Synthesis and Modeling Studies of Furoxan Coupled Spiro-Isoquinolino Piperidine Derivatives as NO Releasing PDE 5 Inhibitors
Abstract
1. Introduction
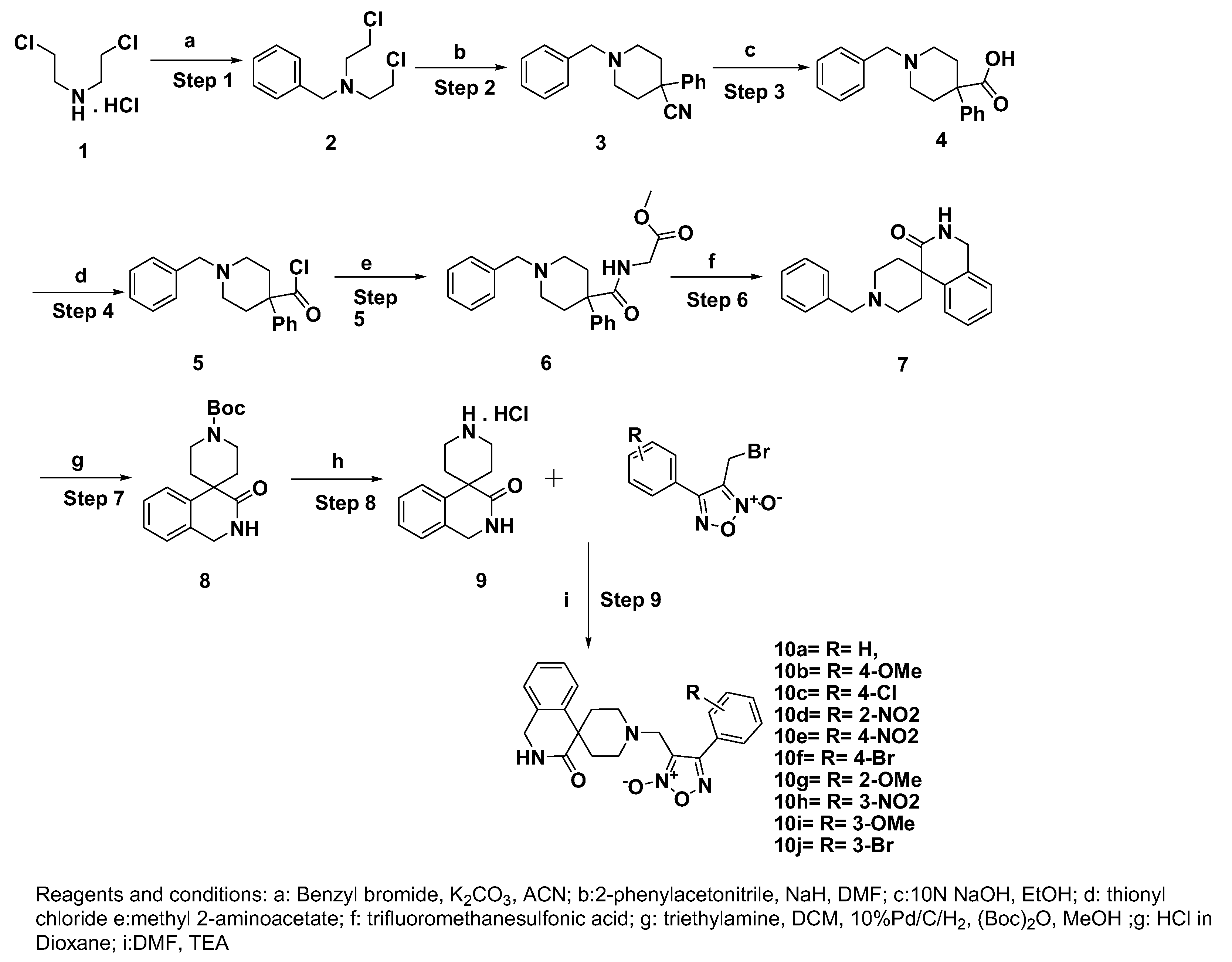
2. Material and Methods
2.1. Nitric Oxide Releasing Griess Assay: Quantitative Nitrite Detection
2.2. Smooth Muscle Relaxant Activity
2.3. Docking Studies
2.4. Antioxidant Activity:
3. Results and Discussion
4. Conclusions
Supplementary Materials
Author Contributions
Funding
Conflicts of Interest
References
- Kalsi, J.S.; Ralph, D.J.; Thomas, P.; Bellringer, J.; Minhas, S.; Kell, P.D.; Cellek, S. ORIGINAL RESEARCH—BASIC SCIENCE: A Nitric Oxide-Releasing PDE5 Inhibitor Relaxes Human Corpus Cavernosum in the Absence of Endogenous Nitric Oxide. J. Sex. Med. 2005, 2, 53–57. [Google Scholar] [CrossRef] [PubMed]
- Murad, F. Nitric oxide: The coming of the second messenger. Rambam Maimonides Med. J. 2011, 2, e0038. [Google Scholar] [CrossRef] [PubMed]
- Bondonno, C.P.; Croft, K.D.; Hodgson, J.M. Dietary Nitrate, Nitric Oxide, and Cardiovascular Health. Crit. Rev. Food Sci. Nutr. 2016, 56, 2036–2052. [Google Scholar] [CrossRef] [PubMed]
- Fadel, P.J. Nitric Oxide and Cardiovascular Regulation. Hypertension 2017, 69, 778–779. [Google Scholar] [CrossRef]
- Joca, S.R.L.; Sartim, A.G.; Roncalho, A.L.; Diniz, C.F.A.; Wegener, G. Nitric oxide signalling and antidepressant action revisited. Cell Tissue Res. 2019, 377, 45–58. [Google Scholar] [CrossRef]
- Alaaeddine, R.A.; Mroueh, A.; Gust, S.; Eid, A.H.; Plane, F.; El-Yazbi, A.F. Impaired cross-talk between NO and hyperpolarization in myoendothelial feedback: A novel therapeutic target in early endothelial dysfunction of metabolic disease. Curr. Opin. Pharmacol. 2019, 45, 33–41. [Google Scholar] [CrossRef]
- Furchgott, R.F.; Zawadzki, J. V The obligatory role of endothelial cells in the relaxation of arterial smooth muscle by acetylcholine. Nature 1980, 288, 373–376. [Google Scholar] [CrossRef]
- Radomski, M.W.; Palmer, R.M.J.; Moncada, S. Endogenous nitric oxide inhibits human platelet adhesion to vascular endothelium. Lancet 1987, 330, 1057–1058. [Google Scholar] [CrossRef]
- Li, G.; Wang, Y.; Li, G.-R. Bradykinin regulates cell growth and migration in cultured human cardiac c-Kit+ progenitor cells. Oncotarget 2017, 8, 10822–10835. [Google Scholar] [CrossRef][Green Version]
