Non-Alcoholic Steatohepatitis Decreases Microsomal Liver Function in the Absence of Fibrosis
Abstract
1. Introduction
2. Methodology
2.1. Study Group
2.2. Metabolic Work-Up
2.3. Hepatological Work-Up
2.4. Aminopyrine Breath Test
2.5. Liver Biopsy
2.6. Patient Groups
2.7. Statistical Analysis
3. Results
3.1. Patient Characteristics
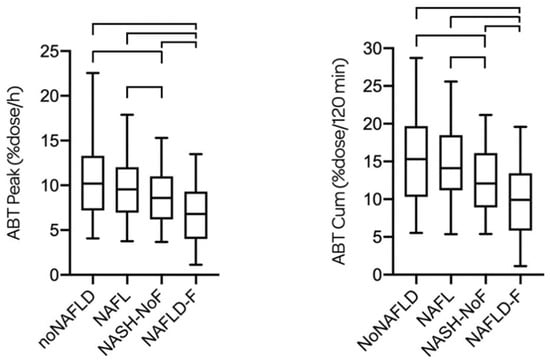
3.2. NoNAFLD, NAFL, NASH-noF
3.3. Prediction of NASH in Non-Significant Fibrosis
3.4. Significant Fibrosis
3.5. All Patients
4. Discussion
5. Conclusions
Supplementary Materials
Author Contributions
Funding
Conflicts of Interest
References
- Marchesini, G.; Day, C.P.; Dufour, J.F.; Canbay, A.; Nobili, V.; Ratziu, V.; Tilg, H.; Roden, M.; Gastaldelli, A.; Yki-Jarvinen, H.; et al. EASL-EASD-EASO Clinical Practice Guidelines for the management of non-alcoholic fatty liver disease. J. Hepatol. 2016, 64, 1388–1402. [Google Scholar] [CrossRef] [PubMed]
- Armuzzi, A.; Candelli, M.; Zocco, M.A.; Andreoli, A.; De Lorenzo, A.; Nista, E.C.; Miele, L.; Cremonini, F.; Cazzato, I.A.; Grieco, A.; et al. Review article: Breath testing for human liver function assessment. Aliment. Pharmacol. Ther. 2002, 16, 1977–1996. [Google Scholar] [CrossRef] [PubMed]
- Afolabi, P.; Wright, M.; Wootton, S.A.; Jackson, A.A. Clinical utility of 13C-liver-function breath tests for assessment of hepatic function. Dig. Dis. Sci. 2013, 58, 33–41. [Google Scholar] [CrossRef] [PubMed]
- Tribonias, G.; Margariti, E.; Tiniakos, D.; Pectasides, D.; Papatheodoridis, G.V. Liver function breath tests for differentiation of steatohepatitis from simple fatty liver in patients with nonalcoholic fatty liver disease. J. Clin. Gastroenterol. 2014, 48, 59–65. [Google Scholar] [CrossRef] [PubMed]
- Niwa, T.; Sato, R.; Yabusaki, Y.; Ishibashi, F. Contribution of human hepatic cytochrome P450s and steroidogenic CYP17 to the N-demethylation of aminopyrine. Xenobiotica 1999, 29, 187–193. [Google Scholar] [CrossRef] [PubMed]
- Niwa, T.; Imagawa, Y. Substrate specificity of human cytochrome P450 (CYP) 2C subfamily and effect of azole antifungal agents on CYP2C8. J. Pharm. Pharm. Sci. 2016, 19, 423–429. [Google Scholar] [CrossRef] [PubMed][Green Version]
- Brockmöller, J.; Ivar, R. Assessment of Liver Metabolic Function: Clinical Implications. Clin. Pharmacokinet. 1994, 27, 216–248. [Google Scholar] [CrossRef]
- Bircher, J.; Küpfer, A.; Gikalov, I.; Preisig, R. Aminopyrine demethylation measured by breath analysis in cirrhosis. Clin. Pharmacol. Ther. 1976, 20, 484–492. [Google Scholar] [CrossRef]
- Monroe, P.; Baker, A.; Schneider, J.; Krager, P.; Klein, P.; Schoeller, D. The aminopyrine breath test and serum bile acids reflect histologic severity in chronic hepatitis. Hepatology 1982, 2, 317–322. [Google Scholar] [CrossRef]
