Evaluation of Knee Position Sense in Children with Motor Disabilities and Children with Typical Development: A Cross-Sectional Study
Abstract
1. Introduction
2. Methods
2.1. Participants
2.2. Knee Joint Position Sense
2.3. Motion Analysis
2.4. Data Analysis
2.5. Statistics
3. Results
3.1. JPS-Error
3.2. CAM
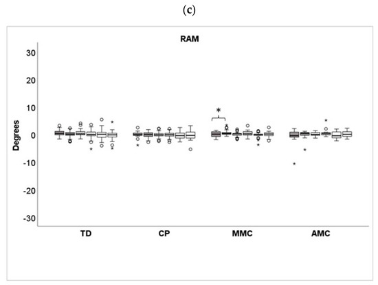
3.3. RAM
3.4. CAM vs. RAM
4. Discussion
5. Conclusions
Author Contributions
Funding
Institutional Review Board Statement
Informed Consent Statement
Data Availability Statement
Acknowledgments
Conflicts of Interest
Abbreviations
| TD | Typical Development |
| MMC | Myelomeningocele |
| AMC | Arthrogryposis Multiplex Congenita |
| CP | Cerebral Palsy |
| Knee70 | 70-degree knee flexion angle |
| Knee45 | 45-degree knee flexion angle |
| Knee20 | 20-degree knee flexion angle |
| JPS | Joint Position Sense |
| CA | Criterion Angle |
| RA | Reproduced Angle |
| CA-3s | Maintaining the CA for 3 s |
| RA-3s | Maintaining the RA for 3 s |
| CAM | Difference between CA and CA after maintaining the position for 3 s |
| RAM | Difference between RA and RA after maintaining the position for 3 s |
References
- Rosenbaum, P.; Paneth, N.; Leviton, A.; Goldstein, M.; Bax, M.; Damiano, D.; Dan, B.; Jacobsson, B. A report: The definition and classification of cerebral palsy April 2006. Dev. Med. Child Neurol. Suppl. 2007, 109, 8–14. [Google Scholar] [PubMed]
- McIntyre, S.; Goldsmith, S.; Webb, A.; Ehlinger, V.; Hollung, S.J.; McConnell, K.; Arnaud, C.; Smithers-Sheedy, H.; Oskoui, M.; Khandaker, G.; et al. Global, CP Prevalence Group*. Global prevalence of cerebral palsy: A systematic analysis. Dev. Med. Child Neurol. 2022, 64, 1494–1506. [Google Scholar] [CrossRef] [PubMed]
- Graham, H.K.; Rosenbaum, P.; Paneth, N.; Dan, B.; Lin, J.P.; Damiano, D.L.; Becher, J.G.; Gaebler-Spira, D.; Colver, A.; Reddihough, D.S.; et al. Cerebral palsy. Nat. Rev. Dis. Primers. 2016, 2, 15082. [Google Scholar] [CrossRef]
- Borelli, G.; Neviani, R.; Sghedoni, A.; Ovi, A.; Ferrari, A. La Fisioterapia Nella Paralisi Cerebrale Infantile. La Funzione Cammino; Springer: Milano, Italy, 2014; p. 50. (In Italian) [Google Scholar]
- Copp, A.J.; Adzick, N.S.; Chitty, L.S.; Fletcher, J.M.; Holmbeck, G.N.; Shaw, G.M. Spina bifida. Nat. Rev. Dis. Primers 2015, 30, 15007. [Google Scholar] [CrossRef] [PubMed]
- Bartonek, A.; Saraste, H. Factors influencing ambulation in myelomeningocele: A cross-sectional study. Dev. Med. Child. Neurol. 2001, 43, 253–260. [Google Scholar] [CrossRef]
- Ferrari, A.; Boccardi, S.; Licari, V. La stazione eretta ed il cammino nella spina bifida. In In Proceedings of the 14th National Congress of the Italian Society of Physical and Rehabilitative Medicine (SIMFER), Ferrara, Italy, 25–28 September 1985; pp. 162–204. [Google Scholar]
- Hall, J.G.; Kimber, E.; van Bosse, H.J.P. Genetics and Classifications. J Pediatr Orthop. 2017, 37 (Suppl. 1), S4–S8. [Google Scholar] [CrossRef]
