Synergistic Effect of Static Compliance and D-dimers to Predict Outcome of Patients with COVID-19-ARDS: A Prospective Multicenter Study
Abstract
:1. Introduction
2. Methods
Statistical Methods
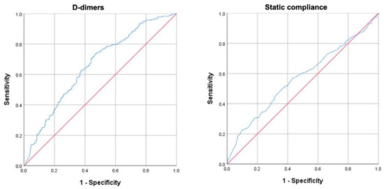
3. Results
4. Discussion
Author Contributions
Funding
Institutional Review Board Statement
Informed Consent Statement
Data Availability Statement
Acknowledgments
Conflicts of Interest
References
- Tzotzos, S.J.; Fischer, B.; Fischer, H.; Zeitlinger, M. Incidence of ARDS and outcomes in hospitalized patients with COVID-19: A global literature survey. Crit. Care 2020, 24, 516. [Google Scholar] [CrossRef]
- Ackermann, M.; Verleden, S.E.; Kuehnel, M.; Haverich, A.; Welte, T.; Laenger, F.; Vanstapel, A.; Werlein, C.; Stark, H.; Tzankov, A.; et al. Pulmonary Vascular Endothelialitis, Thrombosis, and Angiogenesis in Covid-19. N. Engl. J. Med. 2020, 383, 120–128. [Google Scholar] [CrossRef] [PubMed]
- Lanza, E.; Lanza, E.; Muglia, R.; Bolengo, I.; Santonocito, O.G.; Lisi, C.; Angelotti, G.; Morandini, P.; Savevski, V.; Politi, L.S.; et al. Quantitative chest CT analysis in COVID-19 to predict the need for oxygenation support and intubation. Eur. Radiol. 2020, 30, 6770–6778. [Google Scholar] [CrossRef] [PubMed]
- Fuchs-Buder, T.; de Moerloose, P.; Ricou, B.; Reber, G.; Vifian, C.; Nicod, L.; Romand, J.; Suter, P. Time course of procoagulant activity and D dimer in bronchoalveolar fluid of patients at risk for or with acute respiratory distress syndrome. Am. J. Respir. Crit. Care Med. 1996, 153, 163–167. [Google Scholar] [CrossRef] [PubMed]
- Gattinoni, L.; Pesenti, A. The concept of “baby lung”. Intensive Care Med. 2005, 31, 776–784. [Google Scholar] [CrossRef]
- Sriram, K.; Insel, P.A. Inflammation and thrombosis in COVID-19 pathophysiology: Proteinase-activated and purinergic receptors as drivers and candidate therapeutic targets. Physiol. Rev. 2021, 101, 545–567. [Google Scholar] [CrossRef] [PubMed]
- McFadyen, J.D.; Stevens, H.; Peter, K. The Emerging Threat of (Micro)Thrombosis in COVID-19 and Its Therapeutic Implications. Circ. Res. 2020, 127, 571–587. [Google Scholar] [CrossRef] [PubMed]
- Colombi, D.; Bodini, F.C.; Petrini, M.; Maffi, G.; Morelli, N.; Milanese, G.; Silva, M.; Sverzellati, N.; Michieletti, E. Well-aerated Lung on Admitting Chest CT to Predict Adverse Outcome in COVID-19 Pneumonia. Radiology 2020, 296, E86–E96. [Google Scholar] [CrossRef] [Green Version]
- Boscolo, A.; Sella, N.; Lorenzoni, G.; Pettenuzzo, T.; Pasin, L.; Pretto, C.; Tocco, M.; Tamburini, E.; de Cassai, A.; Rosi, P.; et al. Static compliance of the respiratory system in COVID-19 related ARDS: An international multicenter study. Crit. Care 2021, 25, 52. [Google Scholar]