- Giannini, E.; Fasoli, A.; Chiarbonello, B.; Malfatti, F.; Romagnoli, P.; Botta, F.; Testa, E.; Polegato, S.; Fumagalli, A.; Testa, R. 13C-aminopyrine breath test to evaluate severity of disease in patients with chronic hepatitis C virus infection. Aliment. Pharmacol. Ther. 2002, 16, 717–725. [Google Scholar] [CrossRef]
- Herold, C.; Heinz, R.; Niedobitek, G.; Schneider, T.; Hahn, E.G.; Schuppan, D. Quantitative testing of liver function in relation to fibrosis in patients with chronic hepatitis B and C. Liver 2001, 21, 260–265. [Google Scholar] [CrossRef] [PubMed]
- Fierbinteanu-Braticevici, C.; Plesca, D.A.; Tribus, L.; Panaitescu, E.; Braticevici, B. The role of 13C-methacetin breath test for the non-invasive evaluation of nonalcoholic fatty liver disease. J. Gastrointest. Liver Dis. 2013, 22, 149–156. [Google Scholar]
- Portincasa, P.; Grattagliano, I.; Lauterburg, B.H.; Palmieri, V.O.; Palasciano, G.; Stellaard, F. Liver breath tests non-invasively predict higher stages of non-alcoholic steatohepatitis. Clin. Sci. 2006, 111, 135–143. [Google Scholar] [CrossRef] [PubMed]
- Park, G.; Wiseman, E.; George, J.; Katelaris, P.; Seow, F.; Fung, C.; Ngu, M. Non-invasive estimation of liver fibrosis in non-alcoholic fatty liver disease using the 13 C-caffeine breath test. J. Gastroenterol. Hepatol. 2011, 26, 1411–1416. [Google Scholar] [PubMed]
- Schmilovitz-Weiss, H.; Niv, Y.; Pappo, O.; Halpern, M.; Sulkes, J.; Braun, M.; Barak, N.; Rotman, Y.; Cohen, M.; Waked, A.; et al. The 13C-Caffeine Breath Test Detects Significant Fibrosis in Patients With Nonalcoholic Steatohepatitis. J. Clin. Gastroenterol. 2008, 42, 408–412. [Google Scholar] [CrossRef] [PubMed]
- Francque, S.; Verrijken, A.; Caron, S.; Prawitt, J.; Paumelle, R.; Derudas, B.; Lefebvre, P.; Taskinen, M.; Van Hul, W.; Mertens, I.; et al. PPARα gene expression correlates with severity and histological treatment response in patients with non-alcoholic steatohepatitis. J. Hepatol. 2015, 63, 164–173. [Google Scholar] [CrossRef] [PubMed]
- Saverymuttu, S.H.; Joseph, A.E.A.; Maxwell, J.D. Ultrasound scanning in the detection of hepatic fibrosis and steatosis. Br. Med. J. (Clin. Res. Ed). 1986, 292, 13–15. [Google Scholar] [CrossRef]
- Volz, M.; Kellner, H. Kinetics and metabolism of pyrazolones (propyphenazone, aminopyrine and dipyrone). Br. J. Clin. Pharmacol. 1980, 10, 299S–308S. [Google Scholar] [CrossRef]
- Giannini, E.G.; Fasoli, A.; Borro, P.; Botta, F.; Malfatti, F.; Fumagalli, A.; Testa, E.; Polegato, S.; Cotellessa, T.; Milazzo, S.; et al. 13C-galactose breath test and 13C-aminopyrine breath test for the study of liver function in chronic liver disease. Clin. Gastroenterol. Hepatol. 2005, 3, 279–285. [Google Scholar] [CrossRef]
- Taylor, K.J.W.; Sullivan, D.; Simeone, J.; Rosenfield, A.T. Scintigraphy, ultrasound and CT scanning of the liver. Yale J. Biol. Med. 1977, 50, 437–455. [Google Scholar] [CrossRef]
