Monopolar Spindle 1 Kinase (MPS1/TTK) mRNA Expression is Associated with Earlier Development of Clinical Symptoms, Tumor Aggressiveness and Survival of Glioma Patients
Abstract
1. Introduction
2. Experimental Section
2.1. Tissue Samples and Clinical Data
2.2. RNA Extraction and qPCR
2.3. Statistics
3. Results
3.1. Patient Cohort
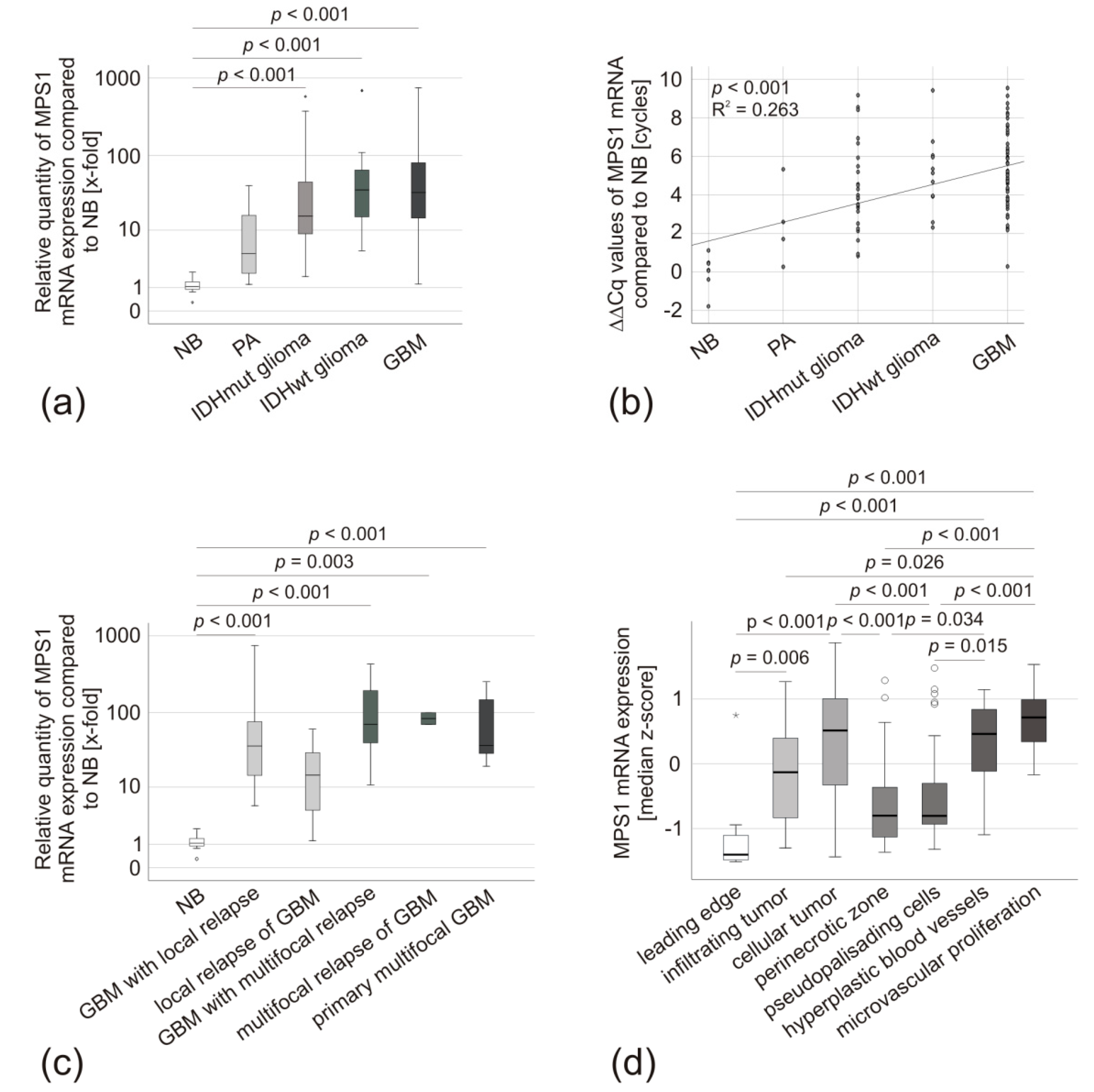
3.2. MPS1 mRNA was Overexpressed in Gliomas and Correlated with Tumor Aggressiveness
3.3. MPS1 mRNA Expression Correlated with Earlier Development of Clinical Symptoms, Tumor Volume and Long Term Survival of Patients
4. Discussion
Author Contributions
Funding
Acknowledgments
Conflicts of Interest
Abbreviations
| GBM | Glioblastoma |
| WHO | World Health Organization |
| IDH | Isocitrate dehydrogenase |
| IDHwt glioma | IDH-wild-type gliomas of WHO grade II and III |
| IDHmut glioma | IDH-mutated gliomas of WHO grade II and III |
| TMZ | Temozolomide |
| TTFields | Tumor Treating Fields |
| MPS1/TTK | Protein kinase Monopolar spindle 1 |
| qPCR | Quantitative real-time polymerase chain reaction |
| mRNA | Messenger ribonucleic acid |
| NB | Normal brain |
| MGMT | O6-methylguanine-DNA methyltransferase |
| ECOG | Eastern Cooperative Oncology Group score |
| PFS | Progression-free survival |
| OS | Overall survival |
| ANOVA | Analysis of variance |
| PCR | Polymerase Chain reaction |
| GAPDH | Glyceraldehyde 3-phosphate dehydrogenase |
| MRI | Magnetic Resonance Imaging |
References
- Louis, D.N.; Perry, A.; Reifenberger, G.; von Deimling, A.; Figarella-Branger, D.; Cavenee, W.K.; Ohgaki, H.; Wiestler, O.D.; Kleihues, P.; Ellison, D.W. The 2016 World Health Organization Classification of Tumors of the Central Nervous System: A summary. Acta Neuropathol. 2016, 131, 803–820. [Google Scholar] [CrossRef] [PubMed]
- Sadighi, Z.; Slopis, J. Pilocytic astrocytoma: A disease with evolving molecular heterogeneity. J. Child Neurol. 2013, 28, 625–632. [Google Scholar] [CrossRef] [PubMed]
- Bikowska-Opalach, B.; Szlufik, S.; Grajkowska, W.; Jozwiak, J. Pilocytic astrocytoma: A review of genetic and molecular factors, diagnostic and prognostic markers. Histol. Histopathol. 2014, 29, 1235–1248. [Google Scholar] [PubMed]
- Collins, V.P.; Jones, D.T.; Giannini, C. Pilocytic astrocytoma: Pathology, molecular mechanisms and markers. Acta Neuropathol. 2015, 129, 775–788. [Google Scholar] [CrossRef]
- Herrlinger, U.; Jones, D.T.W.; Glas, M.; Hattingen, E.; Gramatzki, D.; Stuplich, M.; Felsberg, J.; Bahr, O.; Gielen, G.H.; Simon, M.; et al. Gliomatosis cerebri: No evidence for a separate brain tumor entity. Acta Neuropathol. 2016, 131, 309–319. [Google Scholar] [CrossRef]