- Cao, B.; Chen, H.; Zhou, F.; Yu, T.; Du, R.; Fan, G.; Liu, Y.; Liu, Z.; Xiang, J.; Wang, Y.; et al. Clinical course and risk factors for mortality of adult inpatients with COVID-19 in Wuhan, China: A retrospective cohort study. Lancet 2020, 395, 1054–1062. [Google Scholar]
- Chen, T.; Wu, D.; Chen, H.; Yan, W.; Yang, D.; Chen, G.; Ma, K.; Xu, D.; Yu, H.; Wang, H.; et al. Clinical characteristics of 113 deceased patients with coronavirus disease 2019: Retrospective study. BMJ 2020, 368, m1091. [Google Scholar] [CrossRef] [PubMed] [Green Version]
- Wang, D.; Hu, B.; Hu, C.; Zhu, F.; Liu, X.; Zhang, J.; Wang, B.; Xiang, H.; Cheng, Z.; Xiong, Y.; et al. Clinical Characteristics of 138 Hospitalized Patients with 2019 Novel Coronavirus-Infected Pneumonia in Wuhan, China. JAMA 2020, 323, 1061. [Google Scholar] [CrossRef]
- Wu, C.; Chen, X.; Cai, Y.; Xia, J.; Zhou, X.; Xu, S.; Huang, H.; Zhang, L.; Zhou, X.; Du, C.; et al. Risk Factors Associated with Acute Respiratory Distress Syndrome and Death in Patients with Coronavirus Disease 2019 Pneumonia in Wuhan, China. JAMA Intern. Med. 2020, 180, 934. [Google Scholar] [CrossRef] [PubMed] [Green Version]
- Tang, N.; Li, D.; Wang, X.; Sun, Z. Abnormal coagulation parameters are associated with poor prognosis in patients with novel coronavirus pneumonia. J. Thromb. Haemost. 2020, 18, 844–847. [Google Scholar] [CrossRef] [Green Version]
- Huang, C.; Wang, Y.; Li, X.; Ren, L.; Zhao, J.; Hu, Y.; Zhang, L.; Fan, G.; Xu, J.; Gu, X.; et al. Clinical features of patients infected with 2019 novel coronavirus in Wuhan, China. Lancet 2020, 395, 497–506. [Google Scholar] [CrossRef] [Green Version]
- Botta, M.; Tsonas, A.M.; Pillay, J.; Boers, L.S.; Algera, A.G.; Bos, L.D.J.; Dongelmans, D.A.; Hollmann, M.W.; Horn, J.; Vlaar, A.P.J.; et al. Ventilation management and clinical outcomes in invasively ventilated patients with COVID-19 (PRoVENT-COVID): A national, multicentre, observational cohort study. Lancet Respir. Med. 2021, 9, 139–148. [Google Scholar] [CrossRef]
- Farcomeni, A.; Ventura, L. An overview of robust methods in medical research. Stat. Methods Med. Res. 2012, 21, 111–133. [Google Scholar] [CrossRef] [Green Version]
- Grasselli, G.; Tonetti, T.; Protti, A.; Langer, T.; Girardis, M.; Bellani, G.; Laffey, J.; Carrafiello, G.; Carsana, L.; Rizzuto, C.; et al. Pathophysiology of COVID-19-associated acute respiratory distress syndrome: A multicentre prospective observational study. Lancet Respir. Med. 2020, 8, 1201–1208. [Google Scholar] [CrossRef]
- ARDS Definition Task Force. Acute respiratory distress syndrome: The Berlin Definition. JAMA 2012, 307, 2526–2533. [Google Scholar]
- Karagiannidis, C.; Windisch, W.; McAuley, D.F.; Welte, T.; Busse, R. Major differences in ICU admissions during the first and second COVID-19 wave in Germany. Lancet Respir. Med. 2021, 2600, 20–21. [Google Scholar]
