Age and Gender Differences in Anthropometric Characteristics and Motor Performance of 3 through 6 Young Kids Aged (Pilot Study)
Abstract
1. Introduction
2. Materials and Methods
2.1. Participants
2.2. Testing Procedures
2.2.1. The Collected Data
2.2.2. Data Analysis
2.3. Detection of Dominance
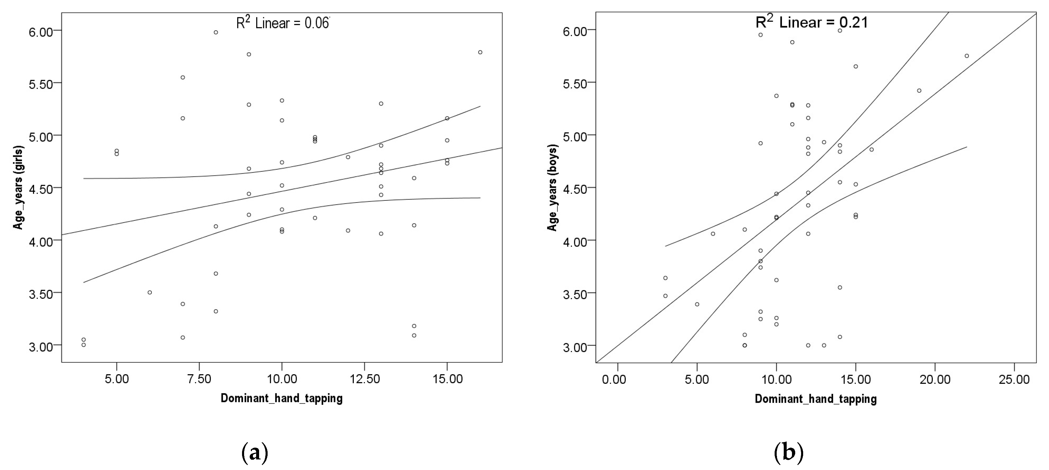
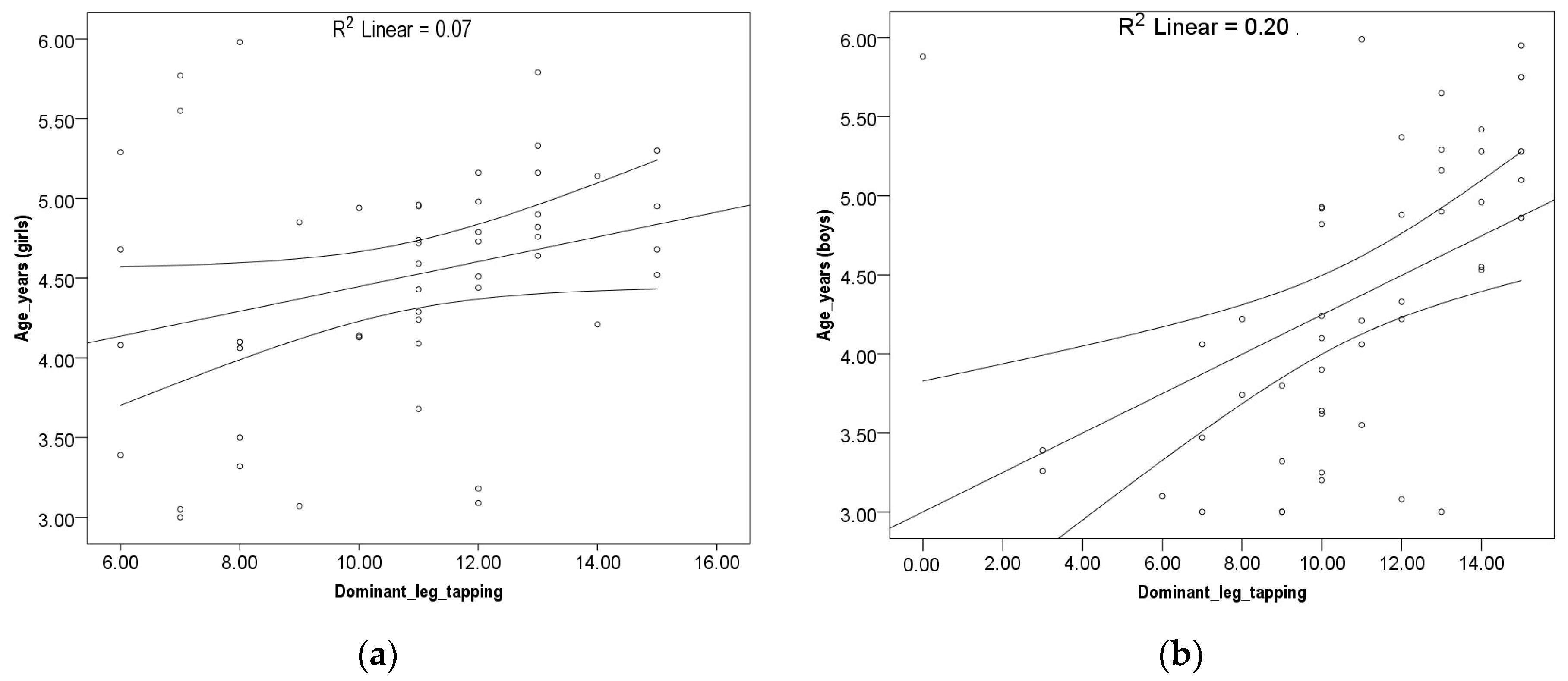
3. Results
4. Discussion
5. Conclusions
Author Contributions
Funding
Institutional Review Board Statement
Informed Consent Statement
Data Availability Statement
Acknowledgments
Conflicts of Interest
References
- Andersen, L.B.; Harro, M.; Sardinha, L.B.; Froberg, K.; Ekelund, U.; Brage, S.; Anderssen, S.A. Physical activity and clustered cardiovascular risk in children: A cross-sectional study (The European Youth Heart Study). Lancet 2006, 368, 299–304. [Google Scholar] [CrossRef]
- Stalsberg, R.; Pedersen, A.V. Effects of socioeconomic status on the physical activity in adolescents: A systematic review of the evidence. Scand. J. Med. Sci. Sport. 2010, 20, 368–383. [Google Scholar] [CrossRef] [PubMed]
- McMinn, D.; Rowe, D.A.; Murtagh, S.; Nelson, N.M.; Čuk, I.; Atiković, A.; Peček, M.; Breslin, G.; Murtagh, E.M.; Murphy, M.H. Psychosocial factors related to children’s active school travel: A comparison of two European regions. Int. J. Exerc. Sci. 2014, 7, 75–86. Available online: http://digitalcommons.wku.edu/cgi/viewcontent.cgi?article=1520&context=ijes (accessed on 8 December 2022).