- Pudukulatham, Z.; Zhang, F.-X.; Gadotti, V.M.; M’Dahoma, S.; Swami, P.; Tamboli, Y.; Zamponi, G.W. Synthesis and characterization of a disubstituted piperazine derivative with T-type channel blocking action and analgesic properties. Mol. Pain 2016, 12. [Google Scholar] [CrossRef]
- Zhang, J.; Snyder, S.H. Nitric Oxide in the Nervous System. Annu. Rev. Pharmacol. Toxicol. 1995, 35, 213–233. [Google Scholar] [CrossRef]
- Moncada, S.; Palmer, R.M.; Higgs, E.A. Nitric oxide: Physiology, pathophysiology, and pharmacology. Pharmacol. Rev. 1991, 43, 109–142. [Google Scholar]
- Movsesian, M.A.; Kukreja, R.C. Phosphodiesterase Inhibition in Heart Failure. In Phosphodiesterases as Drug Targets; Francis, S.H., Conti, M., Houslay, M.D., Eds.; Springer: Berlin & Heidelberg, Germany, 2011; pp. 237–249. ISBN 978-3-642-17969-3. [Google Scholar]
- Félétou, M.; Köhler, R.; Vanhoutte, P.M. Nitric oxide: Orchestrator of endothelium-dependent responses. Ann. Med. 2012, 44, 694–716. [Google Scholar] [CrossRef] [PubMed]
- Triggle, C.R.; Samuel, S.M.; Ravishankar, S.; Marei, I.; Arunachalam, G.; Ding, H. The endothelium: Influencing vascular smooth muscle in many ways. Can. J. Physiol. Pharmacol. 2012, 90, 713–738. [Google Scholar] [CrossRef] [PubMed]
- Sanders, K.M.; Ward, S.M. Nitric oxide and its role as a non-adrenergic, non-cholinergic inhibitory neurotransmitter in the gastrointestinal tract. Br. J. Pharmacol. 2019, 176, 212–227. [Google Scholar] [CrossRef] [PubMed]
- Sánchez, A.; Contreras, C.; Martínez, M.P.; Climent, B.; Benedito, S.; García-Sacristán, A.; Hernández, M.; Prieto, D. Role of neural NO synthase (nNOS) uncoupling in the dysfunctional nitrergic vasorelaxation of penile arteries from insulin-resistant obese Zucker rats. PLoS ONE 2012, 7, e36027. [Google Scholar] [CrossRef]
- Burnett, A.L.; Lowenstein, C.J.; Bredt, D.S.; Chang, T.S.; Snyder, S.H. Nitric oxide: A physiologic mediator of penile erection. Science 1992, 257, 401–403. [Google Scholar] [CrossRef] [PubMed]
- Meng, J.; Ganesan Adaikan, P.; Srilatha, B. Hydrogen sulfide promotes nitric oxide production in corpus cavernosum by enhancing expression of endothelial nitric oxide synthase. Int. J. Impot. Res. 2013, 25, 86–90. [Google Scholar] [CrossRef]
- Senbel, A.M.; Hashad, A.; Sharabi, F.M.; Daabees, T.T. Activation of muscarinic receptors inhibits neurogenic nitric oxide in the corpus cavernosum. Pharmacol. Res. 2012, 65, 303–311. [Google Scholar] [CrossRef]
