A Feasibility Study of a Music Enrichment Program on Relative Reinforcing Value of Food and Home Environmental Enrichment among Families of Low Socioeconomic Status
Abstract
1. Introduction
2. Methods
2.1. Participants
Socioeconomic Status (SES)
2.2. Study Design
2.3. Procedures
2.4. Intervention
2.4.1. Music Enrichment Program
2.4.2. Play Date Control Program
2.4.3. Treatment Fidelity
2.5. Measures
2.5.1. Relative Reinforcing Value of Food (RRV) Task
2.5.2. Home Environmental Enrichment
Home Language Environment
Music @ Home Questionnaire
2.5.3. Parent Satisfaction Questionnaire
2.6. Data Analysis
3. Results
3.1. Recruitment, Enrollment, and Randomization
3.2. Attendance and Retention Rates
3.3. Relative Reinforcing Value of Food
3.4. Home Environmental Enrichment Measures
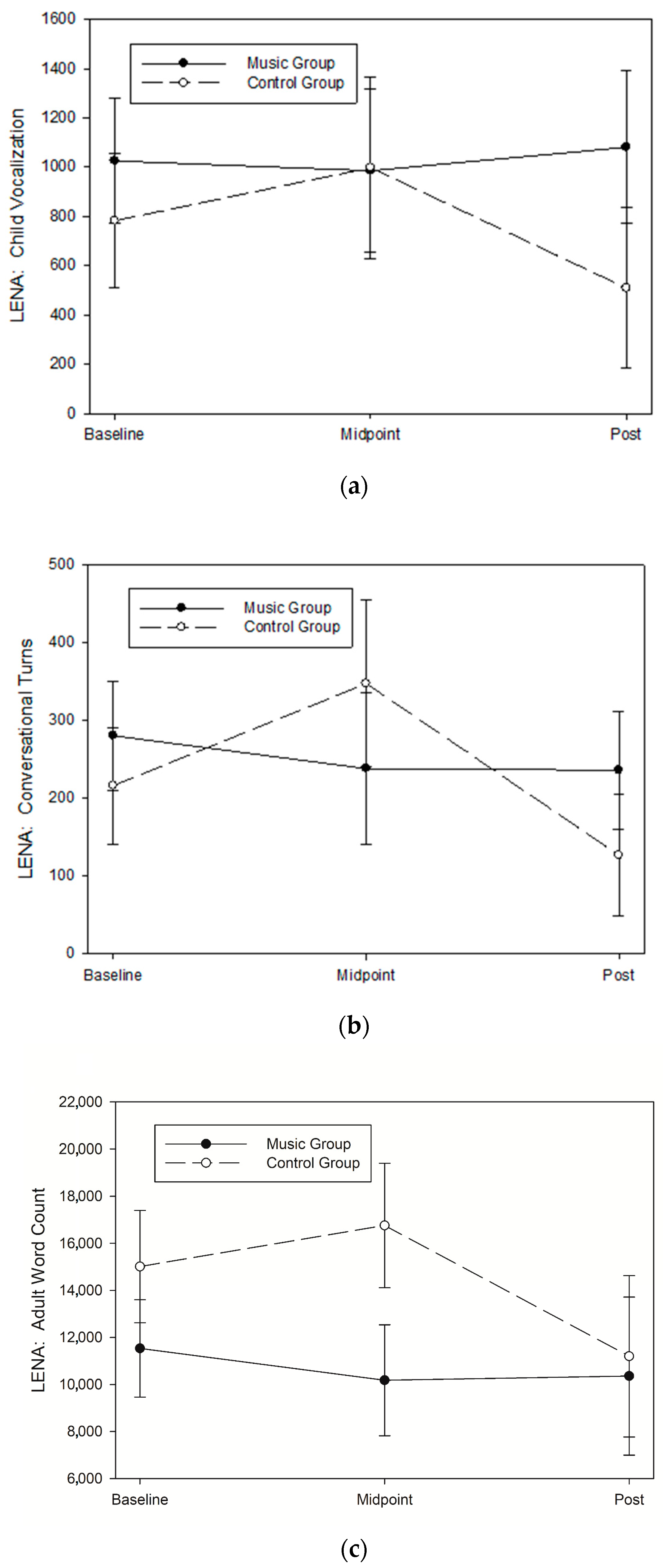
3.4.1. Home Language Environment Using LENA
Child Vocalizations (CV)
Conversational Turns (CT)
Adult Word Count (AWC)
3.4.2. Music @ Home Questionnaire
3.5. Parent Satisfaction Questionnaire
4. Discussion
4.1. Intervention Effectiveness
4.2. Implementation Data-Feasibility and Acceptability
4.3. Limitations
4.4. Conclusions/Future Directions
Author Contributions
Funding
Institutional Review Board Statement
Informed Consent Statement
Data Availability Statement
Acknowledgments
Conflicts of Interest
Appendix A
| Music Group | Control Group | |||||||||||||
|---|---|---|---|---|---|---|---|---|---|---|---|---|---|---|
| Baseline | Post | Baseline | Post | |||||||||||
| t | p-Value | Cohen’s f | Mean | SEM | Mean | SEM | t | p-Value | Cohen’s f | Mean | SEM | Mean | SEM | |
| Proximal obesity measure | ||||||||||||||
| RRVfood | 0.490 | 0.631 | 0.101 | 0.496 | 0.062 | 0.535 | 0.079 | 3.100 | 0.008 | 0.631 | 0.400 | 0.062 | 0.647 | 0.080 |
| LENA | ||||||||||||||
| child vocalization | −0.420 | 0.679 | 0.035 | 1025.380 | 254.090 | 1080.730 | 310.220 | −0.260 | 0.801 | 0.162 | 782.710 | 271.630 | 509.220 | 325.350 |
| conversational turns | −0.670 | 0.513 | 0.108 | 280.190 | 69.986 | 235.900 | 75.630 | −1.330 | 0.205 | 0.207 | 216.070 | 74.820 | 126.660 | 77.868 |
| adult word count | −0.360 | 0.726 | 0.077 | 11,535.000 | 2065.310 | 10,357.000 | 3358.620 | −1.150 | 0.274 | 0.232 | 15,013.000 | 2384.810 | 11,198.000 | 3431.700 |
| Music @ Home Questionnaire | ||||||||||||||
| parental beliefs about music | 1.430 | 0.178 | 0.209 | 19.969 | 2.033 | 22.323 | 1.953 | 0.350 | 0.733 | 0.042 | 22.167 | 2.291 | 22.692 | 2.089 |
| child engagement with music | 0.170 | 0.870 | 0.023 | 36.563 | 2.509 | 36.928 | 3.083 | 0.150 | 0.886 | 0.017 | 33.500 | 2.839 | 33.788 | 3.331 |
| parent initiation of singing | 1.520 | 0.155 | 0.305 | 24.778 | 2.132 | 28.224 | 1.864 | −1.090 | 0.299 | 0.200 | 27.667 | 2.344 | 25.274 | 1.902 |
| parent initiation of music-making | 2.120 | 0.055 | 0.390 | 13.595 | 1.956 | 16.737 | 0.889 | −0.680 | 0.507 | 0.118 | 16.333 | 2.211 | 15.269 | 0.958 |
| total music @ home score | 2.370 | 0.036 | 0.269 | 94.873 | 7.250 | 105.310 | 6.489 | −0.460 | 0.654 | 0.042 | 98.833 | 8.258 | 96.989 | 7.145 |
| Music Group | Control Group | |||||||||||||
|---|---|---|---|---|---|---|---|---|---|---|---|---|---|---|
| Baseline | Post | Baseline | Post | |||||||||||
| F | p-Value | Cohen’s f | Mean | SEM | Mean | SEM | F | p-Value | Cohen’s f | Mean | SEM | Mean | SEM | |
| Proximal obesity measure | ||||||||||||||
| RRVfood (n = 8) | 1.150 | 0.362 | 0.180 | 0.475 | 0.079 | 0.525 | 0.084 | 6.280 | 0.087 | 0.844 | 0.350 | 0.079 | 0.623 | 0.084 |
| LENA | ||||||||||||||
| child vocalization (n = 8) | 1.140 | 0.364 | 0.274 | 628.167 | 263.892 | 924.000 | 358.575 | 2.520 | 0.210 | 0.473 | 1086.875 | 228.537 | 576.750 | 310.535 |
| conversational turns (n = 8) | 0.060 | 0.818 | 0.062 | 154.833 | 49.623 | 168.333 | 77.055 | 2.630 | 0.204 | 0.620 | 285.125 | 42.975 | 149.125 | 66.731 |
| adult word count (n = 8) | 0.170 | 0.706 | 0.156 | 8392.667 | 1625.777 | 9974.500 | 4227.723 | 1.390 | 0.324 | 0.259 | 13,535.000 | 1407.964 | 10,913.880 | 3661.315 |
| Music @ Home Questionnaire | ||||||||||||||