- Hall, J.G. Arthrogryposis (multiple congenital contractures): Diagnostic approach to etiology, classification, genetics, and general principles. Eur. J. Med. Genet. 2014, 57, 464–472. [Google Scholar] [CrossRef]
- Eriksson, M.; Bartonek, Å.; Pontén, E.; Gutierrez-Farewik, E.M. Gait dynamics in the wide spectrum of children with arthrogryposis: A descriptive study. BMC Musculoskelet Disord. 2015, 16, 384. [Google Scholar] [CrossRef]
- Chu, V.W.T. Assessing Proprioception in Children: A Review. J. Mot. Behav. 2017, 49, 458–466. [Google Scholar] [CrossRef]
- Proske, U.; Gandevia, S.C. The proprioceptive senses: Their roles in signaling body shape, body position and movement, and muscle force. Physiol Rev. 2012, 92, 1651–1697. [Google Scholar] [CrossRef]
- Dietz, V. Proprioception and locomotor disorders. Nat. Rev. Neurosci. 2002, 3, 781–790. [Google Scholar] [CrossRef]
- Massion, J. Postural control system. Curr. Opin. Neurol. 1994, 4, 877–887. [Google Scholar] [CrossRef]
- Olsson, L.; Lund, H.; Henriksen, M.; Rogind, H.; Bliddal, H. Danneskiold-Samsøe, B. Test-retest reliability of a knee joint position sense measurement method in sitting and prone position. Adv. Physiother. 2004, 6, 37–47. [Google Scholar] [CrossRef]
- Bartonek, A.; Lidbeck, C.M.; Gutierrez-Farewik, E.M. Influence of External Visual Focus on Gait in Children with Bilateral Cerebral Palsy. Pediatr. Phys. Ther. 2016, 28, 393–399. [Google Scholar] [CrossRef]
- Bartonek, A.; Lidbeck, C.; Hellgren, K.; Gutierrez-Farewik, E. Head and Trunk. Movements During Turning Gait in Children with Cerebral Palsy. J. Mot. Behav. 2019, 51, 362–370. [Google Scholar] [CrossRef]
- Lidbeck, C.; Bartonek, Å. Motor function at increasing postural demands in children with bilateral cerebral palsy. Eur. J. Phys. Rehabil. Med. 2021, 57, 731–737. [Google Scholar] [CrossRef]
- Wingert, J.R.; Burton, H.; Sinclair, R.J.; Brunstrom, J.E.; Damiano, D.L. Joint-position sense and kinesthesia in cerebral palsy. Arch. Phys. Med. Rehabil. 2009, 90, 447–453. [Google Scholar] [CrossRef]
- Damiano, D.L.; Wingert, J.R.; Stanley, C.J.; Curatalo, L. Contribution of hip joint proprioception to static and dynamic balance in cerebral palsy: A case control study. J. Neuroeng. Rehabil. 2013, 10, 57. [Google Scholar] [CrossRef]
- Manikowska, F.; Chen, B.P.; Jóźwiak, M.; Lebiedowska, M.K. The role of exaggerated patellar tendon reflex in knee joint position sense in patients with cerebral palsy. Res. Dev. Disabil. 2015, 45–46, 253–260. [Google Scholar] [CrossRef]
- Delle Vedove, A.; Storbeck, M.; Heller, R.; Hölker, I.; Hebbar, M.; Shukla, A.; Magnusson, O.; Cirak, S.; Girisha, K.M.; O’Driscoll, M.; et al. Biallelic Loss of Proprioception-Related PIEZO2 Causes Muscular Atrophy with Perinatal Respiratory Distress, Arthrogryposis, and Scoliosis. Am. J. Hum. Genet. 2016, 99, 406–408. [Google Scholar] [CrossRef]
- Haliloglu, G.; Becker, K.; Temucin, C.; Talim, B.; Küçükşahin, N.; Pergande, M.; Motameny, S.; Nürnberg, P.; Aydingoz, U.; Topaloglu, H.; et al. Recessive PIEZO2 stop mutation causes distal arthrogryposis with distal muscle weakness, scoliosis and proprioception defects. J. Hum. Genet 2017, 62, 497–501. [Google Scholar] [CrossRef] [PubMed]