- Rice, M.H.; Howell, C.C. Measurement of physical activity, exercise, and physical fitness in children: Issues and concerns. J. Pediatr. Nurs. 2000, 15, 148–156. [Google Scholar] [CrossRef]
- Søgaard, A.J.; Bø, K.; Klungland, M.; Jacobsen, B.K. En oversikt over norske studier–hvor mye beveger vi oss i fritiden? [A review of Norwegian studies–how much do we exercise during our leisure time?]. Tidsskr. Den Nor. Laegeforen. Tidsskr. Prakt. Med. Ny Raekke 2000, 120, 3439–3446. [Google Scholar]
- Bala, G.; Krneta, Z.; Katić, R. Effects of kindergarten period on school readiness and motor abilities. Coll. Antropol. 2010, 34 (Suppl. 1), 61–67. [Google Scholar]
- Čolakhodžić, E.; Vuk, N.; Habul, Ć.; Vujica, S.; Tanović, S. Pretilost i Postularni Status Djece Osnovnoškolskog Uzrasta u Gradu Mostaru. Mostar = Obesity and Postural Status of Children of Primary School Age in the City of Mostar. City of Mostar 2017, University “Džemal Bijedić” in Mostar, Faculty of Teaching. Available online: https://www.researchgate.net/profile/Ekrem_Colakhodzic/publication/318791987_Pretilost_i_posturalni_status_djece_osnovnoskolskog_uzrasta_u_Gradu_Mostaru/links/5a11db0b0f7e9bd1b2c0fc9c/Pretilost-i-posturalni-status-djeceosnovnoskolskog-uzrasta-u-Gradu-Mostaru.pdf (accessed on 8 December 2022).