- Acute Respiratory Distress Syndrome Network. Ventilation with lower tidal volumes as compared with traditional tidal volumes for acute lung injury and the acute respiratory distress syndrome. N. Engl. J. Med. 2000, 342, 1301–1308. [Google Scholar] [CrossRef] [PubMed]
- Ranieri, V.M.; Eissa, N.T.; Corbeil, C.; Chassé, M.; Braidy, J.; Matar, N.; Milic-Emili, J. Effects of Positive End-expiratory Pressure on Alveolar Recruitment and Gas Exchange in Patients with the Adult Respiratory Distress Syndrome. Am. Rev. Respir. Dis. 1991, 144, 544–551. [Google Scholar] [CrossRef] [PubMed]
- Fonarow, G.C.; Adams, K.F.; Abraham, W.T.; Yancy, C.W.; Boscardin, W.J. Risk Stratification for In-Hospital Mortality in Acutely Decompensated Heart Failure—Reply. JAMA 2005, 293, 2467. [Google Scholar] [CrossRef] [PubMed] [Green Version]
- Dorey, A.; Tholance, Y.; Vighetto, A.; Perret-Liaudet, A.; Lachman, I.; Krolak-Salmon, P.; Wagner, U.; Struyfs, H.; de Deyn, P.P.; El-Moualij, B.; et al. Association of Cerebrospinal Fluid Prion Protein Levels and the Distinction Between Alzheimer Disease and Creutzfeldt-Jakob Disease. JAMA Neurol. 2015, 72, 267. [Google Scholar] [CrossRef] [Green Version]
- Chan, A.-W.; Fung, K.; Tran, J.M.; Kitchen, J.; Austin, P.C.; Weinstock, M.A.; Rochon, P.A. Application of Recursive Partitioning to Derive and Validate a Claims-Based Algorithm for Identifying Keratinocyte Carcinoma (Nonmelanoma Skin Cancer). JAMA Dermatol. 2016, 152, 1122. [Google Scholar] [CrossRef] [PubMed] [Green Version]
- Grasselli, G.; Zangrillo, A.; Zanella, A.; Antonelli, M.; Cabrini, L.; Castelli, A.; Cereda, D.; Coluccello, A.; Foti, G.; Fumagalli, R.; et al. Baseline Characteristics and Outcomes of 1591 Patients Infected with SARS-CoV-2 Admitted to ICUs of the Lombardy Region, Italy. JAMA—J. Am. Med. Assoc. 2020, 323, 1574–1581. [Google Scholar] [CrossRef] [Green Version]
- Abate, S.M.; Checkol, Y.A.; Mantefardo, B. Global prevalence and determinants of mortality among patients with COVID-19: A systematic review and meta-analysis. Ann. Med. Surg. 2021, 64, 102204. [Google Scholar] [CrossRef]
- Li, K.; Fang, Y.; Li, W.; Pan, C.; Qin, P.; Zhong, Y.; Liu, X.; Huang, M.; Liao, Y.; Li, S. CT image visual quantitative evaluation and clinical classification of coronavirus disease (COVID-19). Eur. Radiol. 2020, 30, 4407–4416. [Google Scholar] [CrossRef] [Green Version]
- Fox, S.E.; Akmatbekov, A.; Harbert, J.L.; Li, G.; Brown, J.Q.; Heide, R.S.V. Pulmonary and cardiac pathology in African American patients with COVID-19: An autopsy series from New Orleans. Lancet Respir. Med. 2020, 8, 681–686. [Google Scholar] [CrossRef]
- Carsana, L.; Sonzogni, A.; Nasr, A.; Rossi, R.S.; Pellegrinelli, A.; Zerbi, P.; Rech, R.; Colombo, R.; Antinori, S.; Corbellino, M.; et al. Pulmonary post-mortem findings in a series of COVID-19 cases from northern Italy: A two-centre descriptive study. Lancet Infect. Dis. 2020, 20, 1135–1140. [Google Scholar] [CrossRef]