| parental beliefs about music (n = 7) | 1.290 | 0.375 | 0.227 | 19.333 | 4.254 | 22.333 | 3.380 | 0.180 | 0.703 | 0.038 | 22.250 | 3.684 | 22.750 | 2.928 |
| child engagement with music (n = 7) | 0.040 | 0.868 | 0.046 | 37.333 | 3.894 | 38.000 | 4.465 | 0.160 | 0.718 | 0.017 | 34.250 | 3.372 | 34.500 | 3.867 |
| parent initiation of singing (n = 7) | 1.000 | 0.423 | 0.392 | 24.000 | 4.280 | 28.667 | 2.603 | 3.670 | 0.151 | 0.231 | 28.250 | 3.706 | 25.500 | 2.255 |
| parent initiation of music-making (n = 7) | 0.690 | 0.493 | 0.334 | 14.333 | 3.818 | 17.333 | 1.358 | 0.930 | 0.406 | 0.167 | 17.000 | 3.307 | 15.500 | 1.176 |
| total music @ home score (n = 7) | 2.980 | 0.227 | 0.258 | 95.000 | 14.002 | 106.333 | 11.330 | 0.390 | 0.575 | 0.051 | 100.500 | 12.126 | 98.250 | 9.812 |
References
- Lin, H.; Carr, K.A.; Fletcher, K.D.; Epstein, L.H. Food reinforcement partially mediates the effect of socioeconomic status on body mass index. Obesity 2013, 21, 1307–1312. [Google Scholar] [CrossRef] [PubMed]
- Epstein, L.H.; Carr, K.A.; Lin, H.; Fletcher, K.D. Food reinforcement, energy intake, and macronutrient choice. Am. J. Clin. Nutr. 2011, 94, 12–18. [Google Scholar] [CrossRef] [PubMed]
- Rollins, B.Y.; Francis, L.A.; Riggs, N.R. Family psychosocial assets, child behavioral regulation, and obesity. Pediatrics 2022, 149, e2021052918. [Google Scholar] [CrossRef]
- Christensen, D.L.; Schieve, L.A.; Devine, O.; Drews-Botsch, C. Socioeconomic status, child enrichment factors, and cognitive performance among preschool-age children: Results from the Follow-Up of Growth and Development Experiences study. Res. Dev. Disabil. 2014, 35, 1789–1801. [Google Scholar] [CrossRef]
- Dunst, C.J.; Trivette, C.M.; Cross, A.H. Mediating influences of social support: Personal, family, and child outcomes. Am. J. Ment. Defic. 1986, 90, 403–417. [Google Scholar] [PubMed]
- Davidov, M.; Grusec, J.E. Untangling the links of parental responsiveness to distress and warmth to child outcomes. Child. Dev. 2006, 77, 44–58. [Google Scholar] [CrossRef]
- Rhoades, B.L.; Greenberg, M.T.; Lanza, S.T.; Blair, C. Demographic and familial predictors of early executive function development: Contribution of a person-centered perspective. J. Exp. Child. Psychol. 2011, 108, 638–662. [Google Scholar] [CrossRef]
- Sulik, M.J.; Blair, C.; Mills-Koonce, R.; Berry, D.; Greenberg, M.; Family Life Project Investigators Vernon-Feagans, L.; Burchinal, M.R.; Cox, M.; Garrett-Peters, P.T.; Frank, J.L. Early parenting and the development of externalizing behavior problems: Longitudinal mediation through children’s executive function. Child. Dev. 2015, 86, 1588–1603. [Google Scholar] [CrossRef]
- Holochwost, S.J.; Gariépy, J.-L.; Propper, C.B.; Gardner-Neblett, N.; Volpe, V.; Neblett, E.; Mills-Koonce, W.R. Sociodemographic risk, parenting, and executive functions in early childhood: The role of ethnicity. Early Child. Res. Q. 2016, 36, 537–549. [Google Scholar] [CrossRef]
- Nicholson, J.M.; Berthelsen, D.; Abad, V.; Williams, K.E.; Bradley, J. Impact of music therapy to promote positive parenting and child development. J. Health Psychol. 2008, 13, 226–238. [Google Scholar] [CrossRef]
- Gerry, D.; Unrau, A.; Trainor, L.J. Active music classes in infancy enhance musical, communicative and social development. Dev. Sci. 2012, 15, 398–407. [Google Scholar] [CrossRef] [PubMed]
- Dowdall, N.; Melendez-Torres, G.J.; Murray, L.; Gardner, F.; Hartford, L.; Cooper, P.J. Shared picture book reading interventions for child language development: A systematic review and meta-analysis. Child Dev. 2020, 91, e383–e399. [Google Scholar] [CrossRef] [PubMed]
- Solinas, M.; Thiriet, N.; El Rawas, R.; Lardeux, V.; Jaber, M. Environmental enrichment during early stages of life reduces the behavioral, neurochemical, and molecular effects of cocaine. Neuropsychopharmacology 2009, 34, 1102–1111. [Google Scholar] [CrossRef] [PubMed]
- van der Harst, J.E.; Baars, A.M.; Spruijt, B.M. Standard housed rats are more sensitive to rewards than enriched housed rats as reflected by their anticipatory behaviour. Behav. Brain Res. 2003, 142, 151–156. [Google Scholar] [CrossRef]