- Underbakke, E.S.; Iavarone, A.T.; Chalmers, M.J.; Pascal, B.D.; Novick, S.; Griffin, P.R.; Marletta, M.A. Nitric Oxide-Induced Conformational Changes in Soluble Guanylate Cyclase. Structure 2014, 22, 602–611. [Google Scholar] [CrossRef]
- Weninger, S.; Van Craenenbroeck, K.; Cameron, R.T.; Vandeput, F.; Movsesian, M.A.; Baillie, G.S.; Lefebvre, R.A. Phosphodiesterase 4 interacts with the 5-HT4(b) receptor to regulate cAMP signaling. Cell. Signal. 2014, 26, 2573–2582. [Google Scholar] [CrossRef] [PubMed]
- Zoccarato, A.; Surdo, N.C.; Aronsen, J.M.; Fields, L.A.; Mancuso, L.; Dodoni, G.; Stangherlin, A.; Livie, C.; Jiang, H.; Sin, Y.Y.; et al. Cardiac Hypertrophy Is Inhibited by a Local Pool of cAMP Regulated by Phosphodiesterase 2. Circ. Res. 2015, 117, 707–719. [Google Scholar] [CrossRef] [PubMed]
- Bingham, J.; Sudarsanam, S.; Srinivasan, S. Profiling human phosphodiesterase genes and splice isoforms. Biochem. Biophys. Res. Commun. 2006, 350, 25–32. [Google Scholar] [CrossRef] [PubMed]
- Matsumoto, T.; Kobayashi, T.; Kamata, K. Phosphodiesterases in the Vascular System. J. Smooth Muscle Res. 2003, 39, 67–86. [Google Scholar] [CrossRef] [PubMed]
- McAllister-Lucas, L.M.; Sonnenburg, W.K.; Kadlecek, A.; Seger, D.; Trong, H.L.; Colbran, J.L.; Thomas, M.K.; Walsh, K.A.; Francis, S.H.; Corbin, J.D. The structure of a bovine lung cGMP-binding, cGMP-specific phosphodiesterase deduced from a cDNA clone. J. Biol. Chem. 1993, 268, 22863–22873. [Google Scholar] [PubMed]
- Palmer, M.J.; Bell, A.S.; Fox, D.N.A.; Brown, D. Design of Second Generation Phosphodiesterase 5 Inhibitors. Curr. Top. Med. Chem. 2007, 7, 405–419. [Google Scholar] [CrossRef]
- Reffelmann, T.; Kloner, R.A. Phosphodiesterase 5 inhibitors: Are they cardioprotective? Cardiovasc. Res. 2009, 83, 204–212. [Google Scholar] [CrossRef]
- Rotella, D.P. Phosphodiesterase 5 inhibitors: Current status and potential applications. Nat. Rev. Drug Discov. 2002, 1, 674–682. [Google Scholar] [CrossRef]
- Qiu, Y.; Kraft, P.; Craig, E.C.; Liu, X.; Haynes-Johnson, D. Cyclic nucleotide phosphodiesterases in rabbit detrusor smooth muscle. Urology 2002, 59, 145–149. [Google Scholar] [CrossRef]
- Yafi, F.A.; Sharlip, I.D.; Becher, E.F. Update on the Safety of Phosphodiesterase Type 5 Inhibitors for the Treatment of Erectile Dysfunction. Sex. Med. Rev. 2018, 6, 242–252. [Google Scholar] [CrossRef]