- Dolhnikoff, M.; Duarte-Neto, A.N.; Monteiro, R.A.d.; da Silva, L.F.F.; de Oliveira, E.P.; Saldiva, P.H.N.; Mauad, T.; Negri, E.M. Pathological evidence of pulmonary thrombotic phenomena in severe COVID-19. J. Thromb. Haemost. 2020, 18, 1517–1519. [Google Scholar] [CrossRef] [Green Version]
- Berger, J.S.; Kunichoff, D.; Adhikari, S.; Ahuja, T.; Amoroso, N.; Aphinyanaphongs, Y.; Cao, M.; Goldenberg, R.; Hindenburg, A.; Horowitz, J.; et al. Prevalence and Outcomes of D-Dimer Elevation in Hospitalized Patients with COVID-19. Arterioscler. Thromb. Vasc. Biol. 2020, 40, 2539–2547. [Google Scholar] [CrossRef]
- Short, S.A.P.; Gupta, S.; Brenner, S.K.; Hayek, S.S.; Srivastava, A.; Shaefi, S.; Singh, H.; Wu, B.; Bagchi, A.; Al-Samkari, H.; et al. D-dimer and Death in Critically Ill Patients with Coronavirus Disease 2019. Crit. Care Med. 2021, 49, e500–e511. [Google Scholar] [CrossRef]
- Sole, F.D.; Farcomeni, A.; Loffredo, L.; Carnevale, R.; Menichelli, D.; Vicario, T.; Pignatelli, P.; Pastori, D. Features of severe COVID-19: A systematic review and meta-analysis. Eur. J. Clin. Investig. 2020, 50, e13378. [Google Scholar]
- Yao, Y.; Cao, J.; Wang, Q.; Shi, Q.; Liu, K.; Luo, Z.; Chen, X.; Chen, S.; Yu, K.; Huang, Z.; et al. D-dimer as a biomarker for disease severity and mortality in COVID-19 patients: A case control study. J. Intensive Care 2020, 8, 49. [Google Scholar] [CrossRef] [PubMed]
- Zhang, L.; Yan, X.; Fan, Q.; Liu, H.; Liu, X.; Liu, Z.; Zhang, Z. D-dimer levels on admission to predict in-hospital mortality in patients with Covid-19. J. Thromb. Haemost. 2020, 18, 1324–1329. [Google Scholar] [CrossRef] [PubMed]
- Naymagon, L.; Zubizarreta, N.; Feld, J.; van Gerwen, M.; Alsen, M.; Thibaud, S.; Kessler, A.; Venugopal, S.; Makki, I.; Qin, Q.; et al. Admission D-dimer levels, D-dimer trends, and outcomes in COVID-19. Thromb. Res. 2020, 196, 99–105. [Google Scholar] [CrossRef]
- COVID-ICU Group on behalf of the REVA Network and the COVID-ICU. Investigators. Clinical characteristics and day-90 outcomes of 4244 critically ill adults with COVID-19: A prospective cohort study. Intensive Care Med. 2021, 47, 60–73. [Google Scholar] [CrossRef]
- Ferrando, C.; Suarez-Sipmann, F.; Mellado-Artigas, R.; Hernández, M.; Gea, A.; Arruti, E.; Aldecoa, C.; Martínez-Pallí, G.; Martínez-González, M.A.; Slutsky, A.S.; et al. Clinical features, ventilatory management, and outcome of ARDS caused by COVID-19 are similar to other causes of ARDS. Intensive Care Med. 2020, 2200–2211. [Google Scholar] [CrossRef] [PubMed]
- Bartoletti, M.; Giannella, M.; Scudeller, L.; Tedeschi, S.; Rinaldi, M.; Bussini, L.; Fornaro, G.; Pascale, R.; Pancaldi, L.; Pasquini, Z.; et al. Development and validation of a prediction model for severe respiratory failure in hospitalized patients with SARS-CoV-2 infection: A multicentre cohort study (PREDI-CO study). Clin. Microbiol. Infect. 2020, 26, 1545–1553. [Google Scholar] [CrossRef]
