Effects of Aquatic Exercise and Floor Curling on Balance Ability and Lower Limb Muscle Strength in Children with Intellectual Disabilities: A Pilot Study in China
Abstract
1. Introduction
2. Materials and Methods
2.1. Participants
2.2. Procedure
2.3. Intervention
2.3.1. Aquatic Exercise Group
2.3.2. Floor Curling Group
2.3.3. Control Group
2.4. Outcome and Assessment
2.4.1. Demographics
2.4.2. Balance Ability
2.4.3. Lower Limb Muscle Strength
- (1)
- Hip extensor muscles: The participant assumes a prone position with the knees flexed at a 90° angle. The testing device is positioned near the popliteal fossa of the posterior thigh, and force is generated to extend the hip joint.
- (2)
- Hip flexor muscles: The participant sits with both feet suspended and the lower legs naturally hanging. The testing device is placed near the anterior thigh muscles close to the patella, and force is applied to flex the hip joint.
- (3)
- Knee extensor muscles: The participant sits with the popliteal region near the edge, and both feet are suspended with the lower legs naturally hanging. The testing device is positioned in front of the tibia, with the concave surface aligned with the line connecting the medial and lateral malleoli. Force is exerted to extend the knee joint.
- (4)
- Knee flexor muscles: The participant assumes a prone position, with the knee joint flexed at a 90° angle. The testing device is positioned at the Achilles tendon, aligning the concave surface with the line connecting the medial and lateral malleoli. Force is applied to flex the knee joint.
- (5)
- Toe extensor muscles: The participant lies supine with the knee joint extended and the foot in a natural neutral position. The testing device is positioned at the metatarsals of the plantar surface, and force is applied to perform toe extension.
- (6)
- Ankle dorsiflexor muscles: The participant lies supine with the knee joint extended and the foot in a natural neutral position. The testing device is positioned at the dorsal surface of the metatarsals, and force is applied to perform ankle dorsiflexion.
2.5. Statistical Analyses
3. Results
3.1. Baseline Characteristics
3.2. Between-Group Differences
3.3. Within-Group Differences
4. Discussion
4.1. Effects of Aquatic Exercise on Balance Ability and Lower Limb Muscle Strength in Children with Intellectual Disabilities
4.2. Effects of Floor Curling on Balance Ability and Lower Limb Muscle Strength in Children with Intellectual Disabilities
4.3. Limitations and Recommendations for Future Research
5. Conclusions
Author Contributions
Funding
Institutional Review Board Statement
Informed Consent Statement
Data Availability Statement
Acknowledgments
Conflicts of Interest
References
- Diagnostic and Statistical Manual of Mental Disorders: DSM-5™ (5th ed.). Available online: https://dsm.psychiatryonline.org/doi/book/10.1176/appi.books.9780890425596 (accessed on 1 May 2023). [CrossRef]
- Blomqvist, S.; Olsson, J.; Wallin, L.; Wester, A.; Rehn, B. Adolescents with intellectual disability have reduced postural balance and muscle performance in trunk and lower limbs compared to peers without intellectual disability. Res. Dev. Disabil. 2013, 34, 198–206. [Google Scholar] [CrossRef] [PubMed]
- Pope, J.; Truesdale, M.; Brown, M. Risk factors for falls among adults with intellectual disabilities: A narrative review. J. Appl. Res. Intellect. Disabil. 2021, 34, 274–285. [Google Scholar] [CrossRef] [PubMed]
- Paillard, T. Plasticity of the postural function to sport and/or motor experience. Neurosci. Biobehav. Rev. 2017, 72, 129–152. [Google Scholar] [CrossRef] [PubMed]
- Horak, F.B. Postural orientation and equilibrium: What do we need to know about neural control of balance to prevent falls? Age Ageing 2006, 35 (Suppl. 2), ii7–ii11. [Google Scholar] [CrossRef] [PubMed]
- Woolley, S.M.; Czaja, S.J.; Drury, C.G. An assessment of falls in elderly men and women. J. Gerontol. A Biol. Sci. Med. Sci. 1997, 52, M80–M87. [Google Scholar] [CrossRef] [PubMed]
- Carvalho, R.L.; Almeida, G.L. Assessment of postural adjustments in persons with intellectual disability during balance on the seesaw. J. Intellect. Disabil. Res. 2009, 53, 389–395. [Google Scholar] [CrossRef] [PubMed]
