Seasonal Variation of Antiretroviral Drug Exposure during the Year: The Experience of 10 Years of Therapeutic Drug Monitoring
Abstract
:1. Introduction
2. Materials and Methods
2.1. Study Design
2.2. ARV Plasma Concentrations
2.3. Statistical Analysis
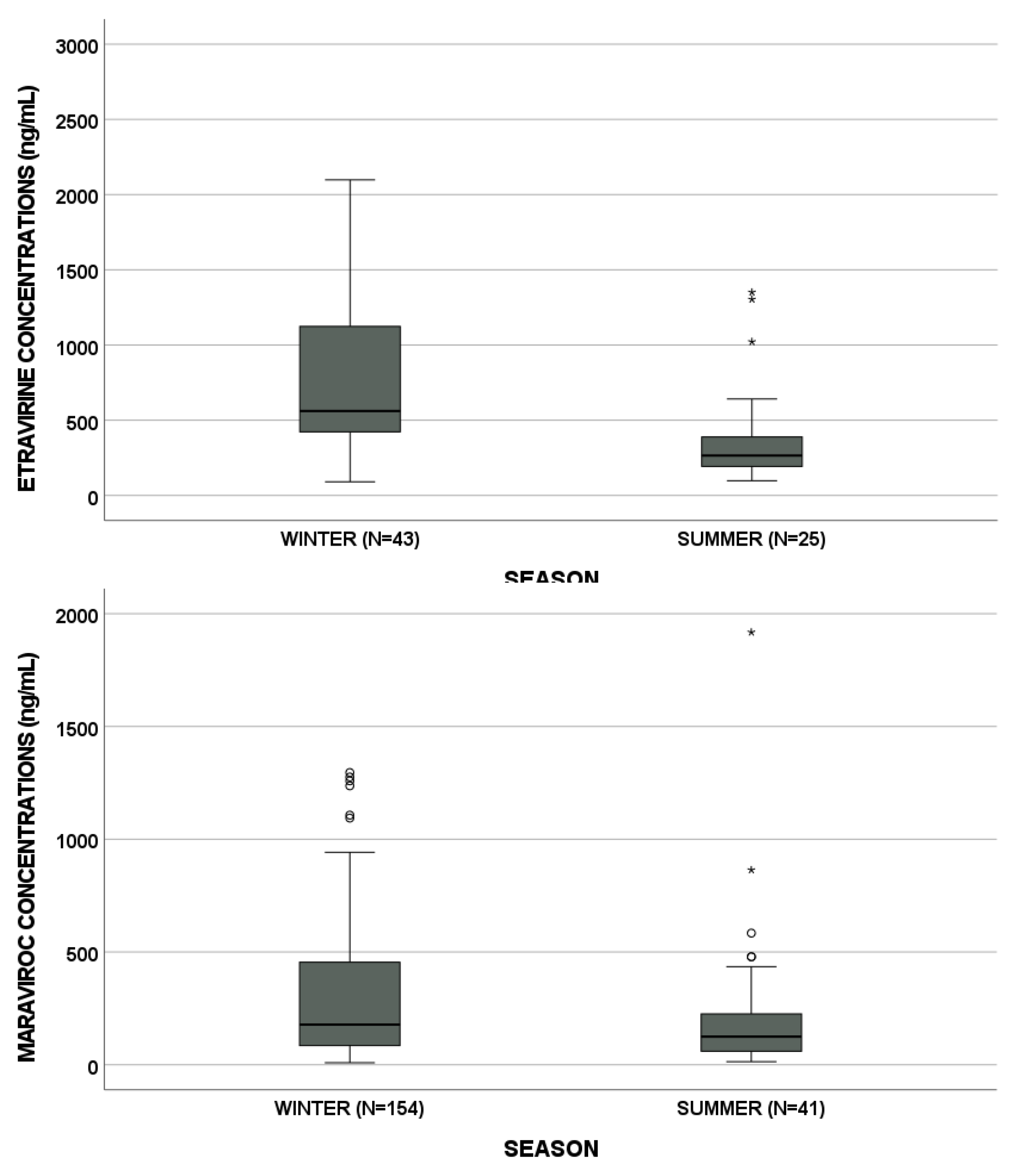
3. Results
4. Discussion
5. Conclusions
Supplementary Materials
Author Contributions
Funding
Institutional Review Board Statement
Informed Consent Statement
Data Availability Statement
Acknowledgments
Conflicts of Interest
References
- Watad, A.; Azrielant, S.; Bragazzi, N.L.; Sharif, K.; David, P.; Katz, I.; Aljadeff, G.; Quaresma, M.; Tanay, G.; Adawi, M.; et al. Seasonality and autoimmune diseases: The contribution of the four seasons to the mosaic of autoimmunity. J. Autoimmun. 2017, 82, 13–30. [Google Scholar] [CrossRef] [PubMed]
- Bauer, R.N.; Yang, X.; Staton, T.L.; Olsson, J.; Holweg, C.T.J.; Arron, J.R.; Matthews, J.G.; Choy, D.F. Seasonal variability of lung function and Asthma Quality of Life Questionnaire Scores in adults with uncontrolled asthma. BMJ Open Respir. Res. 2019, 6, e000406. [Google Scholar] [CrossRef] [PubMed] [Green Version]
- Jung, Y.S.; Song, C.S.; Kim, E.R.; Park, D.I.; Kim, Y.H.; Cha, J.M.; Kim, J.H.; Lee, S.H.; Eun, C.S.; Han, D.S. Seasonal variation in months of birth and symptom flares in Korean patients with inflammatory bowel disease. Gut Liver 2013, 7, 661–667. [Google Scholar] [CrossRef] [PubMed] [Green Version]
- Vlahov, D.; Munoz, A.; Brewer, F.; Taylor, E.; Canner, C.; Polk, B.F. Seasonal and annual variation of antibody to HIV-1 among male inmates entering Maryland prisons: Update. AIDS 1990, 4, 345–350. [Google Scholar] [CrossRef] [PubMed]
- Motayo, B.O.; Usen, U.; Folarin, B.O.; Okerentugba, P.O.; Innocent-Adiele, H.C.; Okonko, I.O. Prevalence and seasonal variations of HIV 1 and 2 infection among children in Abeokuta, South West Nigeria. J. Microbiol. Res. 2013, 3, 107–110. [Google Scholar]
- Smallman-Raynor, M.R.; Cliff, A.D. Seasonality in tropical AIDS: A geographical analysis. Int. J. Epidemiol. 1992, 21, 547–556. [Google Scholar] [CrossRef] [PubMed]
- Lindh, J.D.; Andersson, M.L.; Eliasson, E.; Bjorkhem-Bergman, L. Seasonal variation in blood drug concentrations and a potential relationship to vitamin D. Drug Metab. Dispos. 2011, 39, 933–937. [Google Scholar] [CrossRef] [PubMed] [Green Version]
- Lindh, J.D.; Bjorkhem-Bergman, L.; Eliasson, E. Vitamin D and drug-metabolising enzymes. Photochem. Photobiol. Sci. 2012, 11, 1797–1801. [Google Scholar] [CrossRef] [PubMed]
- Schmiedlin-Ren, P.; Thummel, K.E.; Fisher, J.M.; Paine, M.F.; Lown, K.S.; Watkins, P.B. Expression of enzymatically active CYP3A4 by Caco-2 cells grown on extracellular matrix-coated permeable supports in the presence of 1alpha,25-dihydroxyvitamin D3. Mol. Pharmacol. 1997, 51, 741–754. [Google Scholar] [CrossRef] [PubMed] [Green Version]