- Emić, Z.; Bekrić, A.; Alić, B.; Atiković, A.; Tabaković, M. Metric Characteristics of Tests Bear Walk Forward and Backward for Assessing Coordination and Speed in 12–14 Years-Old Children. Sport Sci. Pract. Asp. 2017, 14, 29–34. Available online: http://www.sportspa.com.ba/images/june2017/Article-05-jun-2017.pdf (accessed on 20 September 2022).
- Zeng, N.; Ayyub, M.; Sun, H.; Wen, X.; Xiang, P.; Gao, Z. Effects of Physical Activity on Motor Skills and Cognitive Development in Early Childhood: A Systematic Review. BioMed Res. Int. 2017, 2017, 2760716. [Google Scholar] [CrossRef] [PubMed]
- Denckla, M.B. Development of speed in repetitive and successive finger-movements in normal children. Dev. Med. Child Neurol. 1973, 15, 635–645. [Google Scholar] [CrossRef]
- Hogrel, J.Y. Grip strength measured by high precision dynamometry in healthy subjects from 5 to 80 years. BMC Musculoskelet. Disord. 2015, 16, 139. [Google Scholar] [CrossRef]
- Shim, J.H.; Roh, S.Y.; Kim, J.S.; Lee, D.C.; Ki, S.H.; Yang, J.W.; Jeon, M.K.; Lee, S.M. Normative measurements of grip and pinch strengths of 21st century korean population. Arch. Plast. Surg. 2013, 40, 52–56. [Google Scholar] [CrossRef] [PubMed]
- Tanaka, C.; Hikihara, Y.; Ohkawara, K.; Tanaka, S. Locomotive and non-locomotive activity as determined by triaxial accelerometry and physical fitness in Japanese preschool children. Pediatr. Exerc. Sci. 2012, 24, 420–434. [Google Scholar] [CrossRef] [PubMed]
- Drozdowska, A.; Falkenstein, M.; Jendrusch, G.; Platen, P.; Lücke, T.; Kersting, M.; Sinningen, K. Interrelations of Physical Fitness and Cognitive Functions in German Schoolchildren. Children 2021, 8, 669. [Google Scholar] [CrossRef]
- Holfelder, B.; Schott, N. Relationship of fundamental movement skills and physical activity in children and adolescents: A systematic review. Psychol. Sport Exerc. 2014, 15, 382–391. [Google Scholar] [CrossRef]
- Lee-Valkov, P.M.; Aaron, D.H.; Eladoumikdachi, F.; Thornby, J.; Netscher, D.T. Measuring normal hand dexterity values in normal 3-, 4-, and 5-year-old children and their relationship with grip and pinch strength. J. Hand Ther. Off. J. Am. Soc. Hand Ther. 2003, 16, 22–28. [Google Scholar] [CrossRef] [PubMed]
- Hoeksma, A.F.; van Rossum, M.A.; Zinger, W.G.; Dolman, K.M.; Dekker, J.; Roorda, L.D. High prevalence of hand- and wrist-related symptoms, impairments, activity limitations and participation restrictions in children with juvenile idiopathic arthritis. J. Rehabil. Med. 2014, 46, 991–996. [Google Scholar] [CrossRef]
- Johnson, N.E.; Butterfield, R.; Berggren, K.; Hung, M.; Chen, W.; DiBella, D.; Dixon, M.; Hayes, H.; Pucillo, E.; Bounsanga, J.; et al. Disease burden and functional outcomes in congenital myotonic dystrophy: A cross-sectional study. Neurology 2016, 87, 160–167. [Google Scholar] [CrossRef]