- Giuliani, F.; Schenk, F. Vision, spatial cognition and intellectual disability. Res. Dev. Disabil. 2015, 37, 202–208. [Google Scholar] [CrossRef] [PubMed]
- Westendorp, M.; Houwen, S.; Hartman, E.; Visscher, C. Are gross motor skills and sports participation related in children with intellectual disabilities? Res. Dev. Disabil. 2011, 32, 1147–1153. [Google Scholar] [CrossRef]
- Einarsson, I.Ó.; Ólafsson, Á.; Hinriksdóttir, G.; Jóhannsson, E.; Daly, D.; Arngrímsson, S.Á. Differences in physical activity among youth with and without intellectual disability. Med. Sci. Sports Exerc. 2015, 47, 411–418. [Google Scholar] [CrossRef]
- Wouters, M.; Evenhuis, H.M.; Hilgenkamp, T.I.M. Physical fitness of children and adolescents with moderate to severe intellectual disabilities. Disabil. Rehabil. 2020, 42, 2542–2552. [Google Scholar] [CrossRef]
- Sasaki, K.; Neptune, R.R. Individual muscle contributions to the axial knee joint contact force during normal walking. J. Biomech. 2010, 43, 2780–2784. [Google Scholar] [CrossRef]
- Pijnappels, M.; Reeves, N.D.; Maganaris, C.N.; van Dieën, J.H. Tripping without falling; lower limb strength, a limitation for balance recovery and a target for training in the elderly. J. Electromyogr. Kinesiol. 2008, 18, 188–196. [Google Scholar] [CrossRef]
- Nitz, J.C.; Kuys, S.; Isles, R.; Fu, S. Is the Wii Fit a new-generation tool for improving balance, health and well-being? A pilot study. Climacteric 2010, 13, 487–491. [Google Scholar] [CrossRef] [PubMed]
- Cui, Y.; Cong, F.; Jin, L. Halliwick Concept and Its Application in Aquatic Rehabilitation. Chin. J. Rehabil. Theory Pract. 2013, 19, 239–2450. [Google Scholar] [CrossRef]
- Li, Q.; Chen, M.; Shen, M.; Xu, L.; Ruan, Y. Effects of water-based exercise on lower limb function in patients with Parkinson’s disease: A Meta-analysis. Chin. J. Nurs. 2021, 56, 276–282. [Google Scholar]
- Li, Y.; Hu, S. Meta-analysis of the effect of water exercise training on lower limb function and daily living ability in stroke patients. Chin. J. Rehabili. Med. 2019, 34, 1209–1215. [Google Scholar]
- The Halliwick Concept 2010. Available online: https://halliwick.org.uk/wp-content/uploads/2022/07/Halliwick-Concept-2010-Paper-Updated-2015.pdf (accessed on 1 May 2023).
- Vivas, J.; Arias, P.; Cudeiro, J. Aquatic therapy versus conventional land-based therapy for Parkinson’s disease: An open-label pilot study. Arch. Phys. Med. Rehabil. 2011, 92, 1202–1210. [Google Scholar] [CrossRef] [PubMed]
- Carroll, L.M.; Volpe, D.; Morris, M.E.; Saunders, J.; Clifford, A.M. Aquatic Exercise Therapy for People with Parkinson Disease: A Randomized Controlled Trial. Arch. Phys. Med. Rehabil. 2017, 98, 631–638. [Google Scholar] [CrossRef]
- Volpe, D.; Spolaor, F.; Sawacha, Z.; Guiotto, A.; Pavan, D.; Bakdounes, L.; Urbani, V.; Frazzitta, G.; Iansek, R. Muscular activation changes in lower limbs after underwater gait training in Parkinson’s disease: A surface emg pilot study. Gait Posture 2020, 80, 185–191. [Google Scholar] [CrossRef] [PubMed]
- Wu, S. Research on the Current Situation Andpredicament of the Development of Dry Landcurling in Changchun Primary and Secondaryschools under the Background of 2022 WinterOlympic Games. Master’s Thesis, Jilin Institute of Physical Education, Changchun, China, 2022. [Google Scholar]
- Li, Q.; Xu, S.; Zhao, J.; Li, H.; Li, B. The Social Value of Popularization of Land Curling. China Winter Sports 2018, 40, 20–24. [Google Scholar] [CrossRef]
- DiStefano, L.J.; Clark, M.A.; Padua, D.A. Evidence supporting balance training in healthy individuals: A systemic review. J. Strength Cond. Res. 2009, 23, 2718–2731. [Google Scholar] [CrossRef]
- Ma, Y.; Wang, L.; Li, M.; Wang, T. Meta-analysis of the effects of exercise programs in improving the balance ability of children with intellectual disabilities. J. Intellect. Dev. Disabil. 2020, 45, 144–154. [Google Scholar] [CrossRef]
- Wang, D.; Zhang, L.; Wu, X. Physical activity of people with intellectual disability measured by motion sensor. Chin. J. Tissue Eng. Res. 2018, 22, 5889–5896. [Google Scholar]