- Domvri, K.; Zarogoulidis, K.; Zogas, N.; Zarogoulidis, P.; Petanidis, S.; Porpodis, K.; Kioseoglou, E.; Hohenforst-Schmidt, W. Potential synergistic effect of phosphodiesterase inhibitors with chemotherapy in lung cancer. J. Cancer 2017, 8, 3648–3656. [Google Scholar] [CrossRef] [PubMed]
- Ye, H.; Wang, X.; Sussman, C.R.; Hopp, K.; Irazabal, M.V.; Bakeberg, J.L.; LaRiviere, W.B.; Manganiello, V.C.; Vorhees, C.V.; Zhao, H.; et al. Modulation of Polycystic Kidney Disease Severity by Phosphodiesterase 1 and 3 Subfamilies. J. Am. Soc. Nephrol. 2016, 27, 1312–1320. [Google Scholar] [CrossRef] [PubMed]
- Berger, M.; Raslan, Z.; Aburima, A.; Magwenzi, S.; Wraith, K.S.; Spurgeon, B.E.J.; Hindle, M.S.; Law, R.; Febbraio, M.; Naseem, K.M. Atherogenic lipid stress induces platelet hyperactivity through CD36-mediated hyposensitivity to prostacyclin: The role of phosphodiesterase 3A. Haematologica 2020, 105, 808–819. [Google Scholar] [CrossRef] [PubMed]
- Corbin, J.D.; Francis, S.H. Cyclic GMP Phosphodiesterase-5: Target of Sildenafil. J. Biol. Chem. 1999, 274, 13729–13732. [Google Scholar] [CrossRef] [PubMed]
- Czarniecki, M.; Ahn, H.-S.; Sybertz, E.J. Chapter 7. Inhibitors of Types I and V Phosphodiesterase: Elevation of cGMP as a Therapeutic Strategy. In Annual Reports in Medicinal Chemistry; Academic Press: Cambridge, MA, USA, 1996; Volume 31, pp. 61–70. ISBN 0065-7743. [Google Scholar]
- Choudhari, P.; Bhatia, M. 3D QSAR, pharmacophore indentification studies on series of 1-(2-ethoxyethyl)-1H-pyrazolo [4,3-d]pyrimidines as phosphodiesterase V inhibitors. J. Saudi Chem. Soc. 2015, 19, 265–273. [Google Scholar] [CrossRef]
- Seidler, M.; Ückert, S.; Waldkirch, E.; Stief, C.G.; Oelke, M.; Tsikas, D.; Sohn, M.; Jonas, U. In Vitro Effects of a Novel Class of Nitric Oxide (NO) Donating Compounds on Isolated Human Erectile Tissue. Eur. Urol. 2002, 42, 523–528. [Google Scholar] [CrossRef]
- Choudhari, P.; Bhatia, M.; Bhatia, N. N-Phenyl-3-Pyridin-2-yl Imino Derivatives as Vascular Smooth Muscle Relaxants: Potential Phosphodiesterase V Inhibitors. Bull. Korean Chem. Soc. 2013, 34. [Google Scholar] [CrossRef][Green Version]
- Zheng, Y.; Tice, C.M.; Singh, S.B. The use of spirocyclic scaffolds in drug discovery. Bioorg. Med. Chem. Lett. 2014, 24, 3673–3682. [Google Scholar] [CrossRef]