- Wood, D.A.; Siegel, A.K.; Rebec, G.V. Environmental enrichment reduces impulsivity during appetitive conditioning. Physiol. Behav. 2006, 88, 132–137. [Google Scholar] [CrossRef]
- Strauss, R.S.; Knight, J. Influence of the home environment on the development of obesity in children. Pediatrics 1999, 103, e85. [Google Scholar] [CrossRef]
- East, P.; Delker, E.; Blanco, E.; Burrows, R.; Lozoff, B.; Gahagan, S. Home and family environment related to development of obesity: A 21-year longitudinal study. Child. Obes. 2019, 15, 156–166. [Google Scholar] [CrossRef]
- Anderson, S.E.; Whitaker, R.C. Attachment security and obesity in US preschool-aged children. Arch. Pediatr. Adolesc. Med. 2011, 165, 235–242. [Google Scholar] [CrossRef]
- Anderson, S.E.; Gooze, R.A.; Lemeshow, S.; Whitaker, R.C. Quality of early maternal–child relationship and risk of adolescent obesity. Pediatrics 2012, 129, 132–140. [Google Scholar] [CrossRef]
- Monasta, L.; Batty, G.D.; Macaluso, A.; Ronfani, L.; Lutje, V.; Bavcar, A.; van Lenthe, F.J.; Brug, J.; Cattaneo, A. Interventions for the prevention of overweight and obesity in preschool children: A systematic review of randomized controlled trials. Obes. Rev. 2011, 12, e107–e118. [Google Scholar] [CrossRef]
- Dietz, W.H. We need a new approach to prevent obesity in low-income minority populations. Pediatrics 2019, 143, e20190839. [Google Scholar] [CrossRef]
- Messito, M.J.; Mendelsohn, A.L.; Katzow, M.W.; Scott, M.A.; Vandyousefi, S.; Gross, R.S. Prenatal and Pediatric Primary Care–Based Child Obesity Prevention Program: A Randomized Trial. Pediatrics 2020, 146, e20200709. [Google Scholar] [CrossRef] [PubMed]
- Taylor, R.W.; Gray, A.R.; Heath, A.-L.M.; Galland, B.C.; Lawrence, J.; Sayers, R.; Healey, D.; Tannock, G.W.; A Meredith-Jones, K.; Hanna, M.; et al. Sleep, nutrition, and physical activity interventions to prevent obesity in infancy: Follow-up of the Prevention of Overweight in Infancy (POI) randomized controlled trial at ages 3.5 and 5 y. Am. J. Clin. Nutr. 2018, 108, 228–236. [Google Scholar] [CrossRef] [PubMed]
- Daniels, L.A.; Mallan, K.M.; Nicholson, J.M.; Battistutta, D.; Magarey, A. Outcomes of an early feeding practices intervention to prevent childhood obesity. Pediatrics 2013, 132, e109–e118. [Google Scholar] [CrossRef] [PubMed]
- Daniels, L.A.; Mallan, K.M.; Nicholson, J.M.; Thorpe, K.; Nambiar-Mann, S.; Mauch, C.E.; Magarey, A. An early feeding practices intervention for obesity prevention. Pediatrics 2015, 136, e40–e49. [Google Scholar] [CrossRef] [PubMed]
- Wen, L.M.; Baur, L.A.; Simpson, J.M.; Xu, H.; Hayes, A.J.; Hardy, L.L.; Williams, M.; Rissel, C. Sustainability of effects of an early childhood obesity prevention trial over time: A further 3-year follow-up of the healthy beginnings trial. J. Am. Med. Assoc. Pediatr. 2015, 169, 543–551. [Google Scholar] [CrossRef]
- Van Ryzin, M.J.; Nowicka, P. Direct and indirect effects of a family-based intervention in early adolescence on parent−youth relationship quality, late adolescent health, and early adult obesity. J. Fam. Psychol. 2013, 27, 106. [Google Scholar] [CrossRef]
- Smith, J.D.; Montaño, Z.; Dishion, T.J.; Shaw, D.S.; Wilson, M.N. Preventing weight gain and obesity: Indirect effects of the family check-up in early childhood. Res. Prev. Sci. 2015, 16, 408–419. [Google Scholar] [CrossRef]
- Brotman, L.M.; Dawson-McClure, S.; Huang, K.-Y.; Theise, R.; Kamboukos, D.; Wang, J.; Petkova, E.; Ogedegbe, G. Early childhood family intervention and long-term obesity prevention among high-risk minority youth. Pediatrics 2012, 129, e621–e628. [Google Scholar] [CrossRef]
- Campbell, F.; Conti, G.; Heckman, J.J.; Moon, S.H.; Pinto, R.; Pungello, E.; Pan, Y. Early childhood investments substantially boost adult health. Science 2014, 343, 1478–1485. [Google Scholar] [CrossRef]
- Kong, K.L.; Anzman-Frasca, S.; Burgess, B.; Serwatka, C.; White, H.I.; Holmbeck, K. Systematic Review of General Parenting Intervention Impacts on Child Weight as a Secondary Outcome. Child. Obes. 2022, 19, 293–308. [Google Scholar] [CrossRef] [PubMed]
- Shannon, K. Infant behavioral responses to infant-directed singing and other maternal interactions. Infant. Behav. Dev. 2006, 29, 456–470. [Google Scholar]