- Kowalski, K.C.; Crocker, P.R.; Donen, R.M. The physical activity questionnaire for older children (PAQ-C) and adolescents (PAQ-A) manual. Coll. Kinesiol. Univ. Sask. 2004, 87, 1–38. [Google Scholar]
- Erdim, L.; Ergün, A.; Kuğuoğlu, S. Reliability and validity of the Turkish version of the Physical Activity Questionnaire for Older Children (PAQ-C). Turk. J. Med. Sci. 2019, 49, 162–169. [Google Scholar] [CrossRef]
- Oppewal, A.; Hilgenkamp, T.I.; van Wijck, R.; Evenhuis, H.M. Feasibility and outcomes of the Berg Balance Scale in older adults with intellectual disabilities. Res. Dev. Disabil. 2013, 34, 2743–2752. [Google Scholar] [CrossRef] [PubMed]
- Enkelaar, L.; Smulders, E.; van Schrojenstein Lantman-de Valk, H.; Weerdesteyn, V.; Geurts, A.C. Clinical measures are feasible and sensitive to assess balance and gait capacities in older persons with mild to moderate Intellectual Disabilities. Res. Dev. Disabil. 2013, 34, 276–285. [Google Scholar] [CrossRef]
- Mancini, M.; Horak, F.B. The relevance of clinical balance assessment tools to differentiate balance deficits. Eur. J. Phys. Rehabil. Med. 2010, 46, 239–248. [Google Scholar]
- Borji, R.; Sahli, S.; Baccouch, R.; Laatar, R.; Kachouri, H.; Rebai, H. An open-label randomized control trial of hopping and jumping training versus sensorimotor rehabilitation programme on postural capacities in individuals with intellectual disabilities. J. Appl. Res. Intellect. Disabil. 2018, 31, 318–323. [Google Scholar] [CrossRef] [PubMed]
- Hilgenkamp, T.I.; van Wijck, R.; Evenhuis, H.M. Physical fitness in older people with ID-Concept and measuring instruments: A review. Res. Dev. Disabil. 2010, 31, 1027–1038. [Google Scholar] [CrossRef]
- Crompton, J.; Galea, M.P.; Phillips, B. Hand-held dynamometry for muscle strength measurement in children with cerebral palsy. Dev. Med. Child Neurol. 2007, 49, 106–111. [Google Scholar] [CrossRef]
- Katz-Leurer, M.; Rottem, H.; Meyer, S. Hand-held dynamometry in children with traumatic brain injury: Within-session reliability. Pediatr. Phys. Ther. 2008, 20, 259–263. [Google Scholar] [CrossRef]
- Merlini, L.; Gennari, M.; Malaspina, E.; Cecconi, I.; Armaroli, A.; Gnudi, S.; Talim, B.; Ferlini, A.; Cicognani, A.; Franzoni, E. Early corticosteroid treatment in 4 Duchenne muscular dystrophy patients: 14-year follow-up. Muscle Nerve 2012, 45, 796–802. [Google Scholar] [CrossRef] [PubMed]
- Wuang, Y.P.; Chang, J.J.; Wang, M.H.; Lin, H.C. Test-retest reliabilities of hand-held dynamometer for lower-limb muscle strength in intellectual disabilities. Res. Dev. Disabil. 2013, 34, 2281–2290. [Google Scholar] [CrossRef]
- Cohen, J. Statistical Power Analysis for the Behavioral Sciences, 2nd ed.; L. Erlbaum Associates: Hillsdale, NJ, USA, 1988. [Google Scholar]
- Cohen, J. Statistical Power Analysis for the Behavioral Sciences; Academic Press: New York, NY, USA, 1969. [Google Scholar]
- Kurt, E.E.; Büyükturan, B.; Büyükturan, Ö.; Erdem, H.R.; Tuncay, F. Effects of Ai Chi on balance, quality of life, functional mobility, and motor impairment in patients with Parkinson’s disease. Disabil. Rehabil. 2018, 40, 791–797. [Google Scholar] [CrossRef] [PubMed]
- Ansari, S.; Hosseinkhanzadeh, A.A.; AdibSaber, F.; Shojaei, M.; Daneshfar, A. The Effects of Aquatic Versus Kata Techniques Training on Static and Dynamic Balance in Children with Autism Spectrum Disorder. J. Autism. Dev. Disord. 2021, 51, 3180–3186. [Google Scholar] [CrossRef] [PubMed]
- Pinto, C.; Salazar, A.P.; Marchese, R.R.; Stein, C.; Pagnussat, A.S. The Effects of Hydrotherapy on Balance, Functional Mobility, Motor Status, and Quality of Life in Patients with Parkinson Disease: A Systematic Review and Meta-analysis. PM&R 2019, 11, 278–291. [Google Scholar] [CrossRef]
- Lambeck, J.; Gamper, U.N. The halliwick concept. In Comprehensive Aquatic Therapy, 3rd ed.; Washington State University Publishing: Pullman, WA, USA, 2011. [Google Scholar]
- Gresswell, A.; Maes, J.P. Principles of Halliwick and Its Application for Children and Adults with Neurological Conditions. HACP Study Day. 2000. Available online: https://www.halliwick.org.uk/wp-content/uploads/2015/11/aqualines5.pdf (accessed on 1 May 2023).