- Delgado-Lopez, P.D.; Corrales-Garcia, E.M.; Martino, J.; Lastra-Aras, E.; Duenas-Polo, M.T. Diffuse low-grade glioma: A review on the new molecular classification, natural history and current management strategies. Clin. Transl. Oncol. 2017, 19, 931–944. [Google Scholar] [CrossRef]
- Schiff, D. Low-grade Gliomas. Contin. Minneap. Minn. 2017, 23, 1564–1579. [Google Scholar] [CrossRef]
- Hasselblatt, M.; Jaber, M.; Reuss, D.; Grauer, O.; Bibo, A.; Terwey, S.; Schick, U.; Ebel, H.; Niederstadt, T.; Stummer, W.; et al. Diffuse Astrocytoma, IDH-Wildtype: A Dissolving Diagnosis. J. Neuropathol. Exp. Neurol. 2018, 77, 422–425. [Google Scholar] [CrossRef]
- Reifenberger, G.; Collins, V.P. Pathology and molecular genetics of astrocytic gliomas. J. Mol. Med. (Berl) 2004, 82, 656–670. [Google Scholar] [CrossRef]
- Stupp, R.; Mason, W.P.; van den Bent, M.J.; Weller, M.; Fisher, B.; Taphoorn, M.J.; Belanger, K.; Brandes, A.A.; Marosi, C.; Bogdahn, U.; et al. Radiotherapy plus concomitant and adjuvant temozolomide for glioblastoma. N. Engl. J. Med. 2005, 352, 987–996. [Google Scholar] [CrossRef]
- Hottinger, A.F.; Pacheco, P.; Stupp, R. Tumor treating fields: A novel treatment modality and its use in brain tumors. Neuro Oncol. 2016, 18, 1338–1349. [Google Scholar] [CrossRef] [PubMed]
- Mehta, M.; Wen, P.; Nishikawa, R.; Reardon, D.; Peters, K. Critical review of the addition of tumor treating fields (TTFields) to the existing standard of care for newly diagnosed glioblastoma patients. Crit. Rev. Oncol./Hematol. 2017, 111, 60–65. [Google Scholar] [CrossRef]
- Stupp, R.; Taillibert, S.; Kanner, A.A.; Kesari, S.; Steinberg, D.M.; Toms, S.A.; Taylor, L.P.; Lieberman, F.; Silvani, A.; Fink, K.L.; et al. Maintenance Therapy With Tumor-Treating Fields Plus Temozolomide vs Temozolomide Alone for Glioblastoma: A Randomized Clinical Trial. JAMA 2015, 314, 2535–2543. [Google Scholar] [CrossRef]
- Kessler, A.F.; Frombling, G.E.; Gross, F.; Hahn, M.; Dzokou, W.; Ernestus, R.I.; Lohr, M.; Hagemann, C. Effects of tumor treating fields (TTFields) on glioblastoma cells are augmented by mitotic checkpoint inhibition. Cell Death Discov. 2018, 5, 12. [Google Scholar] [CrossRef] [PubMed]
- Tannous, B.A.; Kerami, M.; Van der Stoop, P.M.; Kwiatkowski, N.; Wang, J.; Zhou, W.; Kessler, A.F.; Lewandrowski, G.; Hiddingh, L.; Sol, N.; et al. Effects of the selective MPS1 inhibitor MPS1-IN-3 on glioblastoma sensitivity to antimitotic drugs. J. Natl. Cancer Inst. 2013, 105, 1322–1331. [Google Scholar] [CrossRef]
- Fisk, H.A.; Mattison, C.P.; Winey, M. A field guide to the Mps1 family of protein kinases. Cell Cycle 2004, 3, 439–442. [Google Scholar] [CrossRef] [PubMed]
- Maciejowski, J.; George, K.A.; Terret, M.E.; Zhang, C.; Shokat, K.M.; Jallepalli, P.V. Mps1 directs the assembly of Cdc20 inhibitory complexes during interphase and mitosis to control M phase timing and spindle checkpoint signaling. J. Cell Biol. 2010, 190, 89–100. [Google Scholar] [CrossRef] [PubMed]
