Risk of Chronic Obstructive Pulmonary Disease Exacerbation in Patients Who Use Methotrexate—A Nationwide Study of 58,580 Outpatients
Abstract
1. Introduction
2. Materials and Methods
2.1. Study Subjects
2.2. Study Design
2.3. Data Sources
- The Danish Registry of Chronic Obstructive Pulmonary Disease (DrCOPD) contains information on treatment and health status of all patients with COPD in Denmark. Data obtained from this registry included age, lung function reported as expected forced expiratory volume in 1 s (FEV1) % predicted, body mass index (BMI), smoking status and vital status.
- The Danish National Health Service Prescription Database contains information on all prescriptions including the date of dispensation, the dose dispensed and the strength of prescriptions. Data was coded according to the Anatomical Therapeutic Chemical (ATC) classification system (Table S1). Medications included were MTX, inhaled corticosteroids (ICS), long-acting muscarinic antagonist (LAMA), long-acting beta-agonist (LABA) and oral corticosteroids (OCS).
- The Danish National Patient Register contains information on hospital admissions and outpatient clinic visits in Denmark. The primary and secondary diagnoses from each hospital visit were coded according to the International Classification of Diseases, 10th revision Clinical Modification Code (ICD-10) (Table S2). The diagnoses included were sarcoidosis, asthma, heart failure, ischemic heart disease, diabetes, peptic ulcer, dementia, solid metastatic tumor, hemiplegia or paraplegia, renal failure, peripheral vascular disease, cerebrovascular disease, rheumatic disease, any malignancy except malignant neoplasm of skin, mild liver disease, moderate to serious liver disease and AECOPD.
2.4. Analyses
3. Results
3.1. Descriptive Analyses
3.2. Statistical Analysis
3.2.1. Main Outcome Analysis
3.2.2. Sensitivity Analysis
3.2.3. Subgroup Analysis
4. Discussion
Strengths and Limitations
Supplementary Materials
Author Contributions
Funding
Institutional Review Board Statement
Informed Consent Statement
Data Availability Statement
Conflicts of Interest
References
- Vogelmeier, C.F.; Criner, G.J.; Martinez, F.J.; Anzueto, A.; Barnes, P.J.; Bourbeau, J.; Celli, B.R.; Chen, R.; Decramer, M.; Fabbri, L.M.; et al. Global Strategy for the Diagnosis, Management and Prevention of Chronic Obstructive Lung Disease 2017 Report: The GOLD science committee. Am. J. Respir. Crit. Care Med. 2017, 22, 575–601. [Google Scholar] [CrossRef]
- WHO. Chronic Obstructive Pulmonary Disease Fact Sheet. 1 December 2017. Available online: http://www.who.int/en/news-room/fact-sheets/detail/chronic-obstructive-pulmonary-disease-(copd) (accessed on 10 October 2020).