- Marinho-Buzelli, A.R.; Bonnyman, A.M.; Verrier, M.C. The effects of aquatic therapy on mobility of individuals with neurological diseases: A systematic review. Clin. Rehabil. 2015, 29, 741–751. [Google Scholar] [CrossRef]
- Sato, D.; Yamashiro, K.; Yamazaki, Y.; Tsubaki, A.; Onishi, H.; Takehara, N.; Maruyama, A. Site Specificity of Changes in Cortical Oxyhaemoglobin Concentration Induced by Water Immersion. Adv. Exp. Med. Biol. 2017, 977, 233–240. [Google Scholar] [CrossRef]
- Pereira, C.M.M.; Vale, J.D.S.P.D.; Oliveira, W.P.D.; Pinto, D.D.S.; Cal, R.V.R.; Azevedo, Y.J.D.; Bahmad, F., Jr. Aquatic physiotherapy: A vestibular rehabilitation option. Braz. J. Otorhinolaryngol. 2021, 87, 649–654. [Google Scholar] [CrossRef]
- Sigmundsson, H.; Hopkins, B. Baby swimming: Exploring the effects of early intervention on subsequent motor abilities. Child Care Health Dev. 2010, 36, 428–430. [Google Scholar] [CrossRef]
- Mortimer, R.; Privopoulos, M.; Kumar, S. The effectiveness of hydrotherapy in the treatment of social and behavioral aspects of children with autism spectrum disorders: A systematic review. J. Multidiscip. Healthc. 2014, 7, 93–104. [Google Scholar] [CrossRef] [PubMed]
- Begum, Z.; Subramanian, V.; Raghunath, G.; Gurusamy, K.; Vijayaraghavan, R.; Sivanesan, S. Efficacy of different intensity of aquatic exercise in enhancing remyelination and neuronal plasticity using cuprizone model in male Wistar rats. Adv. Clin. Exp. Med. 2022, 31, 999–1009. [Google Scholar] [CrossRef] [PubMed]
- Yaggie, J.A.; Campbell, B.M. Effects of balance training on selected skills. J. Strength Cond. Res. 2006, 20, 422–428. [Google Scholar] [CrossRef]
- Lu, C.; Chen, L. Review and Enlightenment of Research on Competitive Curling. China Sport Sci. Technol. 2022, 58, 3–9. [Google Scholar] [CrossRef]
- Pojskic, H.; McGawley, K.; Gustafsson, A.; Behm, D.G. The Reliability and Validity of a Novel Sport-Specific Balance Test to Differentiate Performance Levels in Elite Curling Players. J. Sports Sci. Med. 2020, 19, 337–346. [Google Scholar]
- Bressel, E.; Yonker, J.C.; Kras, J.; Heath, E.M. Comparison of static and dynamic balance in female collegiate soccer, basketball, and gymnastics athletes. J. Athl. Train. 2007, 42, 42–46. [Google Scholar]
- Thorpe, J.L.; Ebersole, K.T. Unilateral balance performance in female collegiate soccer athletes. J. Strength Cond. Res. 2008, 22, 1429–1433. [Google Scholar] [CrossRef]
- Reeser, J.C.; Berg, R.L. Self reported injury patterns among competitive curlers in the United States: A preliminary investigation into the epidemiology of curling injuries. Br. J. Sports Med. 2004, 38, E29. [Google Scholar] [CrossRef]
- Agiovlasitis, S.; McCubbin, J.A.; Yun, J.; Mpitsos, G.; Pavol, M.J. Effects of Down syndrome on three-dimensional motion during walking at different speeds. Gait Posture 2009, 30, 345–350. [Google Scholar] [CrossRef]