- Maure, J.F.; Kitamura, E.; Tanaka, T.U. Mps1 kinase promotes sister-kinetochore bi-orientation by a tension-dependent mechanism. Curr. Biol. 2007, 17, 2175–2182. [Google Scholar] [CrossRef]
- Jelluma, N.; Brenkman, A.B.; McLeod, I.; Yates, J.R., 3rd; Cleveland, D.W.; Medema, R.H.; Kops, G.J. Chromosomal instability by inefficient Mps1 auto-activation due to a weakened mitotic checkpoint and lagging chromosomes. PLoS ONE 2008, 3, e2415. [Google Scholar] [CrossRef] [PubMed]
- Jelluma, N.; Brenkman, A.B.; van den Broek, N.J.; Cruijsen, C.W.; van Osch, M.H.; Lens, S.M.; Medema, R.H.; Kops, G.J. Mps1 phosphorylates Borealin to control Aurora B activity and chromosome alignment. Cell 2008, 132, 233–246. [Google Scholar] [CrossRef]
- Santaguida, S.; Tighe, A.; D’Alise, A.M.; Taylor, S.S.; Musacchio, A. Dissecting the role of MPS1 in chromosome biorientation and the spindle checkpoint through the small molecule inhibitor reversine. J. Cell Biol. 2010, 190, 73–87. [Google Scholar] [CrossRef] [PubMed]
- Chen, S.; Wang, Y.; Ni, C.; Meng, G.; Sheng, X. HLF/miR-132/TTK axis regulates cell proliferation, metastasis and radiosensitivity of glioma cells. Biomed. Pharmacother. Biomed. Pharmacother. 2016, 83, 898–904. [Google Scholar] [CrossRef] [PubMed]
- Feldheim, J.; Kessler, A.F.; Schmitt, D.; Wilczek, L.; Linsenmann, T.; Dahlmann, M.; Monoranu, C.M.; Ernestus, R.I.; Hagemann, C.; Lohr, M. Expression of activating transcription factor 5 (ATF5) is increased in astrocytomas of different WHO grades and correlates with survival of glioblastoma patients. Onco Targets 2018, 11, 8673–8684. [Google Scholar] [CrossRef]
- Feldheim, J.; Kessler, A.F.; Schmitt, D.; Salvador, E.; Monoranu, C.M.; Feldheim, J.J.; Ernestus, R.I.; Löhr, M.; Hagemann, C. Ribosomal Protein S27/Metallopanstimulin-1 (RPS27) in Glioma-A New Disease Biomarker? Cancers 2020, 12, 1085. [Google Scholar] [CrossRef]
- Livak, K.J.; Schmittgen, T.D. Analysis of relative gene expression data using real-time quantitative PCR and the 2(-Delta Delta C(T)) Method. Methods 2001, 25, 402–408. [Google Scholar] [CrossRef]
- Puchalski, R.B.; Shah, N.; Miller, J.; Dalley, R.; Nomura, S.R.; Yoon, J.G.; Smith, K.A.; Lankerovich, M.; Bertagnolli, D.; Bickley, K.; et al. An anatomic transcriptional atlas of human glioblastoma. Science 2018, 360, 660–663. [Google Scholar] [CrossRef]
- Oken, M.M.; Creech, R.H.; Tormey, D.C.; Horton, J.; Davis, T.E.; McFadden, E.T.; Carbone, P.P. Toxicity and response criteria of the Eastern Cooperative Oncology Group. Am. J. Clin. Oncol. 1982, 5, 649–655. [Google Scholar] [CrossRef]