- Nakata, T.; Trehub, S.E. Infants’ responsiveness to maternal speech and singing. Infant. Behav. Dev. 2004, 27, 455–464. [Google Scholar] [CrossRef]
- Walworth, D.D. Effects of developmental music groups for parents and premature or typical infants under two years on parental responsiveness and infant social development. J. Music Ther. 2009, 46, 32–52. [Google Scholar] [CrossRef]
- Smith, A.R.; Salley, B.; Hanson-Abromeit, D.; Paluch, R.A.; Engel, H.; Piazza, J.; Kong, K.L. The impact of a community-based music program during infancy on the quality of parent-child language interactions. Child Dev. 2023, 95, 481–496. [Google Scholar] [CrossRef] [PubMed]
- Yan, R.; Jessani, G.; Spelke, E.S.; de Villiers, P.; de Villiers, J.; Mehr, S.A. Across demographics and recent history, most parents sing to their infants and toddlers daily. Philos. Trans. R. Soc. B 2021, 376, 20210089. [Google Scholar] [CrossRef]
- Mackenzie, J.; Hamlett, K. The Music Together program: Addressing the needs of" well" families with young children. Aust. J. Music Ther. 2005, 16, 43–59. [Google Scholar]
- Adler, N.E.; Epel, E.S.; Castellazzo, G.; Ickovics, J.R. Relationship of subjective and objective social status with psychological and physiological functioning: Preliminary data in healthy, white women. Health Psychol. 2000, 19, 586–592. [Google Scholar] [CrossRef]
- Giatti, L.; Camelo Ldo, V.; Rodrigues, J.F.; Barreto, S.M. Reliability of the MacArthur scale of subjective social status-Brazilian longitudinal study of adult health (ELSA-Brasil). BMC Public Health 2012, 12, 1096. [Google Scholar] [CrossRef]
- Shavers, V.L. Measurement of socioeconomic status in health disparities research. J. Natl. Med. Assoc. 2007, 99, 1013–1023. [Google Scholar]
- Epstein, L.H.; Paluch, R.A.; Kilanowski, C.K.; Raynor, H.A. The effect of reinforcement or stimulus control to reduce sedentary behavior in the treatment of pediatric obesity. Health Psychol. 2004, 23, 371–380. [Google Scholar] [CrossRef] [PubMed]
- Temple, J.L.; Legierski, C.M.; Giacomelli, A.M.; Salvy, S.J.; Epstein, L.H. Overweight children find food more reinforcing and consume more energy than do nonoverweight children. Am. J. Clin. Nutr. 2008, 87, 1121–1127. [Google Scholar] [CrossRef] [PubMed]
- Kong, K.L.; Feda, D.M.; Eiden, R.D.; Epstein, L.H. Origins of food reinforcement in infants. Am. J. Clin. Nutr. 2015, 101, 515–522. [Google Scholar] [CrossRef] [PubMed]
- Wang, Y.; Williams, R.; Dilley, L.; Houston, D.M. A meta-analysis of the predictability of LENA™ automated measures for child language development. Dev. Rev. 2020, 57, 100921. [Google Scholar] [CrossRef] [PubMed]
- Ganek, H.; Eriks-Brophy, A. Language ENvironment analysis (LENA) system investigation of day long recordings in children: A literature review. J. Commun. Disord. 2018, 72, 77–85. [Google Scholar] [CrossRef]
- Piot, L.; Havron, N.; Cristia, A. Socioeconomic status correlates with measures of Language Environment Analysis (LENA) system: A meta-analysis. J. Child Lang. 2022, 49, 1037–1051. [Google Scholar] [CrossRef]
- Politimou, N.; Stewart, L.; Müllensiefen, D.; Franco, F. Music@ Home: A novel instrument to assess the home musical environment in the early years. PLoS ONE 2018, 13, e0193819. [Google Scholar] [CrossRef]
- Fernández-García, M.P.; Vallejo-Seco, G.; Livácic-Rojas, P.; Tuero-Herrero, E. The (ir) responsibility of (under) estimating missing data. Front. Psychol. 2018, 9, 556. [Google Scholar] [CrossRef]
- Fernandez, P.; Livacic-Rojas, P.; Vallejo, G. How to elect the best statistical analysis for to analyze a repeated measures design. Int. J. Clin. Health Psychol. 2007, 7, 153–175. [Google Scholar]
- Tippey, K.G.; Longnecker, M.T. (Eds.) An ad hoc method for computing pseudo-effect size for mixed models. In Proceedings of South Central SAS Users Group Forum; Proceedings of South Central SAS Users Group Forum: Dallas, TX, USA, 2016. [Google Scholar]
- Steiger, J.H. Beyond the F test: Effect size confidence intervals and tests of close fit in the analysis of variance and contrast analysis. Psychol. Methods 2004, 9, 164–182. [Google Scholar] [CrossRef]