- Jensen, K.C.; Bellini, S.G.; Derrick, J.W.; Fullmer, S.; Eggett, D. Handgrip Strength and Malnutrition (Undernutrition) in Hospitalized Versus Nonhospitalized Children Aged 6–14 Years. Nutr. Clin. Pract. Off. Publ. Am. Soc. Parenter. Enter. Nutr. 2017, 32, 687–693. [Google Scholar] [CrossRef] [PubMed]
- Molenaar, H.M.; Selles, R.W.; Zuidam, J.M.; Willemsen, S.P.; Stam, H.J.; Hovius, S.E. Growth diagrams for grip strength in children. Clin. Orthop. Relat. Res. 2010, 468, 217–223. [Google Scholar] [CrossRef]
- Shiratori, A.P.; Iop, R.D.R.; Júnior, N.G.B.; Domenech, S.C.; Gevaerd, M.D.S. Evaluation protocols of hand grip strength in individuals with rheumatoid arthritis: A systematic review. Rev. Bras. Reumatol. 2014, 54, 140–147. [Google Scholar] [CrossRef] [PubMed]
- Innes, E. Handgrip strength testing: A review of the literature. Aust. Occup. Ther. J. 1999, 46, 120–140. [Google Scholar] [CrossRef]
- Čular, D.; Miletić, Đ.; Miletić, A. Influence of dominant and non-dominant body side on specific performance in taekwondo. Kinesiology 2010, 42, 184–193. [Google Scholar]
- Ploegmakers, J.J.; Hepping, A.M.; Geertzen, J.H.; Bulstra, S.K.; Stevens, M. Grip strength is strongly associated with height, weight and gender in childhood: A cross sectional study of 2241 children and adolescents providing reference values. J. Physiother. 2013, 59, 255–261. [Google Scholar] [CrossRef]
- Gabbard, C. Associations between hand and foot preference in 3- to 5-year-olds. Cortex A J. Devoted Study Nerv. Syst. Behav. 1992, 28, 497–502. [Google Scholar] [CrossRef] [PubMed]
- Iteya, M.; Gabbard, C.; Okada, M. Lower-limb speed and foot preference in children. Percept. Mot. Ski. 1995, 81, 1115–1118. [Google Scholar] [CrossRef] [PubMed]
- Musalek, M. Skilled performance tests and their use in diagnosing handedness and footedness at children of lower school age 8–10. Front. Psychol. 2015, 5, 1513. [Google Scholar] [CrossRef] [PubMed]
- Sanchez-Delgado, G.; Cadenas-Sanchez, C.; Mora-Gonzalez, J.; Martinez-Tellez, B.; Chillón, P.; Löf, M.; Ortega, F.B.; Ruiz, J.R. Assessment of handgrip strength in preschool children aged 3 to 5 years. J. Hand Surg. 2015, 40, 966–972. [Google Scholar] [CrossRef] [PubMed]
- Memišević, H.; Mahmutović, I.; Pasalic, A.; Biscevic, I. The effects of age and gender on finger tapping speed in preschool children. Acta Neuropsychol. 2017, 15, 55–62. [Google Scholar] [CrossRef]
- Aoki, T.; Furuya, S.; Kinoshita, H. Finger-tapping ability in male and female pianists and nonmusician controls. Mot. Control 2005, 9, 23–39. [Google Scholar] [CrossRef]