- Gutierrez, E.M.; Bartonek, A.; Haglund-Akerlind, Y.; Saraste, H. Characteristic gait kinematics in persons with lumbosacral myelomeningocele. Gait Posture 2013, 18, 170–177. [Google Scholar] [CrossRef] [PubMed]
- Pantall, A.; Teulier, C.; Ulrich, B.D. Changes in muscle activation patterns in response to enhanced sensory input during treadmill stepping in infants born with myelomeningocele. Hum. Mov. Sci. 2012, 31, 670–687. [Google Scholar] [CrossRef] [PubMed][Green Version]
- Sees, J.P.; Truong, W.H.; Novacheck, T.F.; Miller, F.; Georgiadis, A.G. What’s New in the Orthopaedic Treatment of Ambulatory Children with Cerebral Palsy Using Gait Analysis. J. Pediatr. Orthop. 2020, 6, 498–509. [Google Scholar] [CrossRef]
- Shobeiri, P.; Presedo, A.; Karimi, A.; Momtazmanesh, S.; Vosoughi, F.; Nabian, M.H. Orthopedic management of myelomeningocele with a multidisciplinary approach: A systematic review of the literature. J. Orthop. Surg. Res. 2021, 13, 494. [Google Scholar] [CrossRef]
- Hamdy, R.C.; van Bosse, H.; Altiok, H.; Abu-Dalu, K.; Kotlarsky, P.; Fafara, A.; Eidelman, M. Treatment and outcomes of arthrogryposis in the lower extremity. Am. J. Med. Genet. C Semin. Med. Genet. 2019, 181, 372–384. [Google Scholar] [CrossRef]
- Fridèn, T.; Roberts, D.; Zätterström, R.; Lindstrand, A.; Moritz, U. Proprioceptive defects after an anterior cruciate ligament rupture—The relation to associated anatomical lesions and subjective knee function. Knee Surg. Sports Traumatol. Arthrosc. 1997, 7, 226–231. [Google Scholar] [CrossRef]
- Barrett, R.S.; Lichtwark, G.A. Gross muscle morphology and structure in spastic cerebral palsy: A systematic review. Dev. Med. Child Neurol. 2010, 52, 794–804. [Google Scholar] [CrossRef]
- Palisano, R.J.; Rosenbaum, P.; Bartlett, D.; Livingston, M.H. Content validity of the expanded and revised Gross Motor Function Classification System. Dev. Med. Child Neurol. 2008, 50, 744–750. [Google Scholar] [CrossRef]
- Hoffer, M.M.; Feiwell, E.; Perry, R.; Perry, J.; Bonnett, C. Functional ambulation in patients with myelomeningocele. J. Bone Joint Surg. Am. 1973, 55, 137–148. [Google Scholar] [CrossRef]
- Hoffer, M.M.; Swank, S.; Eastman, F.; Clark, D.; Teitge, R. Ambulation in severe arthrogryposis. J. Pediatr. Orthop. 1983, 3, 293–296. [Google Scholar] [CrossRef]
- Hislop, H.J.; Montgomery, J. Daniels and Worthingham’s Muscle Testing, Techniques of Manual Examination, 8th ed.; Saunders Company: Philadelphia, PA, USA, 2007. [Google Scholar]
- Baert, I.A.; Mahmoudian, A.; Nieuwenhuys, A.; Jonkers, I.; Staes, F.; Luyten, F.P.; Truijen, S.; Verschueren, S.M. Proprioceptive accuracy in women with early and established knee osteoarthritis and its relation to functional ability, postural control, and muscle strength. Clin. Rheumatol. 2013, 32, 1365–1374. [Google Scholar] [CrossRef]