- Faul, F.; Erdfelder, E.; Lang, A.G.; Buchner, A. G* Power 3: A flexible statistical power analysis program for the social, behavioral, and biomedical sciences. Behav. Res. Methods 2007, 39, 175–191. [Google Scholar] [CrossRef] [PubMed]
- Cohen, J. A power primer. Psychol. Bull. 1992, 112, 155. [Google Scholar] [CrossRef]
- Epstein, L.H.; Carr, K.A.; Lin, H.; Fletcher, K.D.; Roemmich, J.N. Usual energy intake mediates the relationship between food reinforcement and BMI. Obesity 2012, 20, 1815–1819. [Google Scholar] [CrossRef]
- Epstein, L.H.; Temple, J.L.; Neaderhiser, B.J.; Salis, R.J.; Erbe, R.W.; Leddy, J.J. Food reinforcement, the dopamine D2 receptor genotype, and energy intake in obese and nonobese humans. Behav. Neurosci. 2007, 121, 877–886. [Google Scholar] [CrossRef]
- Stroebe, W.; Papies, E.K.; Aarts, H. From homeostatic to hedonic theories of eating: Self-regulatory failure in food-rich environments. Appl. Psychol. 2008, 57, 172–193. [Google Scholar] [CrossRef]
- Ferjan Ramírez, N.; Lytle, S.R.; Kuhl, P.K. Parent coaching increases conversational turns and advances infant language development. Proc. Natl. Acad. Sci. 2020, 117, 3484–3491. [Google Scholar] [CrossRef] [PubMed]
- Jacobsen, S.L.; McKinney, C.H.; Holck, U. Effects of a dyadic music therapy intervention on parent-child interaction, parent stress, and parent-child relationship in families with emotionally neglected children: A randomized controlled trial. J. Music Ther. 2014, 51, 310–332. [Google Scholar] [CrossRef] [PubMed]
- Papadimitriou, A.; Smyth, C.; Politimou, N.; Franco, F.; Stewart, L. The impact of the home musical environment on infants’ language development. Infant. Behav. Dev. 2021, 65, 101651. [Google Scholar] [CrossRef]
- Shenfield, T.; Trehub, S.E.; Nakata, T. Maternal singing modulates infant arousal. Psychol. Music 2003, 31, 365–375. [Google Scholar] [CrossRef]
- Ward, K.P.; Lee, S.J. Mothers’ and fathers’ parenting stress, responsiveness, and child wellbeing among low-income families. Child. Youth Serv. Rev. 2020, 116, 105218. [Google Scholar] [CrossRef]
- McCoy, N.; Zigler, E. Social reinforcer effectiveness as a function of the relationship between child and adult. J. Personal. Soc. Psychol. 1965, 1, 604. [Google Scholar] [CrossRef] [PubMed]
- Swain, J.E.; Lorberbaum, J.P.; Kose, S.; Strathearn, L. Brain basis of early parent–infant interactions: Psychology, physiology, and in vivo functional neuroimaging studies. J. Child Psychol. Psychiatry 2007, 48, 262–287. [Google Scholar] [CrossRef] [PubMed]
- Kong, K.L.; Shisler, S.; Eiden, R.D.; Anzman-Frasca, S.; Piazza, J. Examining the relationship between infant weight status and parent-infant interactions within a food and nonfood context. Child Obes. 2022, 18, 422–432. [Google Scholar] [CrossRef] [PubMed]
- Kong, K.L.; Eiden, R.D.; Paluch, R.A. Early non-food parent-infant interactions and the development of obesity in a high-risk, diverse sample. Obesity 2019, 27, 1754–1760. [Google Scholar] [CrossRef]
- Berry, V.; Melendez-Torres, G.J.; Axford, N.; Axberg, U.; de Castro, B.O.; Gardner, F.; Gaspar, M.F.; Handegård, B.H.; Hutchings, J.; Menting, A.; et al. Does social and economic disadvantage predict lower engagement with parenting interventions? An integrative analysis using individual participant data. Prev. Sci. 2023, 24, 1447–1458. [Google Scholar] [CrossRef] [PubMed]
- Gross, D.; Garvey, C.; Julion, W.; Fogg, L.; Tucker, S.; Mokros, H. Efficacy of the Chicago Parent Program with low-income African American and Latino parents of young children. Prev. Sci. 2009, 10, 54–65. [Google Scholar] [CrossRef]
- Baucom, K.J.W.; Chen, X.S.; Perry, N.S.; Revolorio, K.Y.; Reina, A.; Christensen, A. Recruitment and retention of low-SES ethnic minority couples in intervention research at the transition to parenthood. Fam. Process 2018, 57, 308–323. [Google Scholar] [CrossRef]
- Jurkowski, J.M.; Green Mills, L.L.; Lawson, H.A.; Bovenzi, M.C.; Quartimon, R.; Davison, K.K. Engaging low-income parents in childhood obesity prevention from start to finish: A case study. J. Community Health 2013, 38, 1–11. [Google Scholar] [CrossRef]