- Böhm, B.; Lundequist, A.; Smedler, A.C. Visual-motor and executive functions in children born preterm: The Bender Visual Motor Gestalt Test revisited. Scand. J. Psychol. 2010, 51, 376–384. [Google Scholar] [CrossRef]
- de Souza, M.A.; de Jesus Alves de Baptista, C.R.; Baranauskas Benedicto, M.M.; Pizzato, T.M.; Mattiello-Sverzut, A.C. Normative data for hand grip strength in healthy children measured with a bulb dynamometer: A cross-sectional study. Physiotherapy 2014, 100, 313–318. [Google Scholar] [CrossRef] [PubMed]
- Bryden, P.J.; Pryde, K.M.; Roy, E.A. A performance measure of the degree of hand preference. Brain Cogn. 2000, 44, 402–414. [Google Scholar] [CrossRef] [PubMed]
- Scharoun, S.M.; Bryden, P.J. Hand preference, performance abilities, and hand selection in children. Front. Psychol. 2014, 5, 82. [Google Scholar] [CrossRef] [PubMed]
- Castro-Piñero, J.; Artero, E.G.; España-Romero, V.; Ortega, F.B.; Sjöström, M.; Suni, J.; Ruiz, J.R. Criterion-related validity of field-based fitness tests in youth: A systematic review. Br. J. Sport. Med. 2010, 44, 934–943. [Google Scholar] [CrossRef]
- De Bellis, M.D.; Keshavan, M.S.; Beers, S.R.; Hall, J.; Frustaci, K.; Masalehdan, A.; Noll, J.; Boring, A.M. Sex differences in brain maturation during childhood and adolescence. Cereb. Cortex 2001, 11, 552–557. [Google Scholar] [CrossRef]
- Denckla, M.B. Revised Neurological Examination for Subtle Signs (1985). Psychopharmacol. Bull. 1985, 21, 773–800. [Google Scholar]
- Barnea-Goraly, N.; Menon, V.; Eckert, M.; Tamm, L.; Bammer, R.; Karchemskiy, A.; Dant, C.C.; Reiss, A.L. White matter development during childhood and adolescence: A cross-sectional diffusion tensor imaging study. Cereb. Cortex 2005, 15, 1848–1854. [Google Scholar] [CrossRef]
- Simón-Piqueras, J.Á.; Prieto-Ayuso, A.; Gómez-Moreno, E.; Martínez-López, M.; Gil-Madrona, P. Evaluation of a Program of Aquatic Motor Games in the Improvement of Motor Competence in Children from 4 to 5 Years Old. Children 2022, 9, 1141. [Google Scholar] [CrossRef] [PubMed]



| Variable | G | n | M | SD | Skew | Kurt | K-S | F | p | t | df | p | d | r |
|---|---|---|---|---|---|---|---|---|---|---|---|---|---|---|
| BW | B | 52 | 106.93 | 7.66 | −0.70 | 0.86 | 0.94 | 0.30 | 0.58 | −0.92 | 101 | 0.35 | ns | ns |
| G | 51 | 108.36 | 8.16 | 0.07 | −0.29 | 0.20 | −0.92 | 100.31 | 0.35 | |||||
| BH | B | 52 | 17.98 | 2.45 | −0.06 | 0.27 | 0.20 | 5.01 | 0.02 | −1.37 | 101 | 0.17 | ns | ns |
| G | 51 | 18.86 | 3.87 | 1.23 | 2.43 | 0.05 | −1.37 | 84.37 | 0.17 | |||||
| HTR-right hand | B | 52 | 11.17 | 3.59 | 0.49 | 0.35 | 0.17 | 3.29 | 0.07 | 0.72 | 102 | 0.46 | ns | ns |
| G | 52 | 10.71 | 2.82 | −0.51 | 0.26 | 0.20 | 0.72 | 96.63 | 0.46 | |||||