- Nikos, N.T.; Fotis, P.; Hillas, G.; Perlikos, F.; Tzanakis, N. Acute exacerbation of COPD: Is it the “stroke of the lungs”? Int. J. Chronic Obstr. Pulm. Dis. 2016, 11, 1579–1586. [Google Scholar] [CrossRef] [PubMed]
- Singh, D.; Agusti, A.; Anzueto, A.; Barnes, P.J.; Bourbeau, J.; Celli, B.R.; Criner, G.J.; Frith, P.; Halpin, D.M.G.; Han, M.; et al. Global Strategy for the Diagnosis, Management, and Prevention of Chronic Obstructive Lung Disease: The GOLD science committee report 2019. Eur. Respir. J. 2019, 53, 1900164. [Google Scholar] [CrossRef] [PubMed]
- Agusti, A.; Fabbri, L.M.; Singh, D.; Vestbo, J.; Celli, B.; Franssen, F.M.; Rabe, K.F.; Papi, A. Inhaled corticosteroids in COPD: Friend or foe? Eur. Respir. J. 2018, 52, 1801219. [Google Scholar] [CrossRef] [PubMed]
- Wang, J.J.R.E.; Tan, A.G.; Cumming, R.G.; Leeder, S.R.; Mitchell, P. Use of inhaled and oral corticosteroids and the long-term risk of cataract. Ophthalmology 2009, 116, 652–657. [Google Scholar] [CrossRef]
- Dong, Y.H.; Chang, C.H.; Wu, F.L.L.; Shen, L.J.; Calverley, P.M.; Löfdahl, C.G.; Lai, M.S.; Mahler, D.A. Use of inhaled corticosteroids in patients with COPD and the risk of TB and influenza: A systematic review and meta-analysis of randomized controlled trials: A sys-tematic review and meta-analysis of randomized controlled trials. Chest 2014, 145, 1286–1297. [Google Scholar] [CrossRef]
- Price, D.B.; Voorham, J.; Brusselle, G.; Clemens, A.; Kostikas, K.; Stephens, J.W.; Park, H.Y.; Roche, N.; Fogel, R. Inhaled corticosteroids in COPD and onset of type 2 diabetes and osteoporosis: Matched cohort study. NPJ Prim. Care Respir. Med. 2019, 29, 1–13. [Google Scholar] [CrossRef]
- Suissa, S.; Kezouh, A.; Ernst, P. Inhaled Corticosteroids and the Risks of Diabetes Onset and Progression. Am. J. Med. 2010, 123, 1001–1006. [Google Scholar] [CrossRef]
- Cutolo, M.; Sulli, A.; Pizzorni, C.; Seriolo, B.; Straub, R.H. Anti-inflammatory mechanisms of methotrexate in rheumatoid arthritis. Ann. Rheum. Dis. 2001, 60, 729–735. [Google Scholar] [CrossRef]
- Chan, E.S.L.; Cronstein, B.N. Molecular action of methotrexate in inflammatory diseases. Arthritis Res. 2002, 4, 266–273. [Google Scholar] [CrossRef] [PubMed]
- Bedoui, Y.; Guillot, X.; Sélambarom, J.; Guiraud, P.; Giry, C.; Jaffar-Bandjee, M.C.; Ralandison, S.; Gasque, P. Methotrexate an Old Drug with New Tricks. Int. J. Mol. Sci. 2019, 20, 5023. [Google Scholar] [CrossRef]
- Iannone, L.F.; Bennardo, L.; Palleria, C.; Roberti, R.; De Sarro, C.; Naturale, M.D.; Dastoli, S.; Donato, L.; Manti, A.; Valenti, G.; et al. Safety profile of biologic drugs for psoriasis in clinical practice: An Italian prospective pharmacovigilance study. PLoS ONE 2020, 15, e0241575. [Google Scholar] [CrossRef] [PubMed]
- Rosenthal, D.G.; Parwani, P.; Murray, T.O.; Petek, B.J.; Benn, B.S.; De Marco, T.; Gerstenfeld, E.P.; Janmohamed, M.; Klein, L.; Lee, B.K.; et al. Long-Term Corticosteroid-Sparing Immuno-suppression for Cardiac Sarcoidosis. J. Am. Heart Assoc. 2019, 8, e010952. [Google Scholar] [CrossRef] [PubMed]
- Mullarkey, M.F.; Blumenstein, B.A.; Andrade, W.P.; Bailey, G.A.; Olason, I.; Wetzel, C.E. Methotrexate in the treatment of corticoster-oid-dependent asthma. A double-blind crossover study. N. Engl. J. Med. 1988, 318, 603–607. [Google Scholar] [CrossRef] [PubMed]
- Shiner, R.J.; Nunn, A.J.; Chung, K.F.; Geddes, D.M. Randomised, double-blind, placebo-controlled trial of methotrexate in ster-oid-dependent asthma. Lancet 1990, 336, 137–140. [Google Scholar] [CrossRef]
- Dyer, P.D.; Vaughan, T.R.; Weber, R.W. Methotrexate in the treatment of steroid-dependent asthma. J. Allergy Clin. Immunol. 1991, 88, 208–212. [Google Scholar] [CrossRef]
- Computerised Matching of Cases to Controls. Available online: https://www.mayo.edu/research/documents/biostat-56pdf/doc-10026923 (accessed on 31 October 2020).