- Taj, S.; Kashif, A.; Fatima, S.A.; Imran, S.; Lone, A.; Ahmed, Q. Role of hematological parameters in the stratification of COVID-19 disease severity. Ann. Med. Surg. 2021, 62, 68–72. [Google Scholar] [CrossRef]
- Kiss, S.; Gede, N.; Hegyi, P.; Németh, D.; Földi, M.; Dembrovszky, F.; Nagy, B.; Juhász, M.F.; Ocskay, K.; Zádori, N.; et al. Early changes in laboratory parameters are predictors of mortality and ICU admission in patients with COVID-19: A systematic review and meta-analysis. Med. Microbiol. Immunol. 2021, 210, 33–47. [Google Scholar] [CrossRef]
- Idell, S.; Gonzalez, K.; Bradford, H.; MacArthur, C.K.; Fein, A.M.; Maunder, R.J.; Garcia, J.G.N.; Griffith, D.E.; Weiland, J.; Martin, T.R.; et al. Contribution of Tissue Factor Associated with Factor VII. Am. Rev. Respir. Dis. 1987, 136, 1466–1474. [Google Scholar] [CrossRef]
- Sebag, S.C.; Bastarache, J.A.; Ware, L.B. Therapeutic Modulation of Coagulation and Fibrinolysis in Acute Lung Injury and the Acute Respiratory Distress Syndrome. Curr. Pharm. Biotechnol. 2011, 12, 1481–1496. [Google Scholar] [CrossRef]
- Marin, M.; Orso, D.; Federici, N.; Vetrugno, L.; Bove, T. D-dimer specificity and clinical context: An old unlearned story. Crit. Care 2021, 25, 101. [Google Scholar] [CrossRef]
- Kutinsky, I.; Blakley, S.; Roche, V. Normal D-dimer levels in patients with pulmonary embolism. Arch. Intern. Med. 1999, 159, 1569–1572. [Google Scholar] [CrossRef]
- Righini, M.; van Es, J.; den Exter, P.L.; Roy, P.; Verschuren, F.; Ghuysen, A.; Rutschmann, O.T.; Sanchez, O.; Jaffrelot, M.; Trinh-Duc, A.; et al. Age-adjusted D-dimer cutoff levels to rule out pulmonary embolism: The ADJUST-PE study. JAMA—J. Am. Med. Assoc. 2014, 311, 1117–1124. [Google Scholar] [CrossRef] [PubMed]



| Training Sample | Testing Sample | p-Value | |
|---|---|---|---|
| Male gender (n (%)) | 302 (77.6) | 228 (77.0) | 0.8506 |
| Age (years) | 64 (56–70) | 65 (57–71) | 0.3228 |
| Time from hospital admission to invasive mechanical ventilation (days) | 2 (1–5) | 3 (1–7) | 0.1117 |
| SOFA score at ICU admission | 4 (4–6) | 4 (3–5) | <0.0001 |
| Weight (kg) | 85 (75–92) | 85 (75–95) | 0.6206 |
| Height (cm) | 171 (168–178) | 170 (165–178) | 0.5421 |
| BMI (kg/m2) | 27.8 (25.6–31.1) | 27.8 (26.0–31.3) | 0.2610 |
| PBW (kg) | 66 (62–73) | 66 (61–73) | 0.5473 |
| Respiratory rate (bpm) | 20 (16–24) | 19 (16–22) | 0.1704 |
| P/F ratio (mmHg) | 132 (94–176) | 114 (86–150) | 0.0003 |
| PEEP (cmH2O) | 12 (10–14) | 10 (10–12) | <0.0001 |
| Tidal volume (mL) | 480 (420–530) | 450 (400–500) | 0.0001 |
| TV/PBW (mL/kg) | 7.1 (6.4–8.1) | 6.8 (6.3–7.6) | 0.0077 |
| Plateau pressure (cmH2O) | 24 (22–27) | 23 (21–25) | <0.0001 |
| Static compliance of the respiratory system (mL/cmH2O) | 42 (34–53) | 40 (31–49) | 0.0041 |