- Davis, R.; Ounpuu, S.; Tyburski, D.; Gage, J. A gait analysis data collection and reduction technique. Hum. Mov. Sci. 1991, 10, 575–587. [Google Scholar] [CrossRef]
- Stillman, B.C.; Tully, E.A.; McMeeken, J.M. Knee joint mobility and position sense in healthy young adults. Physiotherapy 2002, 9, 553–560. [Google Scholar] [CrossRef]
- Chen, F.C.; Pan, C.Y.; Chu, C.H.; Tsai, C.L.; Tseng, Y.T. Joint position sense of lower extremities is impaired and correlated with balance function in children with developmental coordination disorder. J. Rehabil. Med. 2020, 52, jrm00088. [Google Scholar] [CrossRef]
- Ituen, O.A.; Smits-Engelsman, B.; Ferguson, G.; Duysens, J. Judging heel height: A new test for proprioception while standing reveals that young hypermobile children perform better than controls. Gait Posture 2020, 75, 8–13. [Google Scholar] [CrossRef]
- Héroux, M.E.; Butler, A.A.; Robertson, L.S.; Fisher, G.; Gandevia, S.C. Proprioception: A new look at an old concept. J. Appl. Physiol. 2022, 132, 811–814. [Google Scholar] [CrossRef]
- Ma, S.; Dubin, A.E.; Romero, L.O.; Loud, M.; Salazar, A.; Chu, S.; Klier, N.; Masri, S.; Zhang, Y.; Wang, Y.; et al. Excessive mechanotransduction in sensory neurons causes joint contractures. Science 2023, 379, 201–206. [Google Scholar] [CrossRef]





| TD (n = 42) | CP (n = 37) | MMC (n = 21) | AMC (n = 19) | p-Value | |
|---|---|---|---|---|---|
| Age; median [min, max] years | 10.9 (6.7, 18) | 14.4 (6.4, 18) | 15.1 (8.7, 18) | 13.2 (5.8, 17.4) | 0.019 * |
| Height; median [min, max] cm | 152.5 (118, 189.8) | 154 (113.1, 178) | 149 (107.5, 176) | 150 (110, 179) | 0.302 |
| Weight; median [min, max] kg | 39.5 (22.1, 84.5) | 49.1 (21, 73) | 49.0 (26, 9) | 41.1 (18.2, 71.6) | 0.208 |
| Gender f/m | 22/20 | 12/25 | 11/10 | 9/10 | 0.290 |
| Orthopedic surgery, uni-and bilateral | |||||
| - | 13 (35) | 16 (76) | 18 (95) | <0.001 |
| 12 (32) | 15 (71) | 16 (84) | <0.001 | |
| 5 (14) | 13 (62) | 9 (47) | <0.001 | |
| 4 (11) | 7 (33) | 5 (26) | 0.103 | |
| Ambulatory function | GMFCS I: 12, II: 10, III:15 | Ca: 7 Ha: 7 N-f: 6 N-a: 1 | Ca: 16 Ha: 3 |
| Angle (Degrees) | n (Legs) | TD (n = 42) | n (Legs) | CP (n = 37) | n (Legs) | MMC (n = 21) | n (Legs) | AMC (n = 19) | p-Value |
|---|---|---|---|---|---|---|---|---|---|
| Median [min, max] | JPS error | ||||||||
| Left 70 | 42 | 3 (0, 12.1) | 37 | 1.7 (0, 9.6) | 21 | 1.8 (0, 10.2) | 17 | 1.7 (0.1, 5.9) | 0.517 |
| Right 70 | 42 | 2 (0, 11.2) | 37 | 1.6 (0, 24.2) | 21 | 2.5 (0.8, 6.9) | 15 | 3.7 (0.7, 10.9) | 0.073 |
| Left 45 | 42 | 1.8 (0, 11.1) | 37 | 2.3 (0, 14.9) | 20 | 2.8 (0.1, 9.2) | 19 | 1.3 (0.2, 5.2) | 0.201 |
| Right 45 | 42 | 2.4 (0.1, 20.4) | 37 | 1.6 (0, 11.7) | 21 | 2 (0.2, 7.5) | 18 | 2 (0.2, 10.2) | 0.460 |
| Left 20 | 41 | 2.2 (0.1, 20.6) | 26 | 3.6 (0.3, 14.3) | 18 | 2.4 (0, 8.6) | 16 | 2.3 (0.2, 15.4) | 0.096 |
| Right 20 | 42 | 2.49 (0.2, 10.6) | 26 | 1.87 (0.2, 17.1) | 19 | 1.53 (0.1, 6.3) | 16 | 2.24 (0.1, 12.5) | 0.383 |
| CAM | |||||||||