- Bie, L.; Zhao, G.; Cheng, P.; Rondeau, G.; Porwollik, S.; Ju, Y.; Xia, X.Q.; McClelland, M. The accuracy of survival time prediction for patients with glioma is improved by measuring mitotic spindle checkpoint gene expression. PLoS ONE 2011, 6, e25631. [Google Scholar] [CrossRef]
- Wang, J.; Xie, Y.; Bai, X.; Wang, N.; Yu, H.; Deng, Z.; Lian, M.; Yu, S.; Liu, H.; Xie, W.; et al. Targeting dual specificity protein kinase TTK attenuates tumorigenesis of glioblastoma. Oncotarget 2018, 9, 3081–3088. [Google Scholar] [CrossRef]
- Maachani, U.B.; Kramp, T.; Hanson, R.; Zhao, S.; Celiku, O.; Shankavaram, U.; Colombo, R.; Caplen, N.J.; Camphausen, K.; Tandle, A. Targeting MPS1 Enhances Radiosensitization of Human Glioblastoma by Modulating DNA Repair Proteins. Mol. Cancer Res. Mcr. 2015, 13, 852–862. [Google Scholar] [CrossRef]
- Maachani, U.B.; Tandle, A.; Shankavaram, U.; Kramp, T.; Camphausen, K. Modulation of miR-21 signaling by MPS1 in human glioblastoma. Oncotarget 2016, 7, 52912–52927. [Google Scholar] [CrossRef]
- Alimova, I.; Ng, J.; Harris, P.; Birks, D.; Donson, A.; Taylor, M.D.; Foreman, N.K.; Venkataraman, S.; Vibhakar, R. MPS1 kinase as a potential therapeutic target in medulloblastoma. Oncol. Rep. 2016, 36, 2633–2640. [Google Scholar] [CrossRef] [PubMed]
- Zhou, J.; Li, N.; Yang, G.; Zhu, Y. Vascular patterns of brain tumors. Int. J. Surg. Pathol. 2011, 19, 709–717. [Google Scholar] [CrossRef] [PubMed]
- Rong, Y.; Durden, D.L.; Van Meir, E.G.; Brat, D.J. ‘Pseudopalisading’ necrosis in glioblastoma: A familiar morphologic feature that links vascular pathology, hypoxia, and angiogenesis. J. Neuropathol. Exp. Neurol. 2006, 65, 529–539. [Google Scholar] [CrossRef] [PubMed]
- Kim, C.S.; Jung, S.; Jung, T.Y.; Jang, W.Y.; Sun, H.S.; Ryu, H.H. Characterization of invading glioma cells using molecular analysis of leading-edge tissue. J. Korean Neurosurg. Soc. 2011, 50, 157–165. [Google Scholar] [CrossRef] [PubMed]
- Trepel, M. Neuroanatomie—Struktur und Funktion, 5th ed.; Elsevier GmbH: München, Germany, 2012. [Google Scholar]
- Ellingson, B.M.; Kim, H.J.; Woodworth, D.C.; Pope, W.B.; Cloughesy, J.N.; Harris, R.J.; Lai, A.; Nghiemphu, P.L.; Cloughesy, T.F. Recurrent glioblastoma treated with bevacizumab: Contrast-enhanced T1-weighted subtraction maps improve tumor delineation and aid prediction of survival in a multicenter clinical trial. Radiology 2014, 271, 200–210. [Google Scholar] [CrossRef] [PubMed]
- Ellingson, B.M.; Kim, E.; Woodworth, D.C.; Marques, H.; Boxerman, J.L.; Safriel, Y.; McKinstry, R.C.; Bokstein, F.; Jain, R.; Chi, T.L.; et al. Diffusion MRI quality control and functional diffusion map results in ACRIN 6677/RTOG 0625: A multicenter, randomized, phase II trial of bevacizumab and chemotherapy in recurrent glioblastoma. Int. J. Oncol. 2015, 46, 1883–1892. [Google Scholar] [CrossRef]