- Fan, J.; Liu, S.; Du, Y.; Morrison, J.; Shipman, R.; Pang, K.S. Up-regulation of transporters and enzymes by the vitamin D receptor ligands, 1alpha,25-dihydroxyvitamin D3 and vitamin D analogs, in the Caco-2 cell monolayer. J. Pharmacol. Exp. Ther. 2009, 330, 389–402. [Google Scholar] [CrossRef] [PubMed] [Green Version]
- D’Avolio, A.; Baietto, L.; Siccardi, M.; Sciandra, M.; Simiele, M.; Oddone, V.; Bonora, S.; Di Perri, G. An HPLC-PDA method for the simultaneous quantification of the HIV integrase inhibitor raltegravir, the new nonnucleoside reverse transcriptase inhibitor etravirine, and 11 other antiretroviral agents in the plasma of HIV-infected patients. Ther. Drug Monit. 2008, 30, 662–669. [Google Scholar] [CrossRef] [PubMed]
- De Nicolo, A.; Simiele, M.; Pensi, D.; Boglione, L.; Allegra, S.; Di Perri, G.; D’Avolio, A. UPLC-MS/MS method for the simultaneous quantification of anti-HBV nucleos(t)ides analogs: Entecavir, lamivudine, telbivudine and tenofovir in plasma of HBV infected patients. J. Pharm. Biomed. Anal. 2015, 114, 127–132. [Google Scholar] [CrossRef] [PubMed]
- Simiele, M.; Baietto, L.; Audino, A.; Sciandra, M.; Bonora, S.; Di Perri, G.; D’Avolio, A. A validated HPLC-MS method for quantification of the CCR5 inhibitor maraviroc in HIV+ human plasma. J. Pharm. Biomed. Anal. 2014, 94, 65–70. [Google Scholar] [CrossRef] [PubMed]
- Pretorius, E.; Klinker, H.; Rosenkranz, B. The role of therapeutic drug monitoring in the management of patients with human immunodeficiency virus infection. Ther. Drug Monit. 2011, 33, 265–274. [Google Scholar] [CrossRef] [PubMed]
- Cusato, J.; Tempestilli, M.; Calcagno, A.; Vergori, A.; Piselli, P.; Antonucci, M.; Avataneo, V.; Palermiti, A.; Notari, S.; Antinori, A.; et al. Efavirenz concentrations according to vitamin D levels in two Italian cohorts of people living with HIV. 2021. submitted. [Google Scholar]





| Characteristics | |
|---|---|
| Number of patients (n) | 4148 |
| Age (years), median (range interquartile [IQR]) | 52 (47–55) |
| Male sex, n (%) Female sex, n (%) | 2846 (69%) 1302 (31%) |
| Weight, median [IQR] | 69 [58–78] |
| Height, median [IQR] | 170 [164–176] |
| Concomitant drugs, n (%) | 1572 (37.9%) |
| Proton-pump inhibitors, n (%) | 225 (5.4%) |
| Patients treated with nevirapine, n (%) | 165 (4%) |
| Patients treated with raltegravir, n (%) | 518 (12.5%) |
| Patients treated with darunavir, n (%) | 412 (9.9%) |
| Patients treated with ritonavir, n (%) | 936 (22.6%) |
| Patients treated with atazanavir, n (%) | 721 (17.4%) |
| Patients treated with etravirine, n (%) | 102 (2.5%) |
| Patients treated with abacavir, n (%) | 137 (3.3%) |
| Patients treated with tenofovir, n (%) | 1612 (38.9%) |
| Patients treated with emtricitabine, n (%) | 1547 (37.3%) |
| Patients treated with maraviroc, n (%) | 340 (8.2%) |
| Patients treated with lopinavir, n (%) | 191 (4.6%) |