- Charlson, M.E.; Pompei, P.; Ales, K.L.; Mac Kenzie, C.R. A new method of classifying prognostic comorbidity in longitudinal stud-ies: Development and validation. J. Chronic Dis. 1987, 40, 373–383. [Google Scholar] [CrossRef]
- Samji, H.; Cescon, A.; Hogg, R.S.; Modur, S.P.; Althoff, K.N.; Buchacz, K.; Burchell, A.N.; Cohen, M.; Gebo, K.A.; Gill, M.J.; et al. Closing the Gap: Increases in Life Expectancy among Treated HIV-Positive Individuals in the United States and Canada. PLoS ONE 2013, 8, e81355. [Google Scholar] [CrossRef] [PubMed]
- Knarborg, M.; Hilberg, O.; Hoffmann, H.-J.; Dahl, R. Methotrexate as an oral corticosteroid-sparing agent in severe asthma: The emergence of a responder asthma endotype. Eur. Clin. Respir. J. 2014, 1, 25037. [Google Scholar] [CrossRef]
- Davies, H.R.H.R.; Olson, L.L.; Gibson, P.G. Methotrexate as a steroid sparing agent for asthma in adults. Cochrane Database Syst. Rev. 1998, 1998, CD000391. [Google Scholar] [CrossRef]
- Kasteler, J.S.; Callen, J.P. Low-dose methotrexate administered weekly is an effective corticosteroid-sparing agent for the treat-ment of the cutaneous manifestations of dermatomyositis. J. Am. Acad. Dermatol. 1997, 36, 67–71. [Google Scholar] [CrossRef]
- Grana, E.R.; Lin, P.; Suhler, E.B.; Rosenbaum, J.T. Methotrexate as a Corticosteroid-Sparing Agent for Thyroid Eye Disease. J. Clin. Exp. Ophthalmol. 2015, 6. [Google Scholar] [CrossRef] [PubMed]
- Sands, D.S.; Chan, S.C.; Gottlieb, C.C. Methotrexate for the treatment of noninfectious scleritis. Can. J. Ophthalmol. 2018, 53, 349–353. [Google Scholar] [CrossRef] [PubMed]
- Jachens, A.W.; Chu, D.S. Retrospective Review of Methotrexate Therapy in the Treatment of Chronic, Noninfectious, Nonnecrotizing Scleritis. Am. J. Ophthalmol. 2008, 145, 487–492. [Google Scholar] [CrossRef]
- Mitre, E.; Talaat, K.R.; Sperling, M.R.; Nash, T.E. Methotrexate as a Corticosteroid-Sparing Agent in Complicated Neurocysticercosis. Clin. Infect. Dis. 2007, 44, 549–553. [Google Scholar] [CrossRef]
- Ruperto, N.; Pistorio, A.; Oliveira, S.; Zulian, F.; Cuttica, R.; Ravelli, A.; Fischbach, M.; Magnusson, B.; Sterba, G.; Avcin, T.; et al. Prednisone versus prednisone plus ciclosporin versus prednisone plus methotrexate in new-onset juvenile dermatomyositis: A randomised trial. Lancet 2016, 387, 671–678. [Google Scholar] [CrossRef]