- Griggs, S.D.; Tape, D.T.; Clarke, P.A. Strategies for the synthesis of spiropiperidines–a review of the last 10 years. Org. Biomol. Chem. 2018, 16, 6620–6633. [Google Scholar] [CrossRef]
- Fang, L.; Lehmann, J. NO donor hybrid compounds as multifunctional therapeutic agents. Expert Opin. Ther. Pat. 2008, 18, 1111–1125. [Google Scholar] [CrossRef]
- Serafim, R.A.M.; Pernichelle, F.G.; Ferreira, E.I. The latest advances in the discovery of nitric oxide hybrid drug compounds. Expert Opin. Drug Discov. 2017, 12, 941–953. [Google Scholar] [CrossRef] [PubMed]
- Song, J.M.; Upadhyaya, P.; Kassie, F. Nitric oxide-donating aspirin (NO-Aspirin) suppresses lung tumorigenesis in vitro and in vivo and these effects are associated with modulation of the EGFR signaling pathway. Carcinogenesis 2018, 39, 911–920. [Google Scholar] [CrossRef] [PubMed]
- Paskaš, S.; Krajnović, T.; Basile, M.S.; Dunđerović, D.; Cavalli, E.; Mangano, K.; Mammana, S.; Al-Abed, Y.; Nicoletti, F.; Mijatović, S.; et al. Senescence as a main mechanism of Ritonavir and Ritonavir-NO action against melanoma. Mol. Carcinog. 2019, 58, 1362–1375. [Google Scholar] [CrossRef]
- Maksimovic-Ivanic, D.; Fagone, P.; McCubrey, J.; Bendtzen, K.; Mijatovic, S.; Nicoletti, F. HIV-protease inhibitors for the treatment of cancer: Repositioning HIV protease inhibitors while developing more potent NO-hybridized derivatives? Int. J. Cancer 2017, 140, 1713–1726. [Google Scholar] [CrossRef]
- Fagone, P.; Mazzon, E.; Bramanti, P.; Bendtzen, K.; Nicoletti, F. Gasotransmitters and the immune system: Mode of action and novel therapeutic targets. Eur. J. Pharmacol. 2018, 834, 92–102. [Google Scholar] [CrossRef]
- Ribeiro, A.S.F.; Fernandes, V.S.; Martínez-Sáenz, A.; Martínez, P.; Barahona, M.V.; Orensanz, L.M.; Blaha, I.; Serrano-Margüello, D.; Bustamante, S.; Carballido, J.; et al. Powerful Relaxation of Phosphodiesterase Type 4 Inhibitor Rolipram in the Pig and Human Bladder Neck. J. Sex. Med. 2014, 11, 930–941. [Google Scholar] [CrossRef]
- Tamboli, Y.; Lazzarato, L.; Marini, E.; Guglielmo, S.; Novelli, M.; Beffy, P.; Masiello, P.; Fruttero, R.; Gasco, A. Synthesis and preliminary biological profile of new NO-donor tolbutamide analogues. Bioorg. Med. Chem. Lett. 2012, 22, 3810–3815. [Google Scholar] [CrossRef]
- VLifeMDS, version 4.3. Available online: https://www.vlifesciences.com/products/VLifeMDS/Product_VLifeMDS.php (accessed on 25 January 2020).