- Boswell, B. Comparison of two methods of improving dynamic balance of mentally retarded children. Percept. Mot. Skills 1991, 73 Pt 1, 759–764. [Google Scholar] [CrossRef] [PubMed]
- Keller, M.; Pfusterschmied, J.; Buchecker, M.; Müller, E.; Taube, W. Improved postural control after slackline training is accompanied by reduced H-reflexes. Scand J. Med. Sci. Sports 2012, 22, 471–477. [Google Scholar] [CrossRef] [PubMed]
- Taube, W.; Gruber, M.; Beck, S.; Faist, M.; Gollhofer, A.; Schubert, M. Cortical and spinal adaptations induced by balance training: Correlation between stance stability and corticospinal activation. Acta Physiol. 2007, 189, 347–358. [Google Scholar] [CrossRef]
- Taube, W.; Kullmann, N.; Leukel, C.; Kurz, O.; Amtage, F.; Gollhofer, A. Differential reflex adaptations following sensorimotor and strength training in young elite athletes. Int. J. Sports Med. 2007, 28, 999–1005. [Google Scholar] [CrossRef] [PubMed]
- Indrayan, A.; Mishra, A. The importance of small samples in medical research. J. Postgrad. Med. 2021, 67, 219–223. [Google Scholar] [CrossRef] [PubMed]
- Lancioni, G.E.; Singh, N.N.; O’Reilly, M.F.; Sigafoos, J.; Alberti, G.; Perilli, V.; Zimbaro, C.; Boccasini, A.; Mazzola, C.; Russo, R. Promoting physical activity in people with intellectual and multiple disabilities through a basic technology-aided program. J. Intellect. Disabil. 2018, 22, 113–124. [Google Scholar] [CrossRef] [PubMed]
- Gueita-Rodriguez, J.; Hoyas-Avila, S.; Palacios-Cena, D.; Molina-Rueda, F. Efectos de la inmersion vertical en el agua sobre el sistema nervioso: Revision sistematica [Effects of vertical water immersion on the nervous system: A systematic review]. Rev. Neurol. 2019, 68, 181–189. [Google Scholar] [CrossRef]



| Phase | Exercise Program | Example Activity | Duration |
|---|---|---|---|
| 1 | Preparation activities | 8~10 min | |
| Warm-up | Jogging, Free-Standing Exercises. | ||
| Fundamental aquatic skills practice | 5 min | ||
| Deep breathing in water | Execute a series of 15 deep breaths to enhance respiratory control. | ||
| Floating practice | Attain an unassisted prone float for a duration of 10 s. | ||
| Halliwick ten-point program | 40 min | ||
| Transversal rotation control | Ability to control any rotation around the front cross axis. | ||
| Sagittal rotation control | Ability to control any rotation around the sagittal axis (anterior/posterior). | ||
| Longitudinal rotation control | Ability to control any rotation around the sagittal (longitudinal) axis. | ||
| Relaxation exercises | 5 min | ||
| Free activity | Drilling into the swimming circle and floating freely in the water. | ||
| Deep breathing in water | Continuously take 15 deep breaths. | ||
| 2 | Preparation activities | 8~10 min | |
| Warm-up | Jogging, Free-Standing Exercises. | ||
| Fundamental aquatic skills practice | 5 min | ||
| Deep breathing in water | Execute a series of 30 deep breaths to enhance respiratory control. | ||