| HTL-left hand | B | 52 | 10.32 | 3.55 | −0.23 | −0.15 | 0.54 | 5.03 | 0.02 | −0.28 | 102 | 0.77 | ns | ns |
| G | 52 | 10.50 | 2.50 | −0.25 | −0.20 | 0.05 | −0.28 | 91.51 | 0.77 | |||||
| LTR-right leg | B | 49 | 10.22 | 3.03 | −0.58 | 0.21 | 0.59 | 1.28 | 0.26 | −2.08 | 98 | 0.04 | 0.42 | 0.20 |
| G | 51 | 11.37 | 2.46 | −0.48 | −0.34 | 0.20 | −2.07 | 92.45 | 0.04 | |||||
| LTL-left leg | B | 49 | 9.48 | 3.25 | −0.58 | 0.36 | 0.82 | 5.78 | 0.01 | −1.58 | 98 | 0.11 | ns | ns |
| G | 51 | 10.39 | 2.40 | 0.13 | −0.39 | 0.20 | −1.57 | 88.17 | 0.11 | |||||
| HGSR-right hand | B | 51 | 8.89 | 3.34 | −0.25 | −0.61 | 0.20 | 2.98 | 0.08 | −0.11 | 101 | 0.91 | ns | ns |
| G | 52 | 8.95 | 2.58 | −0.12 | −0.95 | 0.07 | −0.11 | 94.13 | 0.91 | |||||
| HGSL-left hand | B | 51 | 8.89 | 2.79 | −0.36 | −0.63 | 0.05 | 0.71 | 0.39 | 0.39 | 101 | 0.69 | ns | ns |
| G | 52 | 8.69 | 2.45 | −0.13 | −0.75 | 0.20 | 0.39 | 98.84 | 0.69 |
| Variable | D/ND | n | M | SD | Skew | Kurt | K-S | F | p | t | df | p | d | r |
|---|---|---|---|---|---|---|---|---|---|---|---|---|---|---|
| Body weight (kg) | D | 88 | 18.48 | 3.32 | 1.15 | 3.13 | 0.05 | 0.42 | 0.51 | 1.05 | 95 | 0.29 | ns | ns |
| ND | 9 | 17.27 | 2.35 | −0.01 | −1.142 | 0.20 | 1.39 | 11.16 | 0.18 | |||||
| Body height (cm) | D | 88 | 107.92 | 7.99 | −0.29 | 0.34 | 0.20 | 0.00 | 0.95 | 0.02 | 95 | 0.35 | ns | ns |
| ND | 9 | 105.34 | 7.44 | 0.34 | −1.15 | 0.20 | 0.98 | 9.98 | 0.34 | |||||
| Hand tapping 15 s (freq.) | D | 89 | 11.04 | 3.26 | 0.18 | 0.74 | 0.05 | 0.58 | 0.44 | 1.76 | 96 | 0.08 | ns | ns |
| ND | 9 | 9.00 | 3.74 | −0.43 | −1.53 | 0.20 | 1.58 | 9.27 | 0.14 | |||||
| Leg tapping 15 s (freq.) | D | 81 | 10.77 | 2.77 | −0.48 | 0.09 | 0.06 | 3.49 | 0.06 | 0.84 | 94 | 0.39 | ns | ns |
| ND | 15 | 10.06 | 3.97 | 1.37 | 1.59 | 0.07 | 0.66 | 16.62 | 0.51 | |||||
| Hand gripstrength (kg) | D | 86 | 10.84 | 3.01 | −0.37 | −0.43 | 0.05 | 1.39 | 0.24 | 0.01 | 95 | 0.98 | ns | ns |
| ND | 9 | 8.88 | 2.20 | −0.01 | 1.19 | 0.20 | 0.01 | 9.20 | 0.98 |
| Variable | Groups | Girls | Boys | ||||||||||
|---|---|---|---|---|---|---|---|---|---|---|---|---|---|
| Age | n | M | SD | Skew | Kurt | K-S | n | M | SD | Skew | Kurt | K-S | |
| BW | 3–4 y | 8 | 14.70 | 1.24 | −1.87 | 4.20 | 0.06 | 13 | 100.11 | 6.74 | −1.60 | 2.73 | 0.20 |
| 4–5 y | 34 | 18.67 | 2.62 | 0.96 | 1.75 | 0.06 | 27 | 108.051 | 5.99 | 0.15 | −0.19 | 0.20 | |
| 5–6 y | 10 | 22.82 | 4.97 | 0.59 | 0.88 | 0.20 | 12 | 111.79 | 7.37 | −0.31 | −0.61 | 0.20 | |
| BH | 3–4 y | 8 | 98.31 | 3.55 | 0.48 | 1.37 | 0.17 | 13 | 16.34 | 2.55 | −1.10 | 2.71 | 0.20 |
| 4–5 y | 34 | 108.73 | 6.49 | −0.46 | 0.72 | 0.20 | 27 | 18.08 | 1.90 | −0.58 | −0.08 | 0.05 | |
| 5–6 y | 10 | 115.19 | 8.29 | −0.20 | −0.59 | 0.20 | 12 | 19.54 | 2.54 | −0.98 | 1.28 | 0.20 | |