- Ohbayashi, M.; Suzuki, M.; Yashiro, Y.; Fukuwaka, S.; Yasuda, M.; Kohyama, N.; Kobayashi, Y.; Yamamoto, T. Induction of pulmonary fibrosis by metho-trexate treatment in mice lung in vivo and in vitro. J. Toxicol. Sci. 2010, 35, 653–661. [Google Scholar] [CrossRef]
- Conway, R.; Low, C.; Coughlan, R.J.; O’Donnell, M.J.; Carey, J.J. Methotrexate use and risk of lung disease in psoriasis, psoriatic arthritis, and inflammatory bowel disease: Systematic literature review and meta-analysis of randomised controlled trials. BMJ 2015, 350, h1269. [Google Scholar] [CrossRef]
- Rassen, J.A.; Shelat, A.A.; Myers, J.; Glynn, R.J.; Rothman, K.J.; Schneeweiss, S. One-to-many propensity score matching in cohort studies. Pharmacoepidemiol. Drug Saf. 2012, 21, 69–80. [Google Scholar] [CrossRef]




| N (Number of Participants) | Entire COPD Cohort (n = 58,580) | Propensity-Matched Cohort (n = 5401) | ||||
|---|---|---|---|---|---|---|
| Non MTX Group | MTX Group | p | Non MTX Group | MTX Group | p | |
| Characteristics | n = 58,089 | n = 491 | n = 4910 | n = 491 | ||
| Age, median (IQR) | 70 (63–78) | 69 (63–76) | <0.0001 | 70 (63–78) | 69 (63–75) | <0.0001 |
| Male (%) | 27,787 (47.8) | 187 (38.1) | <0.0001 | 2277 (46.4) | 187 (38.1) | 0.0004 |
| FEV1(%) median (IQR) | 49 (37–61) | 51 (42–64) | <0.0001 | 49 (37–61) | 52 (42–66) | <0.0001 |
| GOLD stage 4: <30, n (%) | 7615 (13.1) | 34 (6.92) | <0.0001 | 637 (13.0) | 34 (6.92) | <0.0001 |
| GOLD stage 3: 30–49.99, n (%) | 24,924 (42.9) | 192 (39.1) | 2137 (43.5) | 192 (39.1) | ||
| GOLD stage 2: 50–79.99, n (%) | 22,009 (37.9) | 219 (44.6) | 1832 (37.3) | 219 (44.6) | ||
| GOLD stage 1: ≥80, n (%) | 3541 (6.10) | 46 (9.37) | 304 (6.19) | 46 (9.37) | ||
| BMI (kg/m2) | ||||||
| BMI; Median (IQR) | 25 (22–28) | 25 (22–29) | <0.0001 | 25 (22–28) | 25 (22–29) | <0.0001 |
| I: 10.0–18.4 | 5061 (8.71) | 32 (6.52) | 0.04 | 466 (9.49) | 32 (6.52) | 0.02 |
| II: 18.5–24.9 | 20,363 (35.1) | 154 (31.4) | 1726 (35.2) | 154 (31.4) | ||
| III: 25.0–29.9 | 21,042 (36.2) | 184 (37.5) | 1740 (35.4) | 184 (37.5) | ||