| Floating practice | Attain an unassisted prone float for a duration of 15 s. | ||
| Freestyle kick | 40 min | ||
| Poolside leg striking exercises | 6 sets of 60 s. | ||
| Freestyle kick | 20 × 25 m freestyle kick. | ||
| Relaxation exercises | 5 min | ||
| Free activity | Drilling into the swimming circle and floating freely in the water. | ||
| Deep breathing in water | Continuously take 30 deep breaths. |
| Phase | Exercise Program | Example Activity | Duration |
|---|---|---|---|
| 1 | Preparation activities | 8~10 min | |
| Warm-up | Jogging, Free-Standing Exercises. | ||
| Body control exercises | 15 min | ||
| Walk on tiptoe | Tiptoe walk, 4 sets of 7.5 m. | ||
| Lunge exercise | Squat in a lunge position and hold for 10 s, practicing 4 sets of 10 s on each side of the leg. | ||
| Floor curling basic moves exercise | |||
| Curling grip exercise | Hook the curling handle with the fingers together with force, hold the curling handle with the palm of the hand empty and the tiger’s mouth in the direction of the opposite shoulder position. | 5 min | |
| Unarmed imitation curling practice | Once the lunge is complete, the opposite hand simulates pushing the curling motion, practicing 4 sets of 6 reps on each side. | 25 min | |
| Relaxation stretching | 5 min | ||
| Stretching exercise | Stretching exercise. | ||
| 2 | Preparation activities | 8~10 min | |
| Warm-up | Jogging, Free-Standing Exercises. | ||
| Body control exercises | 15 min | ||
| Walk on tiptoe | Tiptoe walk, 4 sets of 15 m. | ||
| One-legged stand | One foot off the ground, hold for 1 min, but you can drop it halfway through, 2 sets of 1 min each on the left and right sides. | ||
| Squat exercise | Squat and stand up, 3 sets of 10 reps. | ||
| Curling moves practice | 30 min | ||
| Pushing movements | Exercises using cardboard for pushing movements, 5 sets of 10 reps. | ||
| Pushing movements | Use a floor curler for pushing movements, 5 sets of 10 reps. | ||
| Floor curling games | Floor curling passes in pairs. | ||
| Relaxation | 5 min | ||
| Relaxation stretching | Stretching exercise. |
| Aquatic Exercise Group (n = 14) | Floor Curling Group (n = 14) | Control Group (n = 14) | F | p | η2 | |
|---|---|---|---|---|---|---|
| M ± SD | M ± SD | M ± SD | ||||
| Age (years) | 10.79 ± 1.05 | 10.50 ± 1.02 | 10.43 ± 1.09 | 0.450 | 0.641 | 0.023 |
| BMI (kg/m2) | 19.25 ± 1.90 | 19.69 ± 1.91 | 19.94 ± 1.57 | 0.541 | 0.586 | 0.027 |
| PAQ-C (score) | 1.81 ± 0.35 | 1.78 ± 0.20 | 1.74 ± 0.26 | 0.238 | 0.790 | 0.012 |
| IQ (score) | 39.21 ± 11.98 | 38.21 ± 13.73 | 40.14 ± 13.24 | 0.077 | 0.926 | 0.004 |
| Berg (score) | 42.64 ± 2.92 | 43.50 ± 4.07 | 43.71 ± 3.02 | 0.394 | 0.677 | 0.020 |
| Lower limb muscle strength (KG) | ||||||
| Left hip extensor muscles | 10.88 ± 1.65 | 10.88 ± 2.62 | 11.74 ± 1.96 | 0.766 | 0.472 | 0.038 |
| Right hip extensor muscles | 11.13 ± 1.79 | 10.75 ± 2.24 | 11.86 ± 1.82 | 1.161 | 0.324 | 0.056 |