| Season | Lopinavir Median Concentrations (ng/mL) [IQR] | Etravirine Median Concentrations (ng/mL) [IQR] | Maraviroc Median Concentrations (ng/mL) [IQR] |
|---|---|---|---|
| Winter | 5015 [2009–7541] | 562 [410–1133] | 178.5 [84.5–456.5] |
| Spring | 6829 [4839–11148.5] | 447 [234.5–660] | 135 [42–273] |
| Summer | 7608 [4396–1012.5] | 265 [179–448.5] | 125 [57–259.5] |
| Autumn | 6906 [3678–10312] | 602 [372.25–854] | 99 [46.75–240.25] |
| Etravirine Efficacy Cut-Off Value of 300 ng/mL | ||||
|---|---|---|---|---|
| Univariate Regression | Logistic Regression | |||
| Predictive Factors | p-Value | OR (95% IC) | p-Value | OR (95% IC) |
| Age ≥ 50 | 0.037 | 2.5 (1.1–6.0) | 0.006 | 4.6 (1.5–13.8) |
| Gender | 0.564 | 1.3 (0.5–3.3) | ||
| Weight ≥ 70 kg | 0.476 | 0.7 (0.3–1.7) | ||
| Height ≥ 170 cm | 0.091 | 0.5 (0.2–1.1) | ||
| Summer | 0.002 | 0.2 (0.1–0.6) | 0.017 | 0.2 (0.1–0.8) |
| Winter | 0.003 | 4.5 (1.7–12.4) | 0.077 | 2.9 (0.9–9.3) |
| Proton-pump inhibitors | 0.006 | 0.3 (0.1–0.7) | 0.188 | 0.5 (0.2–1.4) |
Publisher’s Note: MDPI stays neutral with regard to jurisdictional claims in published maps and institutional affiliations. |
© 2021 by the authors. Licensee MDPI, Basel, Switzerland. This article is an open access article distributed under the terms and conditions of the Creative Commons Attribution (CC BY) license (https://creativecommons.org/licenses/by/4.0/).
Share and Cite
Cusato, J.; Mula, J.; Palermiti, A.; Manca, A.; Antonucci, M.; Avataneo, V.; De Vivo, E.D.; Ianniello, A.; Calcagno, A.; Di Perri, G.; et al. Seasonal Variation of Antiretroviral Drug Exposure during the Year: The Experience of 10 Years of Therapeutic Drug Monitoring. Biomedicines 2021, 9, 1202. https://doi.org/10.3390/biomedicines9091202
Cusato J, Mula J, Palermiti A, Manca A, Antonucci M, Avataneo V, De Vivo ED, Ianniello A, Calcagno A, Di Perri G, et al. Seasonal Variation of Antiretroviral Drug Exposure during the Year: The Experience of 10 Years of Therapeutic Drug Monitoring. Biomedicines. 2021; 9(9):1202. https://doi.org/10.3390/biomedicines9091202
Chicago/Turabian StyleCusato, Jessica, Jacopo Mula, Alice Palermiti, Alessandra Manca, Miriam Antonucci, Valeria Avataneo, Elisa Delia De Vivo, Alice Ianniello, Andrea Calcagno, Giovanni Di Perri, and et al. 2021. "Seasonal Variation of Antiretroviral Drug Exposure during the Year: The Experience of 10 Years of Therapeutic Drug Monitoring" Biomedicines 9, no. 9: 1202. https://doi.org/10.3390/biomedicines9091202
APA StyleCusato, J., Mula, J., Palermiti, A., Manca, A., Antonucci, M., Avataneo, V., De Vivo, E. D., Ianniello, A., Calcagno, A., Di Perri, G., De Nicolò, A., & D’Avolio, A. (2021). Seasonal Variation of Antiretroviral Drug Exposure during the Year: The Experience of 10 Years of Therapeutic Drug Monitoring. Biomedicines, 9(9), 1202. https://doi.org/10.3390/biomedicines9091202

