Riding a Mechanical Scooter from the Inconvenient Side Promotes Muscular Balance Development in Children
Abstract
1. Introduction
2. Materials and Methods
2.1. Participants
2.2. Testing Procedures
2.2.1. 20 m Sprint Test
2.2.2. 20 m Ride Test
2.2.3. Muscle Activity Recording
2.3. Statistics Analysis
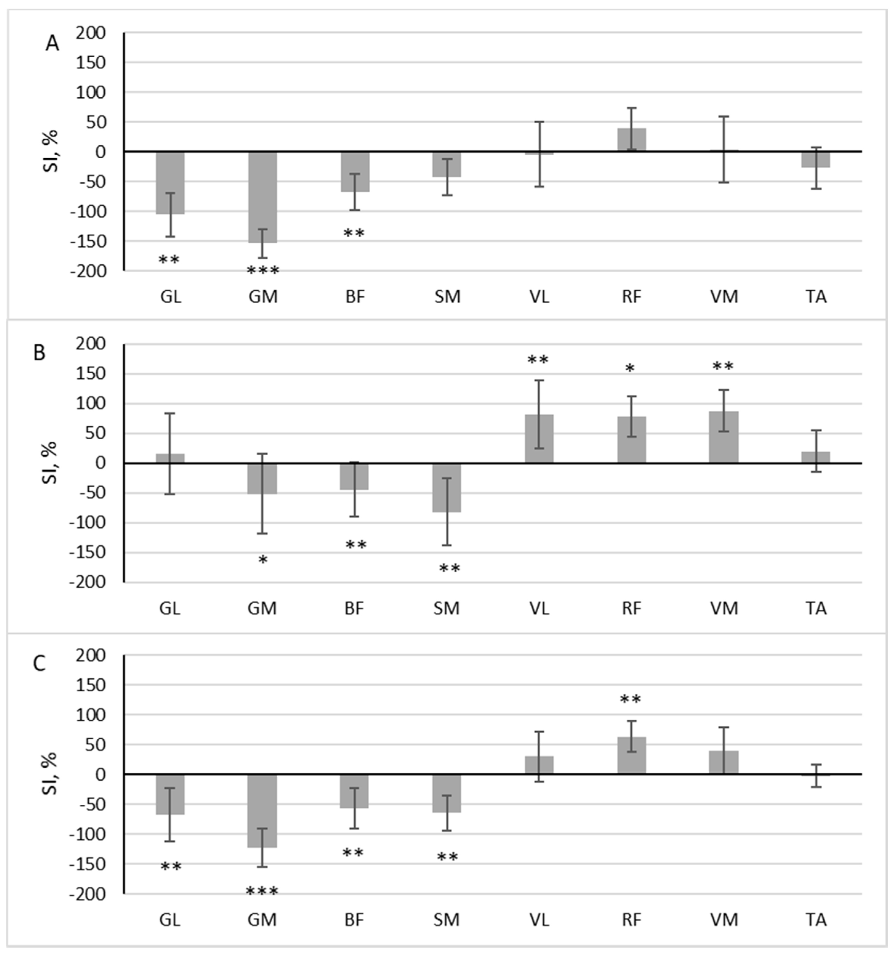
3. Results
3.1. Sprint Running and Riding Duration
3.2. Muscle Activity during Sprint Running
3.3. EMG during Scooter Riding from the Convenient Side
3.4. EMG during Scooter Riding from the Inconvenient Side
4. Discussion
4.1. Limitations
4.2. Future Directions
5. Conclusions
Author Contributions
Funding
Institutional Review Board Statement
Informed Consent Statement
Data Availability Statement
Conflicts of Interest
References
- Merlo, C.L.; Jones, S.E.; Michael, S.L.; Chen, T.J.; Sliwa, S.A.; Lee, S.H.; Brener, N.D. Dietary and Physical Activity Behaviors Among High School Students—Youth Risk Behavior Survey. MMWR Suppl. 2020, 69, 64–76. [Google Scholar] [CrossRef]
- Tannehill, D.; MacPhail, A.; Walsh, J.; Woods, C. What young people say about physical activity: The Children’s Sport Participation and Physical Activity (CSPPA) study. Sport Educ. Soc. 2013, 20, 442–462. [Google Scholar] [CrossRef]
- Hulteen, R.M.; Smith, J.J.; Morgan, P.J.; Barnett, L.M.; Hallal, P.C.; Colyvas, K.; Lubans, D.R. Global participation in sport and leisure-time physical activities: A systematic review and meta-analysis. Prev. Med. 2017, 95, 14–25. [Google Scholar] [CrossRef]
- Unkuri, J.H.; Salminen, P.; Kallio, P.; Kosola, S. Kick Scooter Injuries in Children and Adolescents: Minor Fractures and Bruise. Scand. J. Surg. 2018, 107, 350–355. [Google Scholar] [CrossRef] [PubMed]
- Keum, M.A.; Cho, M.J. Unpowered Scooter Injury in Children at a Korea Level I Trauma Center. Front. Pediatr. 2021, 9, 561654. [Google Scholar] [CrossRef] [PubMed]
- Ladenhauf, H.N.; Graziano, J.; Marx, R.G. Anterior Cruciate Ligament Prevention Strategies: Are They Effective in Young Athletes—Current Concepts and Review of Literature. Curr. Opin. Pediatr. 2013, 25, 64–71. [Google Scholar] [CrossRef]
- Gagnier, J.J.; Morgenstern, H.; Chess, L. Interventions Designed to Prevent Anterior Cruciate Ligament Injuries in Adolescents and Adults: A Systematic Review and Meta-Analysis. Am. J. Sports Med. 2013, 41, 1952–1962. [Google Scholar] [CrossRef]
- Eagle, S.R.; Keenan, K.A.; Connaboy, C.; Wohleber, M.; Simonson, A.; Nindl, B.C. Bilateral Quadriceps Strength Asymmetry Is Associated with Previous Knee Injury in Military Special Tactics Operators. J. Strength Cond. Res. 2019, 33, 89–94. [Google Scholar] [CrossRef]
- Siebers, H.L.; Eschweiler, J.; Migliorini, F.; Quack, V.M.; Tingart, M.; Betsch, M. Changes in Muscle Activities and Kinematics Due to Simulated Leg Length Inequalities. Biomed. Tech. 2021, 66, 437–447. [Google Scholar] [CrossRef]
- Benjafield, A.J.; Killingback, A.; Robertson, C.J.; Adds, P.J. An Investigation into the Architecture of the Vastus Medialis Oblique Muscle in Athletic and Sedentary Individuals: An in Vivo Ultrasound Study: VMO Architecture in Athletic and Sedentary Subjects. Clin. Anat. 2015, 28, 262–268. [Google Scholar] [CrossRef]