| Left hip flexor muscles | 18.89 ± 2.28 | 19.40 ± 2.50 | 19.76 ± 2.05 | 0.506 | 0.607 | 0.025 |
| Right hip flexor muscles | 18.84 ± 2.37 | 19.16 ± 2.77 | 19.78 ± 1.66 | 0.593 | 0.557 | 0.030 |
| Left knee extensor muscles | 23.57 ± 2.07 | 23.74 ± 2.72 | 22.95 ± 2.20 | 0.442 | 0.646 | 0.022 |
| Right knee extensor muscles | 23.81 ± 2.13 | 23.63 ± 2.71 | 23.02 ± 1.95 | 0.461 | 0.634 | 0.023 |
| Left knee flexor muscles | 21.46 ± 1.32 | 21.82 ± 1.77 | 21.96 ± 1.66 | 0.367 | 0.695 | 0.018 |
| Right knee flexor muscles | 21.56 ± 1.38 | 21.79 ± 1.44 | 22.51 ± 1.84 | 1.410 | 0.256 | 0.067 |
| Left toe extensor muscles | 7.54 ± 1.12 | 7.86 ± 1.22 | 7.63 ± 1.42 | 0.242 | 0.787 | 0.012 |
| Right toe extensor muscles | 7.95 ± 1.27 | 7.98 ± 1.43 | 8.09 ± 1.35 | 0.044 | 0.957 | 0.002 |
| Left ankle dorsiflexor muscles | 9.84 ± 1.26 | 10.00 ± 1.40 | 9.69 ± 0.94 | 0.234 | 0.792 | 0.012 |
| Right ankle dorsiflexor muscles | 9.97 ± 1.44 | 10.41 ± 1.10 | 10.37 ± 1.01 | 0.573 | 0.569 | 0.029 |
| Aquatic Exercise Group (n = 14) | Floor Curling Group (n = 14) | Control Group (n = 14) | F | p | η2 | |
|---|---|---|---|---|---|---|
| M ± SD | M ± SD | M ± SD | ||||
| Berg (score) | 47.21 ± 2.83 | 47.36 ± 3.99 | 44.00 ± 3.33 | 4.319 | 0.020 | 0.181 |
| Lower limb muscle strength (KG) | ||||||
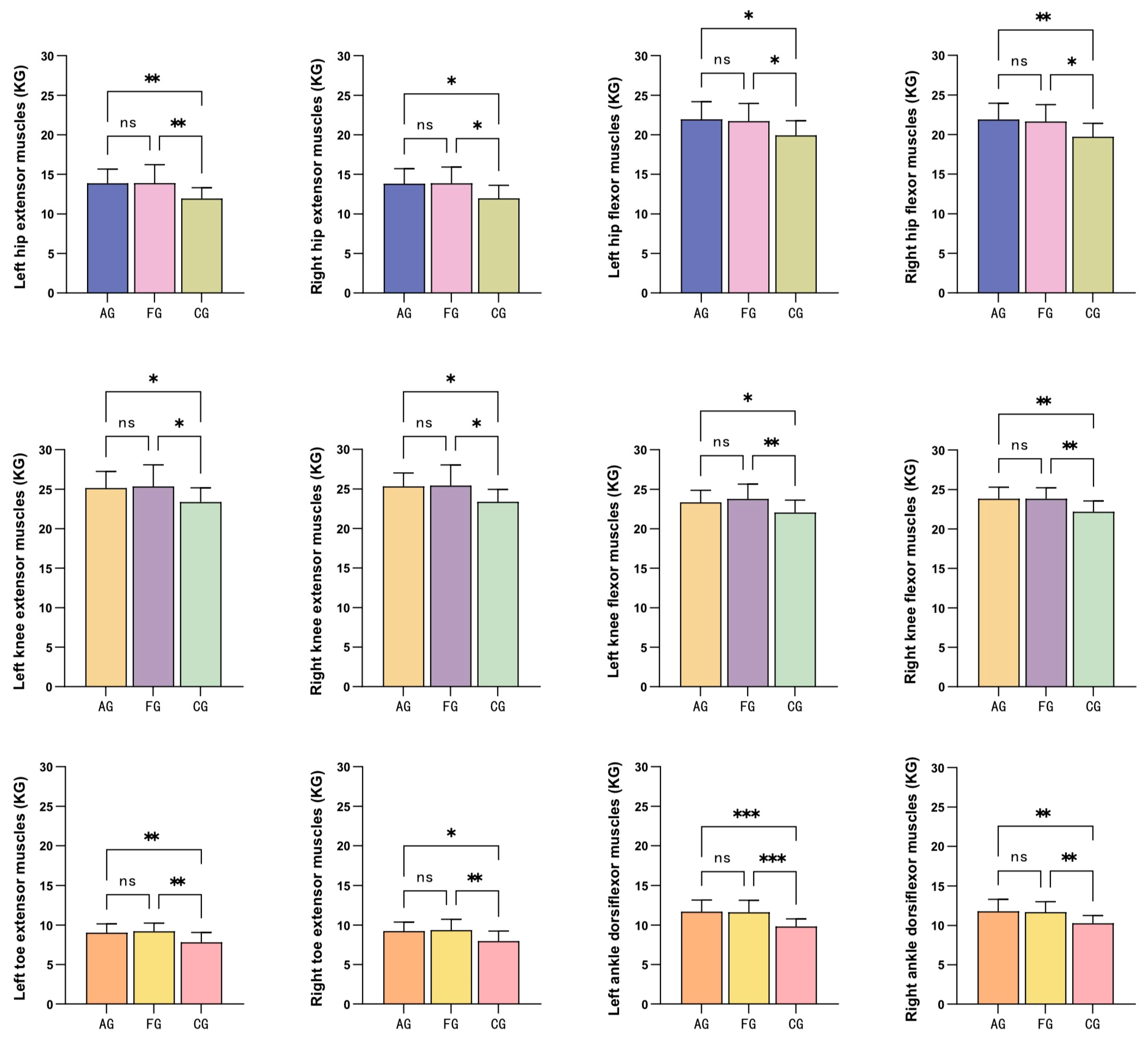
| Left hip extensor muscles | 13.88 ± 1.79 | 13.89 ± 2.33 | 11.94 ± 1.39 | 5.038 | 0.011 | 0.205 |
| Right hip extensor muscles | 13.81 ± 1.92 | 13.87 ± 2.04 | 11.98 ± 1.63 | 4.633 | 0.016 | 0.192 |
| Left hip flexor muscles | 21.95 ± 2.23 | 21.73 ± 2.23 | 19.94 ± 1.85 | 3.827 | 0.030 | 0.164 |
| Right hip flexor muscles | 21.91 ± 2.06 | 21.65 ± 2.12 | 19.74 ± 1.68 | 5.110 | 0.011 | 0.208 |
| Left knee extensor muscles | 25.14 ± 2.10 | 25.36 ± 2.73 | 23.38 ± 1.81 | 3.270 | 0.049 | 0.144 |
| Right knee extensor muscles | 25.31 ± 1.71 | 25.43 ± 2.61 | 23.38 ± 1.56 | 4.570 | 0.016 | 0.190 |
| Left knee flexor muscles | 23.34 ± 1.53 | 23.78 ± 1.86 | 22.05 ± 1.59 | 4.062 | 0.025 | 0.172 |
| Right knee flexor muscles | 23.82 ± 1.47 | 23.84 ± 1.40 | 22.17 ± 1.37 | 6.426 | 0.004 | 0.248 |
| Left toe extensor muscles | 9.02 ± 1.12 | 9.21 ± 1.03 | 7.81 ± 1.24 | 6.220 | 0.005 | 0.242 |
| Right toe extensor muscles | 9.24 ± 1.13 | 9.37 ± 1.37 | 7.96 ± 1.26 | 5.346 | 0.009 | 0.215 |
| Left ankle dorsiflexor muscles | 11.70 ± 1.47 | 11.63 ± 1.51 | 9.83 ± 0.95 | 8.817 | 0.001 | 0.311 |
| Right ankle dorsiflexor muscles | 11.81 ± 1.51 | 11.69 ± 1.33 | 10.29 ± 0.98 | 6.011 | 0.005 | 0.236 |
| Aquatic Exercise Group (n = 14) | Floor Curling Group (n = 14) | Control Group (n = 14) | ||||
|---|---|---|---|---|---|---|
| Change M ± SD | d | Change M ± SD | d | Change M ± SD | d | |
| Berg (total score) | 4.57 ± 1.55 | 1.56 | 3.86 ± 1.83 | 0.95 | 0.29 ± 1.49 | 0.09 |
| Lower limb muscle strength (KG) | ||||||
| Left hip extensor muscles | 3.00 ± 1.34 | 1.82 | 3.01 ± 0.89 | 1.15 | 0.20 ± 0.99 | 0.10 |