- Ellingson, B.M.; Harris, R.J.; Woodworth, D.C.; Leu, K.; Zaw, O.; Mason, W.P.; Sahebjam, S.; Abrey, L.E.; Aftab, D.T.; Schwab, G.M.; et al. Baseline pretreatment contrast enhancing tumor volume including central necrosis is a prognostic factor in recurrent glioblastoma: Evidence from single and multicenter trials. Neuro-Oncology 2017, 19, 89–98. [Google Scholar] [CrossRef]
- NIH. ClinicalTrials.gov. Available online: https://clinicaltrials.gov/ (accessed on 18 March 2020).
- Lorusso, P.; Chawla, S.; Bendell, J.; Shields, A.; Shapiro, G.; Rajagopalan, P.; Cyris, C.; Bruns, I.; Mei, J.; Souza, F. 422P First-in-human study of the monopolar spindle 1 (Mps1) kinase inhibitor BAY 1161909 in combination with paclitaxel in subjects with advanced malignancies. Ann. Oncol. 2018, 29, mdy279. 410. [Google Scholar] [CrossRef]



| Patients’ characteristics | ||||
| Sex | female: 10/37.0% | male: 17/63.0% | ||
| Age (median, quartiles) | 56 years (49–65 years) | |||
| ECOG | 0: 15/55.6% | 1: 10/37.0% | >1: 2/7.4% | |
| Tumor characteristics | ||||
| Volume (median, quartiles) | 30.9 cm3 (16.0–54.6 cm3) | |||
| Localization | left hemisphere: 16/59.3% | right hemisphere: 9/33.3% | both hemispheres: 2/7.4% | |
| Localization (lobe) | frontal: 5/18.5% | occipital: 5/18.5% | temporal: 6/22.2% | |
| parietal: 4/14.8% | multiple: 6/22.2% | cerebellar: 1/3.7% | ||
| IDH mutation status1 | IDHwt: 21/87.5% | IDHmut: 3/12.5% | ||
| MGMT promoter methylation1 | unmethylated: 7/30.4% | methylated: 16/69.6% | ||
| Ki67 staining (median, quartiles) | 25% (20–30) | |||
| Therapy | ||||
| Time from diagnosis to therapy | 0–7 days: 18/66.7% | 8–14 days: 5/18.5% | >14 days: 4/14.8% | |
| Surgical intervention2 | biopsy: 4/15.4% | complete resection: 4/15.4% | incomplete resection: 18/69.2% | |
| Radiation therapy | yes: 25/92.6% | no: 2/7.4% | ||
| TMZ chemotherapy | yes: 22/81.5% | no: 5/18.5% | ||
| Relapse and Outcome | ||||
| PFS3 | 8 months (6–13 months) | |||
| (median, quartiles) | ||||
| Relapse | primarily multifocal: 4/14.8% | local: 15/55.6% | multifocal: 8/29.6% | |
| Therapy in relapse2 | surgical resection followed by radiationand /or TMZ: 12/52.2% | radiation and/or TMZ: 5/21.7% | best supportive care: 6/26.1% | |
| OS | 19 months (9–13 months) | |||
| (median, quartiles) | ||||
| Patients’ Characteristics | IDHmut Glioma | IDHwt Glioma |
|---|---|---|
| Sex | female: 6/30.0% male: 14/70.0% | female: 2/18.2% male: 9/81.8% |
| Age (median, quartiles) | 37 years (33–45 years) | 53 years (26–58 years) |
| OS (median, quartiles) | 37.5 months (23.75–42.65 months) | 32.0 months (14.0–48.0 months) |