- Vigotsky, A.D.; Halperin, I.; Lehman, G.J.; Trajano, G.S.; Vieira, T.M. Interpreting Signal Amplitudes in Surface Electromyography Studies in Sport and Rehabilitation Sciences. Front. Physiol. 2018, 8, 985. [Google Scholar] [CrossRef]
- Marchetti, P.H.; Guiselini, M.A.; da Silva, J.J.; Tucker, R.; Behm, D.G.; Brown, L.E. Balance and Lower Limb Muscle Activation Between In-Line and Traditional Lunge Exercises. J. Hum. Kinet. 2018, 62, 15–22. [Google Scholar] [CrossRef]
- Daunoraviciene, K.; Ziziene, J.; Pauk, J.; Juskeniene, G.; Raistenskis, J. EMG Based Analysis of Gait Symmetry in Healthy Children. Sensors 2021, 21, 5983. [Google Scholar] [CrossRef]
- Gazendam, M.G.J.; Hof, A.L. Averaged EMG Profiles in Jogging and Running at Different Speeds. Gait Posture 2007, 25, 604–614. [Google Scholar] [CrossRef] [PubMed]
- Hernández-Stender, C.L.; Molina-Rueda, F.; Cuesta-Gómez, A.; Alguacil-Diego, I.M. Lower Limb Muscle Activation during Outdoor Running: Differences between Sprinters, Middle-Distance and Long-Distance Runners. Sports Biomech. 2021, 1–12. [Google Scholar] [CrossRef] [PubMed]
- Howard, R.M.; Conway, R.; Harrison, A.J. Muscle Activity in Sprinting: A Review. Sports Biomech. 2018, 17, 1–17. [Google Scholar] [CrossRef] [PubMed]
- Núñez, J.F.; Fernandez, I.; Torres, A.; García, S.; Manzanet, P.; Casani, P.; Suarez-Arrones, L. Strength Conditioning Program to Prevent Adductor Muscle Strains in Football: Does it Really Help Professional Football Players? Int. J. Environ. Res. Public Health 2020, 17, 6408. [Google Scholar] [CrossRef] [PubMed]
- Gonzalo-Skok, O.; Tous-Fajardo, J.; Suarez-Arrones, L.; Arjol, J.L.; Casajús, J.A.; Mendez-Villanueva, A. Single-Leg Power Output and Between-Limbs Imbalances in Team-Sport Players: Unilateral Versus Bilateral Combined Resistance Training. Int. J. Sports Physiol. Perform. 2017, 12, 106–114. [Google Scholar] [CrossRef] [PubMed]
- Kamandulis, S.; Venckūnas, T.; Masiulis, N.; Matulaitis, K.; Balčiūnas, M.; Peters, D.; Skurvydas, A. Relationship between General and Specific Coordination in 8- to 17-Year-Old Male Basketball Players. Percept. Mot. Skills 2013, 117, 821–836. [Google Scholar] [CrossRef]
- Wen, N.; Dalbo, V.J.; Burgos, B.; Pyne, D.B.; Scanlan, A.T. Power Testing in Basketball: Current Practice and Future Recommendations. J. Strength Cond. Res. 2018, 32, 2677–2691. [Google Scholar] [CrossRef]
- Robinson, R.O.; Herzog, W.; Nigg, B.M. Use of Force Platform Variables to Quantify the Effects of Chiropractic Manipulation on Gait Symmetry. J. Manip. Physiol. Ther. 1987, 10, 172–176. [Google Scholar]
- Cohen, J. Statistical Power Analysis for the Behavioral Sciences, 2nd ed.; Lawrence Erlbaum Associates: Hillside, NJ, USA, 1988; pp. 23–24. [Google Scholar]
- Schmitt, L.C.; Paterno, M.V.; Ford, K.R.; Myer, G.D.; Hewett, T.E. Strength Asymmetry and Landing Mechanics at Return to Sport after Anterior Cruciate Ligament Reconstruction. Med. Sci. Sports Exerc. 2015, 47, 1426–1434. [Google Scholar] [CrossRef] [PubMed]