- Dawson, K.; Berry, M. Engaging families in child welfare services: An evidence-based approach to best practice. Child Welf. 2002, 81, 293–317. [Google Scholar]
- Washio, Y.; Humphreys, M.; Colchado, E.; Sierra-Ortiz, M.; Zhang, Z.; Collins, B.N.; Kilby, L.M.; Chapman, D.J.; Higgins, S.T.; Kirby, K.C. Incentive-based intervention to maintain breastfeeding among low-income Puerto Rican mothers. Pediatrics 2017, 139, e20163119. [Google Scholar] [CrossRef]
- Dawson-McClure, S.; Calzada, E.; Brotman, L. Engaging Parents in Preventive Interventions for Young Children: Working with Cultural Diversity Within Low-Income, Urban Neighborhoods. Prev. Sci. 2017, 18, 660–670. [Google Scholar] [CrossRef] [PubMed]
- Gross, D.; Julion, W.; Fogg, L. What motivates participation and dropout among low-income urban families of color in a prevention intervention? Fam. Relat. 2001, 50, 246–254. [Google Scholar] [CrossRef]
- Webster-Stratton, C.; Reid, M. Adapting The Incredible Years, an evidence-based parenting programme, for families involved in the child welfare system. J. Child. Serv. 2010, 5, 25–42. [Google Scholar] [CrossRef]
- Drury, N.E.; Menzies, J.C.; Taylor, C.J.; Jones, T.J.; Lavis, A.C. Understanding parents’ decision-making on participation in clinical trials in children’s heart surgery: A qualitative study. BMJ Open 2021, 11, e044896. [Google Scholar] [PubMed]
- O’Keeffe, S.; Weitkamp, K.; Isaacs, D.; Target, M.; Eatough, V.; Midgley, N. Parents’ understanding and motivation to take part in a randomized controlled trial in the field of adolescent mental health: A qualitative study. Trials 2020, 21, 952. [Google Scholar] [CrossRef]
- Callahan, E.A. A Health Equity Approach to Obesity Efforts: Proceedings of a Workshop; National Academies Press: Washington, DC, USA, 2019. [Google Scholar]
- Roggman, L.A.; Cook, G.A.; Peterson, C.A.; Raikes, H.H. Who drops out of early head start home visiting programs? Early Educ. Dev. 2008, 19, 574–599. [Google Scholar] [CrossRef]
- Brand, T.; Jungmann, T. Participant characteristics and process variables predict attrition from a home-based early intervention program. Early Child. Res. Q. 2014, 29, 155–167. [Google Scholar] [CrossRef]
- Sweller, J. Cognitive load theory, learning difficulty, and instructional design. Learn. Instr. 1994, 4, 295–312. [Google Scholar] [CrossRef]
- De Jong, T. Cognitive load theory, educational research, and instructional design: Some food for thought. Instr. Sci. 2010, 38, 105–134. [Google Scholar] [CrossRef]
- Deater-Deckard, K.; Sewell, M.D.; Petrill, S.A.; Thompson, L.A. Maternal working memory and reactive negativity in parenting. Psychol. Sci. 2010, 21, 75–79. [Google Scholar] [CrossRef]





| Variable | Music Group (n = 8) | Control Group (n = 8) |
|---|---|---|
| Child | ||
| Sex, male | 4 (50.0) | 4 (50.0) |
| Age, mo | 15.84 ± 4.84 (9.76, 22.95) | 17.11 ± 4.73 (9.24, 24.89) |
| Race | ||
| Black | 3 (37.5) | 7 (87.5) |
| White | 3 (37.5) | 0 (0) |
| Multiracial | 2 (25.0) | 1 (12.5) |
| Ethnicity | ||
| Hispanic | 1 (12.5) | 1 (12.5) |
| Birth weight, kg | 3.36 ± 0.21 (3.04, 3.63) | 3.14 ± 0.69 (2.31, 4.45) |
| Mother | ||
| Age, y | 30.43 ± 5.02 (23, 37) | 33.25 ± 5.06 (25, 42) |
| Race | ||
| Black | 3 (37.5) | 6 (75.0) |
| White | 4 (50.0) | 1 (12.5) |
| Multiracial | 1 (12.5) | 1 (12.5) |
| Ethnicity | ||
| Hispanic | 1 (12.5) | 0 (0) |
| Marital status | ||
| Single | 3 (37.5) | 4 (50.0) |
| Education Level | ||
| Some college or less | 4 (50.0) | 7 (87.5) |
| College graduate or more | 4 (50.0) | 1 (12.5) |
| Current BMI, kg/m2 | 33.61 ± 7.42 (25.55, 43.72) | 36.31 ± 9.09 (21.35, 50.35) |
| Normal | 0 (0) | 1 (14.3) |
| Overweight | 4 (50.0) | 0 (0) |
| Obese | 4(50.0) | 6 (85.7) |
| Household | ||
| Family members in the household | 5.00 ± 1.85 (3, 8) | 4.75 ± 1.16 (3, 6) |
| Number of children | 3.00 ± 2.00 (0, 5) | 3.25 ± 1.28 (1, 5) |
| Family Annual Income, USD | 18,745.50 ± 12,222.62 (6000, 40,800) | 27,474.00 ± 8986.13 (12,000, 36,000) |
| Poverty Status | ||
| Above poverty threshold | 1 (12.5) | 1 (12.5) |
| Below poverty threshold | 7 (87.5) | 7 (87.5) |