| HTR-right hand | 3–4 y | 8 | 9.00 | 1.51 | 0.99 | 1.63 | 0.15 | 13 | 9.00 | 2.54 | −0.21 | −0.61 | 0.20 |
| 4–5 y | 34 | 10.79 | 2.98 | −0.85 | 0.67 | 0.15 | 27 | 11.11 | 3.05 | −0.20 | −0.79 | 0.07 | |
| 5–6 y | 10 | 11.80 | 2.61 | −0.38 | 0.05 | 0.20 | 12 | 13.66 | 4.27 | 0.31 | 0.04 | 0.07 | |
| HTL-left hand | 3–4 y | 8 | 8.50 | 1.19 | 0.00 | −1.45 | 0.20 | 13 | 7.61 | 2.69 | 0.72 | 0.83 | 0.20 |
| 4–5 y | 34 | 10.64 | 2.29 | −0.80 | 0.88 | 0.05 | 27 | 10.51 | 2.84 | −0.71 | 0.91 | 0.20 | |
| 5–6 y | 10 | 11.60 | 3.16 | −0.69 | −0.25 | 0.05 | 12 | 12.83 | 3.99 | −1.08 | 1.14 | 0.05 | |
| LTR-right leg | 3–4 y | 8 | 8.87 | 1.55 | 0.27 | −1.00 | 0.20 | 12 | 7.91 | 2.35 | −0.28 | 1.01 | 0.20 |
| 4–5 y | 33 | 11.42 | 2.16 | −0.86 | 1.19 | 0.10 | 26 | 10.38 | 2.43 | −0.88 | 2.46 | 0.05 | |
| 5–6 y | 10 | 13.20 | 2.44 | −2.06 | 5.02 | 0.06 | 11 | 12.36 | 3.44 | 2.28 | −6.07 | 0.05 | |
| LTL-left leg | 3–4 y | 8 | 8.00 | 1.51 | −0.33 | −1.48 | 0.16 | 12 | 7.16 | 1.69 | 0.22 | 0.45 | 0.18 |
| 4–5 y | 33 | 10.33 | 2.05 | 0.11 | 0.55 | 0.11 | 26 | 9.73 | 2.89 | −0.54 | 0.65 | 0.12 | |
| 5–6 y | 10 | 12.50 | 2.27 | −0.85 | 0.09 | 0.20 | 11 | 11.45 | 3.98 | −2.76 | 8.51 | 0.05 | |
| HGSR-right hand | 3–4 y | 8 | 6.31 | 1.25 | 0.277 | 0.288 | 0.20 | 12 | 7.12 | 3.28 | 0.10 | −0.72 | 0.20 |
| 4–5 y | 34 | 9.26 | 2.37 | −0.08 | −0.35 | 0.20 | 27 | 9.18 | 2.68 | −0.45 | −0.48 | 0.19 | |
| 5–6 y | 10 | 10.03 | 2.87 | −1.52 | 0.91 | 0.05 | 12 | 10.00 | 4.24 | −0.60 | −0.56 | 0.20 | |
| HGSL-left hand | 3–4 y | 8 | 5.75 | 1.87 | 1.00 | 1.69 | 0.20 | 12 | 6.70 | 2.58 | 0.10 | −1.47 | 0.16 |
| 4–5 y | 34 | 8.98 | 2.19 | 0.07 | −0.65 | 0.20 | 27 | 9.17 | 2.33 | −0.69 | 0.01 | 0.13 | |
| 5–6 y | 10 | 10.05 | 1.96 | −0.83 | 1.08 | 0.20 | 12 | 10.45 | 2.81 | −0.73 | 0.16 | 0.20 | |
| Variable | Girls | Boys | |||||||||||||
|---|---|---|---|---|---|---|---|---|---|---|---|---|---|---|---|
| Levene’s Test | t-Test | Levene’s Test | t-Test | ||||||||||||
| F | p | t | df | p | d | r | F | p | t | df | p | d | r | ||
| HTR | 3–4/4–5 y. | 3.48 | 0.06 | −1.64 | 40 | 0.109 | ns | ns | 1.29 | 0.26 | −2.15 | 38 | 0.038 | −0.69 | 0.32 |
| 4–5/5–6 y. | 0.14 | 0.70 | −0.96 | 42 | 0.342 | ns | ns | 1.08 | 0.30 | −2.12 | 37 | 0.040 | −0.69 | 0.32 | |
| HTL | 3–4/4–5 y. | 1.33 | 0.25 | −2.54 | 40 | 0.015 | −0.80 | 0.37 | 0.07 | 0.78 | −3.07 | 38 | 0.004 | −0.99 | 0.44 |
| 4–5/5–6 y. | 2.02 | 0.16 | −1.05 | 42 | 0.297 | ns | ns | 0.92 | 0.34 | −2.06 | 37 | 0.046 | −0.67 | 0.32 | |
| LTR | 3–4/4–5 y. | 0.68 | 0.41 | −3.12 | 39 | 0.003 | −0.99 | 0.44 | 0.01 | 0.89 | −2.93 | 36 | 0.006 | ns | ns |
| 4–5/5–6 y. | 0.00 | 0.99 | −2.20 | 41 | 0.033 | −0.68 | 0.32 | 0.65 | 0.42 | −1.99 | 35 | 0.054 | ns | ns | |