| pH (units) | 7.39 (7.33–7.43) | 7.38 (7.33–7.44) | 0.7407 |
| PaO2 (mmHg) | 82 (70–104) | 85 (72–107) | 0.0581 |
| PaCO2 (mmHg) | 46 (39–53) | 44 (38–51) | 0.2559 |
| D-dimer (ng/mL) | 1620 (714–5111) | 1510 (669–4685) | 0.5209 |
| Glucocorticoids (n (%)) | 145/336 (43.2) | 243/296 (82.1) | <0.0001 |
| Full-dose anticoagulation (n (%)) | 213/317 (67.2) | 244/291 (83.8) | <0.0001 |
| Remdesivir (n (%)) | 66/270 (24.4) | 34/296 (11.5) | 0.0001 |
| Tocilizumab (n (%)) | 67/274 (24.5) | 0/296 (0.0) | <0.0001 |
| Hydroxychloroquine (n (%)) | 293/305 (96.1) | 0/296 (0.0) | <0.0001 |
| Factor | Hazard Ratio (95% CI) | |
|---|---|---|
| Class | LD | 0.479 (0.356–0.647) |
| HD-HC | 0.542 (0.380–0.772) | |
| HD-LC | 1.000 (reference) | |
| Age | 1.075 (1.058–1.092) | |
| SOFA score | 1.084 (1.015–1.158) | |
| P/F ratio | 0.995 (0.993–0.998) |
Publisher’s Note: MDPI stays neutral with regard to jurisdictional claims in published maps and institutional affiliations. |
© 2021 by the authors. Licensee MDPI, Basel, Switzerland. This article is an open access article distributed under the terms and conditions of the Creative Commons Attribution (CC BY) license (https://creativecommons.org/licenses/by/4.0/).
Share and Cite
Tonetti, T.; Grasselli, G.; Rucci, P.; Alessandri, F.; Dell’Olio, A.; Boscolo, A.; Pasin, L.; Sella, N.; Mega, C.; Melotti, R.M.; et al. Synergistic Effect of Static Compliance and D-dimers to Predict Outcome of Patients with COVID-19-ARDS: A Prospective Multicenter Study. Biomedicines 2021, 9, 1228. https://doi.org/10.3390/biomedicines9091228
Tonetti T, Grasselli G, Rucci P, Alessandri F, Dell’Olio A, Boscolo A, Pasin L, Sella N, Mega C, Melotti RM, et al. Synergistic Effect of Static Compliance and D-dimers to Predict Outcome of Patients with COVID-19-ARDS: A Prospective Multicenter Study. Biomedicines. 2021; 9(9):1228. https://doi.org/10.3390/biomedicines9091228
Chicago/Turabian StyleTonetti, Tommaso, Giacomo Grasselli, Paola Rucci, Francesco Alessandri, Alessio Dell’Olio, Annalisa Boscolo, Laura Pasin, Nicolò Sella, Chiara Mega, Rita Maria Melotti, and et al. 2021. "Synergistic Effect of Static Compliance and D-dimers to Predict Outcome of Patients with COVID-19-ARDS: A Prospective Multicenter Study" Biomedicines 9, no. 9: 1228. https://doi.org/10.3390/biomedicines9091228
APA StyleTonetti, T., Grasselli, G., Rucci, P., Alessandri, F., Dell’Olio, A., Boscolo, A., Pasin, L., Sella, N., Mega, C., Melotti, R. M., Girardis, M., Busani, S., Bellani, G., Foti, G., Grieco, D. L., Scaravilli, V., Protti, A., Langer, T., Mascia, L., ... Ranieri, V. M. (2021). Synergistic Effect of Static Compliance and D-dimers to Predict Outcome of Patients with COVID-19-ARDS: A Prospective Multicenter Study. Biomedicines, 9(9), 1228. https://doi.org/10.3390/biomedicines9091228