| Growth pattern | local: 10/50.0% highly diffuse: 10/50.0% | local: 6/54.5% highly diffuse: 5/45.5% |
| NB Compared to: | Difference in ΔΔCq-Values (Median) | 95%-CI | p-Value |
|---|---|---|---|
| PA | 2.5 | −1.4–6.4 | 0.42 |
| IDHmut glioma | 4.4 | 1.7–7.0 | <0.001 |
| IDHmut glioma with local growth | 4.4 | 1.7–7.2 | 0.001 |
| IDHmut glioma with highly diffuse growth | 4.8 | 2.1–7.5 | <0.001 |
| IDHwt glioma | 5.1 | 2.1–8.1 | <0.001 |
| GBM | 5.3 | 2.8–7.8 | <0.001 |
| GBM with local relapse | 5.5 | 2.7–8.2 | <0.001 |
| Local relapse of GBM | 3.4 | −0.1–6.9 | 0.06 |
| GBM with multifocal relapse | 6.3 | 3.2–9.4 | <0.001 |
| Multifocal relapse of GBM | 6.4 | 1.6–11.2 | <0.001 |
| Primary multifocal GBM | 5.9 | 2.8–9.1 | <0.001 |
| IDHmut Glioma | GBM | ||||||
|---|---|---|---|---|---|---|---|
| Age (years) | OS (months) | Age (years) | OS (months) | PFS (months) | Tumor Volume (cm3) | Ki67 Staining (%) | |
| Correlation coefficient | 0.20 | −0.01 | 0.37 | −0.17 | −0.27 | 0.43 | −0.27 |
| p-value | 0.41 | 0.96 | 0.06 | 0.40 | 0.21 | 0.04 | 0.19 |
© 2020 by the authors. Licensee MDPI, Basel, Switzerland. This article is an open access article distributed under the terms and conditions of the Creative Commons Attribution (CC BY) license (http://creativecommons.org/licenses/by/4.0/).
Share and Cite
Kessler, A.F.; Feldheim, J.; Schmitt, D.; Feldheim, J.J.; Monoranu, C.M.; Ernestus, R.-I.; Löhr, M.; Hagemann, C. Monopolar Spindle 1 Kinase (MPS1/TTK) mRNA Expression is Associated with Earlier Development of Clinical Symptoms, Tumor Aggressiveness and Survival of Glioma Patients. Biomedicines 2020, 8, 192. https://doi.org/10.3390/biomedicines8070192
Kessler AF, Feldheim J, Schmitt D, Feldheim JJ, Monoranu CM, Ernestus R-I, Löhr M, Hagemann C. Monopolar Spindle 1 Kinase (MPS1/TTK) mRNA Expression is Associated with Earlier Development of Clinical Symptoms, Tumor Aggressiveness and Survival of Glioma Patients. Biomedicines. 2020; 8(7):192. https://doi.org/10.3390/biomedicines8070192
Chicago/Turabian StyleKessler, Almuth F., Jonas Feldheim, Dominik Schmitt, Julia J. Feldheim, Camelia M. Monoranu, Ralf-Ingo Ernestus, Mario Löhr, and Carsten Hagemann. 2020. "Monopolar Spindle 1 Kinase (MPS1/TTK) mRNA Expression is Associated with Earlier Development of Clinical Symptoms, Tumor Aggressiveness and Survival of Glioma Patients" Biomedicines 8, no. 7: 192. https://doi.org/10.3390/biomedicines8070192
APA StyleKessler, A. F., Feldheim, J., Schmitt, D., Feldheim, J. J., Monoranu, C. M., Ernestus, R.-I., Löhr, M., & Hagemann, C. (2020). Monopolar Spindle 1 Kinase (MPS1/TTK) mRNA Expression is Associated with Earlier Development of Clinical Symptoms, Tumor Aggressiveness and Survival of Glioma Patients. Biomedicines, 8(7), 192. https://doi.org/10.3390/biomedicines8070192