- Kyritsis, P.; Bahr, R.; Landreau, P.; Miladi, R.; Witvrouw, E. Likelihood of ACL Graft Rupture: Not Meeting Six Clinical Discharge Criteria before Return to Sport Is Associated with a Four Times Greater Risk of Rupture. Br. J. Sports Med. 2016, 50, 946–951. [Google Scholar] [CrossRef] [PubMed]
- Ebert, J.R.; Edwards, P.; Yi, L.; Joss, B.; Ackland, T.; Carey-Smith, R.; Buelow, J.-U.; Hewitt, B. Strength and Functional Symmetry Is Associated with Post-Operative Rehabilitation in Patients Following Anterior Cruciate Ligament Reconstruction. Knee Surg. Sports Traumatol. Arthrosc. 2018, 26, 2353–2361. [Google Scholar] [CrossRef]
- Croisier, J.-L.; Ganteaume, S.; Binet, J.; Genty, M.; Ferret, J.-M. Strength Imbalances and Prevention of Hamstring Injury in Professional Soccer Players: A Prospective Study. Am. J. Sports Med. 2008, 36, 1469–1475. [Google Scholar] [CrossRef]
- Fousekis, K.; Tsepis, E.; Poulmedis, P.; Athanasopoulos, S.; Vagenas, G. Intrinsic Risk Factors of Non-Contact Quadriceps and Hamstring Strains in Soccer: A Prospective Study of 100 Professional Players. Br. J. Sports Med. 2011, 45, 709–714. [Google Scholar] [CrossRef]
- Brumitt, J.; Heiderscheit, B.C.; Manske, R.C.; Niemuth, P.E.; Rauh, M.J. Lower Extremity Functional Tests and Risk of Injury in Division Iii Collegiate Athletes. Int. J. Sports Phys. Ther. 2013, 8, 216–227. [Google Scholar]
- Bishop, C.; Turner, A.; Read, P. Effects of Inter-Limb Asymmetries on Physical and Sports Performance: A Systematic Review. J. Sports Sci. 2018, 36, 1135–1144. [Google Scholar] [CrossRef]
- Gavilanes-Miranda, B.; De Gandarias, J.J.G.; Garcia, G.A. Walking and Jogging: Quantification of Muscle Activity of the Lower Extremities. In Advances in Applied Electromyography; Mizrahi, J., Ed.; InTech: London, UK, 2011. [Google Scholar] [CrossRef]
- Jandová, S. Laterality of Lower Limb and Plantar Pressure Symmetry While Walking in Young Adults. JHSE 2019, 14, 834–840. [Google Scholar] [CrossRef]
- Sousa, A.S.; Silva, A.; Tavares, J.M.R. Interlimb Relation during the Double Support Phase of Gait: An Electromyographic, Mechanical and Energy-Based Analysis. Proc. Inst. Mech. Eng. Part H 2013, 227, 327–333. [Google Scholar] [CrossRef]
- Filter, A.; Olivares-Jabalera, J.; Santalla, A.; Morente-Sánchez, J.; Robles-Rodríguez, J.; Requena, B.; Loturco, I. Curve Sprinting in Soccer: Kinematic and Neuromuscular Analysis. Int. J. Sports Med. 2020, 41, 744–750. [Google Scholar] [CrossRef]
- Pietraszewski, P.; Gołaś, A.; Krzysztofik, M.; Śrutwa, M.; Zając, A. Evaluation of Lower Limb Muscle Electromyographic Activity during 400 m Indoor Sprinting among Elite Female Athletes: A Cross-Sectional Study. Int. J. Environ. Res. Public Health 2021, 18, 13177. [Google Scholar] [CrossRef]
- Noro, K.; Hirai, H.; Okamoto, H.; Kogawa, D.; Kamimukai, C.; Nagao, H.; Kaneko, Y.; Hori, K.; Yamamoto, S.; Yamada, N.; et al. Inter-Limb Asymmetry of Equilibrium Regulation in the Legs of 10–11-Year-Old Boys during Overground Sprinting. In Proceedings of the 2021 43rd Annual International Conference of the IEEE Engineering in Medicine & Biology Society (EMBC), Guadalajara, Mexico, 1–5 November 2021; pp. 4787–4791. [Google Scholar] [CrossRef]