| Right hip extensor muscles | 2.69 ± 1.19 | 1.50 | 3.13 ± 0.87 | 1.40 | 0.12 ± 0.44 | 0.07 |
| Left hip flexor muscles | 3.06 ± 1.04 | 1.34 | 2.33 ± 1.37 | 0.93 | 0.18 ± 0.75 | 0.09 |
| Right hip flexor muscles | 3.06 ± 1.18 | 1.29 | 2.49 ± 1.11 | 0.90 | −0.04 ± 0.57 | −0.03 |
| Left knee extensor muscles | 1.57 ± 0.52 | 0.76 | 1.61 ± 0.71 | 0.59 | 0.43 ± 0.67 | 0.19 |
| Right knee extensor muscles | 1.50 ± 0.93 | 0.71 | 1.80 ± 0.63 | 0.66 | 0.36 ± 0.86 | 0.18 |
| Left knee flexor muscles | 1.89 ± 1.52 | 1.43 | 1.96 ± 0.51 | 1.10 | 0.09 ± 1.33 | 0.06 |
| Right knee flexor muscles | 2.26 ± 0.55 | 1.64 | 2.05 ± 0.10 | 1.42 | −0.34 ± 0.74 | −0.19 |
| Left toe extensor muscles | 1.49 ± 0.35 | 1.33 | 1.35 ± 0.62 | 1.10 | 0.19 ± 1.11 | 0.13 |
| Right toe extensor muscles | 1.29 ± 0.70 | 1.02 | 1.39 ± 0.42 | 0.97 | −0.13 ± 1.19 | −0.10 |
| Left ankle dorsiflexor muscles | 1.86 ± 0.34 | 1.48 | 1.63 ± 0.80 | 1.16 | 0.143 ± 0.60 | 0.15 |
| Right ankle dorsiflexor muscles | 1.84 ± 0.56 | 1.28 | 1.28 ± 0.50 | 1.17 | −0.09 ± 0.81 | −0.08 |
Disclaimer/Publisher’s Note: The statements, opinions and data contained in all publications are solely those of the individual author(s) and contributor(s) and not of MDPI and/or the editor(s). MDPI and/or the editor(s) disclaim responsibility for any injury to people or property resulting from any ideas, methods, instructions or products referred to in the content. |
© 2024 by the authors. Licensee MDPI, Basel, Switzerland. This article is an open access article distributed under the terms and conditions of the Creative Commons Attribution (CC BY) license (https://creativecommons.org/licenses/by/4.0/).
Share and Cite
Zhao, P.; Zhu, G.; Chen, S.; Pan, Y.; Chen, K.; Huang, L.; Guo, L. Effects of Aquatic Exercise and Floor Curling on Balance Ability and Lower Limb Muscle Strength in Children with Intellectual Disabilities: A Pilot Study in China. Children 2024, 11, 85. https://doi.org/10.3390/children11010085
Zhao P, Zhu G, Chen S, Pan Y, Chen K, Huang L, Guo L. Effects of Aquatic Exercise and Floor Curling on Balance Ability and Lower Limb Muscle Strength in Children with Intellectual Disabilities: A Pilot Study in China. Children. 2024; 11(1):85. https://doi.org/10.3390/children11010085
Chicago/Turabian StyleZhao, Peiting, Gaohui Zhu, Sha Chen, Yu Pan, Kai Chen, Li Huang, and Liya Guo. 2024. "Effects of Aquatic Exercise and Floor Curling on Balance Ability and Lower Limb Muscle Strength in Children with Intellectual Disabilities: A Pilot Study in China" Children 11, no. 1: 85. https://doi.org/10.3390/children11010085
APA StyleZhao, P., Zhu, G., Chen, S., Pan, Y., Chen, K., Huang, L., & Guo, L. (2024). Effects of Aquatic Exercise and Floor Curling on Balance Ability and Lower Limb Muscle Strength in Children with Intellectual Disabilities: A Pilot Study in China. Children, 11(1), 85. https://doi.org/10.3390/children11010085