| Left 70 | 42 | 0.53 (0, 2.9) | 37 | 1.03 (0, 6.4) | 21 | 0.6 (0, 3.6) | 17 | 0.5 (0, 3.4) | 0.265 |
| Right 70 | 42 | 0.4 (0, 3.5) | 37 | 0.8 (0, 5.2) | 21 | 0.5 (0, 5.6) | 15 | 0.4 (0, 4.1) | 0.432 |
| Left 45 | 42 | 0.5 (0,4.4) | 37 | 1.3 (0, 20.1) | 20 | 0.8 (0.1, 3.5) | 19 | 0.4 (0.1, 3.5) | 0.056 |
| Right 45 | 42 | 0.6 (0, 3.5) | 37 | 1.2 (0, 11.7) | 21 | 0.8 (0, 8.6) | 18 | 0.8 (0.1, 2.6) | 0.062 |
| Left 20 | 41 | 0.74 (0, 5) | 26 | 2.01 (0, 16.6) | 18 | 0.85 (0, 4.3) | 16 | 1.09 (0, 7.5) | 0.133 |
| Right 20 | 42 | 0.75 (0, 4.2) | 26 | 1.26 (0, 18.2) | 19 | 0.60 (0, 5.8) | 16 | 0.96 (0, 6.3) | 0.059 |
| RAM | |||||||||
| Left 70 | 42 | 0.7 (0, 3.2) | 37 | 0.5 (0, 0.2) | 21 | 0.8 (0, 2) | 17 | 1 (0, 10.7) | 0.449 |
| Right 70 | 42 | 0.5 (0.4, 2.7) | 37 | 0.6 (0, 7.4) | 21 | 0.4 (0, 3.3) | 15 | 0.6 (0,1, 5.6) | 0.409 |
| Left 45 | 42 | 0.5 (0, 4) | 37 | 0.5 (0, 3.3) | 20 | 0.4 (0, 2) | 19 | 0.3 (0.3, 2) | 0.705 |
| Right 45 | 42 | 0.7 (0, 5.3) | 37 | 0.7 (0, 3.6) | 21 | 0.8 (0, 3.1) | 18 | 0.5 (0.1, 5.1) | 0.664 |
| Left 20 | 41 | 0.8 (0, 5.3) | 26 | 1 (0.1, 2.8) | 18 | 0.5 (0, 3.9) | 16 | 0.7 (0.2, 2.4) | 0.445 |
| Right 20 | 42 | 0.7 (0.1, 5.1) | 26 | 1.1 (0.1, 5.4) | 19 | 0.6 (0.1, 2.5) | 16 | 1 (0, 2.2) | 0.331 |
Disclaimer/Publisher’s Note: The statements, opinions and data contained in all publications are solely those of the individual author(s) and contributor(s) and not of MDPI and/or the editor(s). MDPI and/or the editor(s) disclaim responsibility for any injury to people or property resulting from any ideas, methods, instructions or products referred to in the content. |
© 2023 by the authors. Licensee MDPI, Basel, Switzerland. This article is an open access article distributed under the terms and conditions of the Creative Commons Attribution (CC BY) license (https://creativecommons.org/licenses/by/4.0/).
Share and Cite
Bartonek, Å.; Eriksson, M.; Ericson, A.; Reimeringer, M.; Lidbeck, C. Evaluation of Knee Position Sense in Children with Motor Disabilities and Children with Typical Development: A Cross-Sectional Study. Children 2023, 10, 1056. https://doi.org/10.3390/children10061056
Bartonek Å, Eriksson M, Ericson A, Reimeringer M, Lidbeck C. Evaluation of Knee Position Sense in Children with Motor Disabilities and Children with Typical Development: A Cross-Sectional Study. Children. 2023; 10(6):1056. https://doi.org/10.3390/children10061056
Chicago/Turabian StyleBartonek, Åsa, Marie Eriksson, Annika Ericson, Mikael Reimeringer, and Cecilia Lidbeck. 2023. "Evaluation of Knee Position Sense in Children with Motor Disabilities and Children with Typical Development: A Cross-Sectional Study" Children 10, no. 6: 1056. https://doi.org/10.3390/children10061056
APA StyleBartonek, Å., Eriksson, M., Ericson, A., Reimeringer, M., & Lidbeck, C. (2023). Evaluation of Knee Position Sense in Children with Motor Disabilities and Children with Typical Development: A Cross-Sectional Study. Children, 10(6), 1056. https://doi.org/10.3390/children10061056