| Music Group | Control Group | |||||||||||||||
|---|---|---|---|---|---|---|---|---|---|---|---|---|---|---|---|---|
| Baseline | Mid | Post | Baseline | Mid | Post | |||||||||||
| F | p-Value | Partial eta2 | Cohen’s f | Mean | SEM | Mean | SEM | Mean | SEM | Mean | SEM | Mean | SEM | Mean | SEM | |
| Proximal obesity measure | ||||||||||||||||
| RRVfood | 1.77 | 0.21 | 0.03 | 0.18 | 0.50 | 0.06 | 0.48 | 0.06 | 0.54 | 0.08 | 0.40 | 0.06 | 0.40 | 0.06 | 0.65 | 0.08 |
| LENA | ||||||||||||||||
| child vocalization | 1.09 | 0.37 | 0.02 | 0.14 | 1025.38 | 254.09 | 985.65 | 331.86 | 1080.73 | 310.22 | 782.71 | 271.63 | 997.77 | 368.64 | 509.22 | 325.35 |
| conversational turns | 1.17 | 0.34 | 0.02 | 0.15 | 280.19 | 69.99 | 238.00 | 97.61 | 235.90 | 75.63 | 216.07 | 74.82 | 347.08 | 107.01 | 126.66 | 77.87 |
| adult word count | 0.76 | 0.49 | 0.01 | 0.12 | 11,535.00 | 2065.31 | 10,182.00 | 2359.50 | 10,357.00 | 3358.62 | 15,013.00 | 2384.81 | 16,758.00 | 2647.33 | 11,198.00 | 3431.70 |
| Music @ Home Questionnaire | ||||||||||||||||
| parental beliefs aboutmusic | 0.67 | 0.43 | 0.13 | 0.11 | 19.97 | 2.03 | N/A | N/A | 22.32 | 1.95 | 22.17 | 2.29 | N/A | N/A | 22.69 | 2.09 |
| child engagement withmusic | 0.00 | 0.98 | 0.00 | 0.00 | 36.56 | 2.51 | N/A | N/A | 36.93 | 3.08 | 33.50 | 2.84 | N/A | N/A | 33.79 | 3.33 |
| parent initiation ofsinging | 3.41 | 0.09 | 0.06 | 0.25 | 24.78 | 2.13 | N/A | N/A | 28.22 | 1.86 | 27.67 | 2.34 | N/A | N/A | 25.27 | 1.90 |
| parent initiation of music-making | 3.84 | 0.07 | 0.07 | 0.27 | 13.60 | 1.96 | N/A | N/A | 16.74 | 0.89 | 16.33 | 2.21 | N/A | N/A | 15.27 | 0.96 |
| total music @ home score | 4.25 | 0.06 | 0.06 | 0.28 | 94.87 | 7.25 | N/A | N/A | 105.31 | 6.49 | 98.83 | 8.26 | N/A | N/A | 96.99 | 7.15 |
| Music Group | Control Group | |||||||||||||||
|---|---|---|---|---|---|---|---|---|---|---|---|---|---|---|---|---|
| Baseline | Mid | Post | Baseline | Mid | Post | |||||||||||
| F | p-Value | Partial eta2 | Cohen’s f | Mean | SEM | Mean | SEM | Mean | SEM | Mean | SEM | Mean | SEM | Mean | SEM | |
| Proximal obesity measure | ||||||||||||||||
| RRVfood (n = 8) | 1.47 | 0.27 | 0.02 | 0.50 | 0.48 | 0.08 | 0.50 | 0.07 | 0.53 | 0.08 | 0.35 | 0.08 | 0.40 | 0.07 | 0.62 | 0.08 |
| LENA | ||||||||||||||||
| child vocalization (n = 8) | 1.68 | 0.24 | 0.25 | 0.28 | 628.17 | 263.89 | 832.33 | 438.96 | 924.00 | 358.58 | 1086.88 | 228.54 | 813.25 | 380.15 | 576.75 | 310.54 |
| conversational turns (n = 8) | 1.54 | 0.26 | 0.24 | 0.55 | 154.83 | 49.62 | 128.17 | 65.95 | 168.33 | 77.05 | 285.13 | 42.97 | 248.88 | 57.11 | 149.13 | 66.73 |
| adult word count (n = 8) | 1.67 | 0.24 | 0.25 | 0.58 | 8392.67 | 1625.78 | 6116.33 | 1867.00 | 9974.50 | 4227.72 | 13,535.00 | 1407.96 | 13,410.88 | 1616.87 | 10,913.88 | 3661.32 |
| Music @ Home Questionnaire | ||||||||||||||||
| parental beliefs about music (n = 7) | 0.91 | 0.38 | 0.15 | 0.43 | 19.33 | 4.25 | N/A | N/A | 22.33 | 3.38 | 22.25 | 3.68 | N/A | N/A | 22.75 | 2.93 |
| child engagement with music (n = 7) | 0.02 | 0.90 | 0.00 | 0.06 | 37.33 | 3.89 | N/A | N/A | 38.00 | 4.46 | 34.25 | 3.37 | N/A | N/A | 34.50 | 3.87 |
| parent initiation of singing (n = 7) | 3.03 | 0.14 | 0.38 | 0.78 | 24.00 | 4.28 | N/A | N/A | 28.67 | 2.60 | 28.25 | 3.71 | N/A | N/A | 25.50 | 2.25 |
| parent initiation of music-making (n = 7) | 1.62 | 0.26 | 0.25 | 0.57 | 14.33 | 3.82 | N/A | N/A | 17.33 | 1.36 | 17.00 | 3.31 | N/A | N/A | 15.50 | 1.18 |
| total music @ home score (n = 7) | 3.83 | 0.11 | 0.43 | 0.87 | 95.00 | 14.00 | N/A | N/A | 106.33 | 11.33 | 100.50 | 12.13 | N/A | N/A | 98.25 | 9.81 |
| Questionnaire Items | Mean (SD) | Range |
|---|---|---|
| Research process items | ||
| Enrollment/consent process | 4.86 (0.38) | 4–5 |
| Interactions with staff members | 4.86 (0.38) | 4–5 |
| Communication (emails, text messages, phone calls) | 4.86 (0.38) | 4–5 |
| Home visits | 4.71 (0.76) | 3–5 |
| Research assessments (food game, playing with/feeding your child, language recorder) | 4.86 (0.38) | 4–5 |
| Filling out questionnaires | 4.57 (0.79) | 3–5 |
| Participant payments | 4.86 (0.38) | 4–5 |
| Weekly class items | ||