| IV: 30.0–34.9 | 7595 (13.1) | 80 (16.3) | 632 (12.9) | 80 (16.3) | ||
| V: ≥35 | 4028 (6.93) | 41 (8.35) | 346 (7.05) | 41 (8.35) | ||
| Smoking Status | ||||||
| Active smoker (%) | 19,294 (33.2) | 132 (26.9) | 0.003 | 1637 (33.3) | 132 (26.9) | 0.004 |
| Former smoker/never-smoker (%) | 38,795 (66.8) | 359 (73.1) | 3273 (66.7) | 359 (73.1) | ||
| AECOPD 12 months prior to study entry | ||||||
| 0 AECOPD (%) | 40,778 (70.2) | 345 (70.3) | 0.83 | 3485 (71.0) | 345 (70.3) | 0.61 |
| 1 AECOPD (%) | 8051 (13.9) | 69 (14.1) | 652 (13.3) | 69 (14.1) | ||
| ≥2 AECOPD (%) | 9260 (15.8) | 77 (15.7) | 773 (15.7) | 77 (15.7) | ||
| Use of ICS 12 months prior to study entry, n (%) | 48,299 (83.2) | 406 (82.7) | 0.79 | 4083 (83.2) | 406 (82.7) | 0.79 |
| Use of LAMA 12 months prior to study entry, n (%) | 50,171 (86.4) | 409 (83.3) | 0.049 | 4251 (86.6) | 409 (83.3) | 0.044 |
| Use of LABA 12 months prior to study entry, n (%) | 51,823 (89.2) | 429 (87.4) | 0.043 | 4398 (89.6) | 429 (87.4) | 0.039 |
| Use of OCS 12 months prior to study entry, n (%) a | ||||||
| No OCS use | 34,314 (60.2) | 213 (43.4) | <0.0001 | 2979 (60.7) | 213 (43.4) | <0.0001 |
| Low OCS use | 10,927 (19.2) | 85 (17.3) | 929 (18.9) | 85 (17.3) | ||
| Medium/High OCS use | 11,722 (20.6) | 193 (39.3) | 1002 (20.4) | 193 (39.3) | ||
| Accumulated OCS dose in mg 12 months prior to study entry, median (IQR) | 1000 (250–2750) | 1500 (750–2500) | <0.0001 | 875 (250–2500) | 1500 (750–2500) | <0.0001 |
| Use of MTX within 24 months prior to study entry, n (%) b | ||||||
| No MTX use | 58,089 | 0 | <0.0001 | 4910 | 0 | <0.0001 |
| Low MTX use | 0 | 472 (96.1) | 0 | 472 (96.1) | ||
| Medium/High MTX use | 0 | 19 (3.9) | 0 | 19 (3.9) | ||
| Astma diagnosis | 8156 (14.0) | 76 (15.2) | 0.36 | 710 (14.5) | 76 (15.2) | 0.54 |
| Charlson comorbidity index score c, n (%) | ||||||
| 0 | 21,725 (37.4) | 156 (31.8) | 0.04 | 1877 (38.2) | 156 (31.8) | 0.04 |
| 1 | 12,585 (21.7) | 112 (22.8) | 1083 (22.1) | 112 (22.8) | ||
| ≥2 | 23,779 (40.9) | 223 (45.4) | 1950 (39.7) | 223 (45.4) | ||
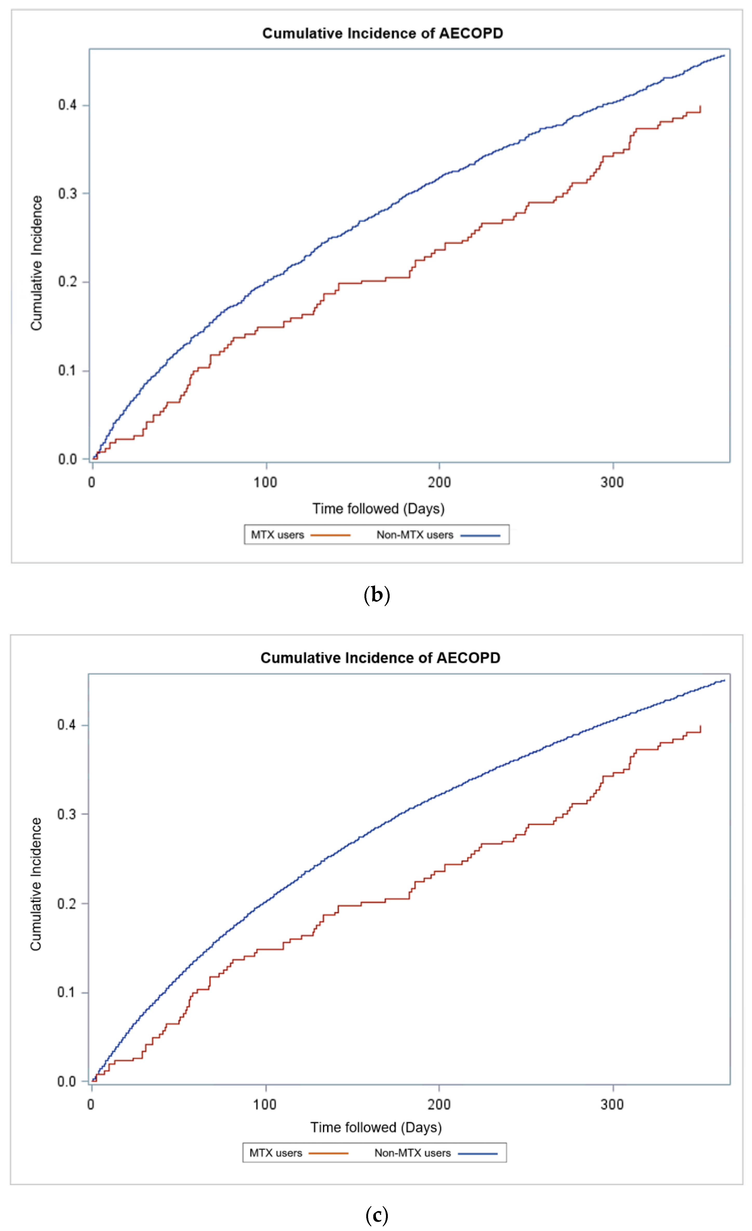
| AECOPD Event | Risk of AECOPD | ||||
|---|---|---|---|---|---|