| LTL | 3–4/4–5 y. | 0.18 | 0.66 | −3.00 | 39 | 0.005 | −0.96 | 0.43 | 3.47 | 0.07 | −2.84 | 36 | 0.007 | −0.94 | 0.42 |
| 4–5/5–6 y. | 0.42 | 0.51 | −2.85 | 41 | 0.007 | −0.89 | 0.40 | 0.00 | 0.99 | −1.47 | 35 | 0.148 | ns | ns | |
| HGSR | 3–4/4–5 y. | 3.14 | 0.08 | −3.38 | 40 | 0.002 | −1.06 | 0.47 | 1.01 | 0.32 | −2.06 | 37 | 0.046 | −0.67 | 0.32 |
| 4–5/5–6 y. | 0.21 | 0.64 | −0.85 | 42 | 0.397 | ns | ns | 4.06 | 0.05 | −0.72 | 37 | 0.472 | ns | ns | |
| HGSL | 3–4/4–5 y. | 1.10 | 0.30 | −3.84 | 40 | 0.000 | −1.21 | 0.51 | 0.57 | 0.45 | −2.95 | 37 | 0.005 | −0.96 | 0.43 |
| 4–5/5–6 y. | 0.72 | 0.40 | −1.37 | 42 | 0.175 | ns | ns | 0.13 | 0.71 | −1.48 | 37 | 0.147 | ns | ns | |
Disclaimer/Publisher’s Note: The statements, opinions and data contained in all publications are solely those of the individual author(s) and contributor(s) and not of MDPI and/or the editor(s). MDPI and/or the editor(s) disclaim responsibility for any injury to people or property resulting from any ideas, methods, instructions or products referred to in the content. |
© 2023 by the authors. Licensee MDPI, Basel, Switzerland. This article is an open access article distributed under the terms and conditions of the Creative Commons Attribution (CC BY) license (https://creativecommons.org/licenses/by/4.0/).
Share and Cite
Atiković, A.; Čolakhodžić, E.; Užičanin, E.; Petković, E.; Nožinović Mujanović, A.; Mujanović, E.; Zahirović, J.; Mešković, N.; Lilić, A. Age and Gender Differences in Anthropometric Characteristics and Motor Performance of 3 through 6 Young Kids Aged (Pilot Study). Children 2023, 10, 590. https://doi.org/10.3390/children10030590
Atiković A, Čolakhodžić E, Užičanin E, Petković E, Nožinović Mujanović A, Mujanović E, Zahirović J, Mešković N, Lilić A. Age and Gender Differences in Anthropometric Characteristics and Motor Performance of 3 through 6 Young Kids Aged (Pilot Study). Children. 2023; 10(3):590. https://doi.org/10.3390/children10030590
Chicago/Turabian StyleAtiković, Almir, Ekrem Čolakhodžić, Edin Užičanin, Emilija Petković, Amra Nožinović Mujanović, Edin Mujanović, Jasmin Zahirović, Naida Mešković, and Ana Lilić. 2023. "Age and Gender Differences in Anthropometric Characteristics and Motor Performance of 3 through 6 Young Kids Aged (Pilot Study)" Children 10, no. 3: 590. https://doi.org/10.3390/children10030590
APA StyleAtiković, A., Čolakhodžić, E., Užičanin, E., Petković, E., Nožinović Mujanović, A., Mujanović, E., Zahirović, J., Mešković, N., & Lilić, A. (2023). Age and Gender Differences in Anthropometric Characteristics and Motor Performance of 3 through 6 Young Kids Aged (Pilot Study). Children, 10(3), 590. https://doi.org/10.3390/children10030590