| Location of weekly classes | 4.71 (0.76) | 3–5 |
| Transportation (if used) | 4 (1.41) | 3–5 |
| Weekly meals | 4.43 (1.13) | 2–5 |
| Weekly class activities | 4.71 (0.76) | 3–5 |
| Take home materials | 4.86 (0.38) | 4–5 |
| Prompt | Themes | Individual Comments | |
|---|---|---|---|
| Music Group | Play Group | ||
| Why did you decide to participate in this program? | Child/family benefits | “for my son to participate in a music class and it was paid” | “It was very helpful for my child” |
| “to let my child experience something new and interact with other children” | |||
| “To get more information on things that will help benefit my family” | |||
| “we kinda used it like a weekly play date” | |||
| Research contribution | “Help out with Research, meet new people, a place for my child to play” | ||
| “Research studies are important process improvements” | |||
| What did you find most helpful? | Parent–child or social interaction | “social interaction” | “My child playing with others and the care they showed me and my child” |
| “interaction with other kids his age” | |||
| “It helped me and my daughter become a little closer and bond over music” | |||
| “We made some good friends. I loved the weekly one on one time with my child. | |||
| Program components | “Music” | “Having childcare for my other kid. It made it helpful to focus on what we came to do” | |
| “Communication during this study was excellent” | |||
| What suggestions do you have for improving the program for other families? | Weekly meals | “more food options” | |
| Continue the program | “keep it going! There should be more activities for parents and children to do together” | ||
| Please describe any changes in how you play or use music with your child at home due to participating in this program. | None | “it’s hasnt changed” | |
| Increased play/music | “we don’t have as many instruments (as used in class)” | “We have separate music time and play time” | |
| “I have used homemade instruments more often” | “We play and dance more often” | ||
| “He loves to play more now and dance too with others” | |||
| Learning | “My daughter has learned the words to more songs and the actions as well” | ||
Disclaimer/Publisher’s Note: The statements, opinions and data contained in all publications are solely those of the individual author(s) and contributor(s) and not of MDPI and/or the editor(s). MDPI and/or the editor(s) disclaim responsibility for any injury to people or property resulting from any ideas, methods, instructions or products referred to in the content. |
© 2024 by the authors. Licensee MDPI, Basel, Switzerland. This article is an open access article distributed under the terms and conditions of the Creative Commons Attribution (CC BY) license (https://creativecommons.org/licenses/by/4.0/).
Share and Cite
Kong, K.-L.; Smith, A.R.; Salley, B.; Hanson-Abromeit, D.; Engel, H.; Serwatka, C.A. A Feasibility Study of a Music Enrichment Program on Relative Reinforcing Value of Food and Home Environmental Enrichment among Families of Low Socioeconomic Status. Children 2024, 11, 1229. https://doi.org/10.3390/children11101229
Kong K-L, Smith AR, Salley B, Hanson-Abromeit D, Engel H, Serwatka CA. A Feasibility Study of a Music Enrichment Program on Relative Reinforcing Value of Food and Home Environmental Enrichment among Families of Low Socioeconomic Status. Children. 2024; 11(10):1229. https://doi.org/10.3390/children11101229
Chicago/Turabian StyleKong, Kai-Ling, Amy R. Smith, Brenda Salley, Deanna Hanson-Abromeit, Hideko Engel, and Catherine A. Serwatka. 2024. "A Feasibility Study of a Music Enrichment Program on Relative Reinforcing Value of Food and Home Environmental Enrichment among Families of Low Socioeconomic Status" Children 11, no. 10: 1229. https://doi.org/10.3390/children11101229
APA StyleKong, K.-L., Smith, A. R., Salley, B., Hanson-Abromeit, D., Engel, H., & Serwatka, C. A. (2024). A Feasibility Study of a Music Enrichment Program on Relative Reinforcing Value of Food and Home Environmental Enrichment among Families of Low Socioeconomic Status. Children, 11(10), 1229. https://doi.org/10.3390/children11101229