- Wang, H.; Liu, Y.; Huai, Q.; Cai, J.; Zoraghi, R.; Francis, S.H.; Corbin, J.D.; Robinson, H.; Xin, Z.; Lin, G.; et al. Multiple Conformations of Phosphodiesterase-5: Implications for enzyme function and drug development. J. Biol. Chem. 2006, 281, 21469–21479. [Google Scholar] [CrossRef]




| Compounds | NO Release | Smooth Muscle Relaxant Activity | Virtual Docking Score | % Antioxidant Activity | ||
|---|---|---|---|---|---|---|
| Assay % of NO2– mol/mol + L-Cys 5 mM) | IC50 | Phosphodiesterase V | 10 μg/mL | 20 µg/mL | 30 μg/mL | |
| 10a | 13.63 ± 0.46 | 59 ± 0.2 | −42.044130 | 52.08 | 55.52 | 72.99 |
| 10b | 14.27 ± 0.72 | 2.0 ± 0.7 | −17.505997 | 52.88 | 65.78 | 79.14 |
| 10c | 12.81 ± 0.21 | 45 ± 0.7 | −42.382730 | 49.12 | 68.12 | 70.11 |
| 10d | 14.63 ± 0.90 | 1.50 ± 0.7 | −28.783650 | 55.11 | 65.82 | 77.88 |
| 10e | 12.36 ± 0.31 | 38 ± 0.6 | −16.155231 | 45.22 | 62.22 | 76.66 |
| 10f | 11.18 ± 0.78 | 20 ± 0.1 | −42.521134 | 48.98 | 67.52 | 69.22 |
| 10g | 14.63 ± 0.88 | 1.69 ± 0.6 | −48.472172 | 59.38 | 66.11 | 77.49 |
| 10h | 13.41 ± 0.92 | 49 ± 0.5 | −48.754056 | 55.77 | 65.98 | 71.18 |
| 10i | 14.10 ± 0.54 | 2.90 ± 0.9 | −70.164275 | 55.55 | 68.12 | 88.88 |
| 10j | 11.18 ± 0.29 | 20 ± 0.1 | −64.185966 | 54.36 | 63.21 | 73.44 |
| Methyl Phenyl Furoxan | 07.00 ± 3.00 | - | - | - | - | - |
| Sidenafil | - | 1.43 ± 0.5 | -118.113503 | - | - | - |
| Ascorbic Acid | - | 83.83 | 85.79 | 92.58 | ||
| Compound | Docking Score | Key Interactions | |
|---|---|---|---|
| Hydrogen Bond Interactions | Aromatic Interactions | ||
| 10a | -47.593442 | GLN352 2.1 | PHE357 5.3 PHE110 5.4 |
| 10b | -46.984148 | GLN352 2.5 | PHE357 3.7 |
| 10c | -34.987223 | GLN352 1.8 | HIS351 4.1 |
| 10d | -33.052417 | LEU369 1.7 | PHE322 4.9 |
| 10e | -37.938047 | GLN352 2.4 | PHE110 4.9 |
| 10f | -55.627713 | GLN352 1.2 | PHE357 5.2 PHE110 4.9 |
| 10g | -42.682554 | LEU369 1.8 | PHE322 5.4 |
| 10h | -35.259930 | LYS370 2.2GLN352 1.5 | |
| 10i | -42.193341 | LYS370 2.5 | PHE110 5.4 |
| 10j | -39.295003 | GLN352 2.4 | PHE110 5.4 |
© 2020 by the authors. Licensee MDPI, Basel, Switzerland. This article is an open access article distributed under the terms and conditions of the Creative Commons Attribution (CC BY) license (http://creativecommons.org/licenses/by/4.0/).
Share and Cite
Prabhuling, S.; Tamboli, Y.; Choudhari, P.B.; Bhatia, M.S.; Mohanta, T.K.; Al-Harrasi, A.; Pudukulathan, Z.K. Synthesis and Modeling Studies of Furoxan Coupled Spiro-Isoquinolino Piperidine Derivatives as NO Releasing PDE 5 Inhibitors. Biomedicines 2020, 8, 121. https://doi.org/10.3390/biomedicines8050121
Prabhuling S, Tamboli Y, Choudhari PB, Bhatia MS, Mohanta TK, Al-Harrasi A, Pudukulathan ZK. Synthesis and Modeling Studies of Furoxan Coupled Spiro-Isoquinolino Piperidine Derivatives as NO Releasing PDE 5 Inhibitors. Biomedicines. 2020; 8(5):121. https://doi.org/10.3390/biomedicines8050121
Chicago/Turabian StylePrabhuling, Swami, Yasinalli Tamboli, Prafulla B. Choudhari, Manish S. Bhatia, Tapan Kumar Mohanta, Ahmed Al-Harrasi, and Zubaidha K. Pudukulathan. 2020. "Synthesis and Modeling Studies of Furoxan Coupled Spiro-Isoquinolino Piperidine Derivatives as NO Releasing PDE 5 Inhibitors" Biomedicines 8, no. 5: 121. https://doi.org/10.3390/biomedicines8050121
APA StylePrabhuling, S., Tamboli, Y., Choudhari, P. B., Bhatia, M. S., Mohanta, T. K., Al-Harrasi, A., & Pudukulathan, Z. K. (2020). Synthesis and Modeling Studies of Furoxan Coupled Spiro-Isoquinolino Piperidine Derivatives as NO Releasing PDE 5 Inhibitors. Biomedicines, 8(5), 121. https://doi.org/10.3390/biomedicines8050121

