
Trinczer, I.L.; Dankner, Y.; Frances-Israeli, S.; Okamoto, Y.A.; Clark, D.; Shalev, L. The Contribution of Sustained Attention and Response Inhibition to Reading Comprehension Among Japanese Adolescents. Children 2024, 11, 1245. https://doi.org/10.3390/children11101245
Trinczer IL, Dankner Y, Frances-Israeli S, Okamoto YA, Clark D, Shalev L. The Contribution of Sustained Attention and Response Inhibition to Reading Comprehension Among Japanese Adolescents. Children. 2024; 11(10):1245. https://doi.org/10.3390/children11101245
Chicago/Turabian StyleTrinczer, Inbar Lucia, Yarden Dankner, Shira Frances-Israeli, Yoshi A. Okamoto, Dav Clark, and Lilach Shalev. 2024. "The Contribution of Sustained Attention and Response Inhibition to Reading Comprehension Among Japanese Adolescents" Children 11, no. 10: 1245. https://doi.org/10.3390/children11101245
APA StyleTrinczer, I. L., Dankner, Y., Frances-Israeli, S., Okamoto, Y. A., Clark, D., & Shalev, L. (2024). The Contribution of Sustained Attention and Response Inhibition to Reading Comprehension Among Japanese Adolescents. Children, 11(10), 1245. https://doi.org/10.3390/children11101245