| MTX Group | Non-MTX Group | HR | (95% CI) | p-Value | |
| Main Analysis | |||||
| Propensity-matched population, 180 days | 58 | 719 | 0.66 | 0.66–0.66 | <0.001 |
| Sensitivity Analysis | |||||
| Unmatched population, 180 days | 58 | 8577 | 0.76 | 0.59–0.99 | 0.041 |
| Propensity-matched population, 365 days | 105 | 1057 | 0.81 | 0.81–0.82 | <0.001 |
| Unmatched population, 365 days | 105 | 12,399 | 0.92 | 0.76–1.11 | 0.37 |
Publisher’s Note: MDPI stays neutral with regard to jurisdictional claims in published maps and institutional affiliations. |
© 2021 by the authors. Licensee MDPI, Basel, Switzerland. This article is an open access article distributed under the terms and conditions of the Creative Commons Attribution (CC BY) license (https://creativecommons.org/licenses/by/4.0/).
Share and Cite
Bergsøe, C.M.; Sivapalan, P.; Saeed, M.I.; Eklöf, J.; Saghir, Z.; Sørensen, R.; Biering-Sørensen, T.; Jensen, J.-U.S. Risk of Chronic Obstructive Pulmonary Disease Exacerbation in Patients Who Use Methotrexate—A Nationwide Study of 58,580 Outpatients. Biomedicines 2021, 9, 604. https://doi.org/10.3390/biomedicines9060604
Bergsøe CM, Sivapalan P, Saeed MI, Eklöf J, Saghir Z, Sørensen R, Biering-Sørensen T, Jensen J-US. Risk of Chronic Obstructive Pulmonary Disease Exacerbation in Patients Who Use Methotrexate—A Nationwide Study of 58,580 Outpatients. Biomedicines. 2021; 9(6):604. https://doi.org/10.3390/biomedicines9060604
Chicago/Turabian StyleBergsøe, Christina Marisa, Pradeesh Sivapalan, Mohamad Isam Saeed, Josefin Eklöf, Zaigham Saghir, Rikke Sørensen, Tor Biering-Sørensen, and Jens-Ulrik Stæhr Jensen. 2021. "Risk of Chronic Obstructive Pulmonary Disease Exacerbation in Patients Who Use Methotrexate—A Nationwide Study of 58,580 Outpatients" Biomedicines 9, no. 6: 604. https://doi.org/10.3390/biomedicines9060604
APA StyleBergsøe, C. M., Sivapalan, P., Saeed, M. I., Eklöf, J., Saghir, Z., Sørensen, R., Biering-Sørensen, T., & Jensen, J.-U. S. (2021). Risk of Chronic Obstructive Pulmonary Disease Exacerbation in Patients Who Use Methotrexate—A Nationwide Study of 58,580 Outpatients. Biomedicines, 9(6), 604. https://doi.org/10.3390/biomedicines9060604