- Weishaupt, P. Die Wirbelsäulenstabilisierende Muskulatur Bei Golfspielern. Sport. Sportschaden 2000, 14, 55–58. [Google Scholar] [CrossRef] [PubMed]
- Gillet, B.; Begon, M.; Sevrez, V.; Berger-Vachon, C.; Rogowski, I. Adaptive Alterations in Shoulder Range of Motion and Strength in Young Tennis Players. J. Athl. Train. 2017, 52, 137–144. [Google Scholar] [CrossRef]
- Tsolakis, C.; Bogdanis, G.; Vagenas, G. Anthropometric Profile and Limb Asymmetries in Young Male and Female Fencers. J. Hum. Mov. Stud. 2006, 50, 201–216. [Google Scholar]
- Atkins, S.J.; Bentley, I.; Hurst, H.T.; Sinclair, J.K.; Hesketh, C. The Presence of Bilateral Imbalance of the Lower Limbs in Elite Youth Soccer Players of Different Ages. J. Strength Cond. Res. 2016, 30, 1007–1013. [Google Scholar] [CrossRef] [PubMed]
- Watanabe, K.; Yoshimura, A.; Holobar, A.; Yamashita, D.; Kunugi, S.; Hirono, T. Neuromuscular Characteristics of Front and Back Legs in Junior Fencers. Exp. Brain Res. 2022, 240, 2085–2096. [Google Scholar] [CrossRef]
- Mo, S.; Lau, F.O.Y.; Lok, A.K.Y.; Chan, Z.Y.S.; Zhang, J.H.; Shum, G.; Cheung, R.T.H. Bilateral Asymmetry of Running Gait in Competitive, Recreational and Novice Runners at Different Speeds. Hum. Mov. Sci. 2020, 71, 102600. [Google Scholar] [CrossRef]




| Age (Years) | Height (cm) | Weight (kg) | BMI (kg/m2) | |
|---|---|---|---|---|
| Boys (n = 3) | 6.6 (0.6) | 128.0 (9.2) | 28.5 (6.36) | 17.0 (0.5) |
| Girls (n = 6) | 7.5 (0.5) | 132.0 (5.8) | 29.6 (6.8) | 17.2 (2.0) |
| All (n = 9) | 7.2 (0.7) | 130.6 (6.8) | 29.3 (6.1) | 17.2 (1.7) |
Disclaimer/Publisher’s Note: The statements, opinions and data contained in all publications are solely those of the individual author(s) and contributor(s) and not of MDPI and/or the editor(s). MDPI and/or the editor(s) disclaim responsibility for any injury to people or property resulting from any ideas, methods, instructions or products referred to in the content. |
© 2023 by the authors. Licensee MDPI, Basel, Switzerland. This article is an open access article distributed under the terms and conditions of the Creative Commons Attribution (CC BY) license (https://creativecommons.org/licenses/by/4.0/).
Share and Cite
Mickevicius, M.; Satkunskiene, D.; Sipaviciene, S.; Kamandulis, S. Riding a Mechanical Scooter from the Inconvenient Side Promotes Muscular Balance Development in Children. Children 2023, 10, 1064. https://doi.org/10.3390/children10061064
Mickevicius M, Satkunskiene D, Sipaviciene S, Kamandulis S. Riding a Mechanical Scooter from the Inconvenient Side Promotes Muscular Balance Development in Children. Children. 2023; 10(6):1064. https://doi.org/10.3390/children10061064
Chicago/Turabian StyleMickevicius, Mantas, Danguole Satkunskiene, Saule Sipaviciene, and Sigitas Kamandulis. 2023. "Riding a Mechanical Scooter from the Inconvenient Side Promotes Muscular Balance Development in Children" Children 10, no. 6: 1064. https://doi.org/10.3390/children10061064
APA StyleMickevicius, M., Satkunskiene, D., Sipaviciene, S., & Kamandulis, S. (2023). Riding a Mechanical Scooter from the Inconvenient Side Promotes Muscular Balance Development in Children. Children, 10(6), 1064. https://doi.org/10.3390/children10061064