- Merkel, C.; Bolognesi, M.; Bellon, S.; Bianco, S.; Honisch, B.; Lampe, H.; Angeli, P.; Gatta, A. Aminopyrine breath test in the prognostic evaluation of patients with cirrhosis. Gut 1992, 33, 836–842. [Google Scholar] [CrossRef] [PubMed]
- Brunt, E.M.; Kleiner, D.E.; Wilson, L.A.; Belt, P.; Neuschwander-Tetri, B.A. NASH Clinical Research Network The NAS and the histopathologic diagnosis in NAFLD: Distinct clinicopathologic meanings. Hepatology 2011, 53, 810–820. [Google Scholar] [CrossRef] [PubMed]
- Chalasani, N.; Younossi, Z.; Lavine, J.E.; Charlton, M.; Cusi, K.; Rinella, M.; Harrison, S.A.; Brunt, E.M.; Sanyal, A.J. The diagnosis and management of nonalcoholic fatty liver disease: Practice guidance from the American Association for the Study of Liver Diseases. Hepatology 2018, 67, 328–357. [Google Scholar] [CrossRef] [PubMed]
- Kleiner, D.E.; Brunt, E.M.; Van Natta, M.; Behling, C.; Contos, M.J.; Cummings, O.W.; Ferrell, L.D.; Liu, Y.C.; Torbenson, M.S.; Unalp-Arida, A.; et al. Design and validation of a histological scoring system for nonalcoholic fatty liver disease. Hepatology 2005, 41, 1313–1321. [Google Scholar] [CrossRef] [PubMed]
- Ratziu, V.; Bellentani, S.; Cortez-Pinto, H.; Day, C.; Marchesini, G. A position statement on NAFLD/NASH based on the EASL 2009 special conference. J. Hepatol. 2010, 53, 372–384. [Google Scholar] [CrossRef] [PubMed]
- Tape, T.G. Interpreting Diagnostic Tests: The Area under an ROC Curve. University of Nebraska Medical Center. Available online: http://gim.unmc.edu/dxtests/ROC3.htm (accessed on 18 November 2020).
- Mandrekar, J.N. Receiver operating characteristic curve in diagnostic test assessment. J. Thorac. Oncol. 2010, 5, 1315–1316. [Google Scholar] [CrossRef] [PubMed]
- DeLong, E.; DM, D.; Clarke-Pearson, D. Comparing the areas under two or more correlated receiver operating characteristic curves: A nonparametric approach. Biometrics 1988, 44, 837–845. [Google Scholar] [CrossRef]
- Dulai, P.S.; Singh, S.; Patel, J.; Soni, M.; Prokop, L.; Younossi, Z.; Sebastiani, G.; Ekstedt, M.; Hagstrom, H.; Nasr, P.; et al. Increased risk of mortality by fibrosis stage in non-alcoholic fatty liver disease: Systematic review and meta-analysis. Hepatology 2017, 65, 1557–1565. [Google Scholar] [CrossRef]
- Kleiner, D.E.; Brunt, E.M.; Wilson, L.A.; Behling, C.; Guy, C.; Contos, M.; Cummings, O.; Yeh, M.; Gill, R.; Chalasani, N.; et al. Association of histologic disease activity with progression of nonalcoholic fatty liver disease. JAMA Netw. Open 2019, 2, e1912565. [Google Scholar] [CrossRef]
- Bunney, P.E.; Zink, A.N.; Holm, A.A.; Billington, C.J.; Kotz, C.M. Orexin activation counteracts decreases in nonexercise activity thermogenesis (NEAT) caused by high-fat diet. Physiol. Behav. 2017, 176, 139–148. [Google Scholar] [CrossRef]
- Nascimbeni, F.; Bedossa, P.; Fedchuk, L.; Pais, R.; Charlotte, F.; Lebray, P.; Poynard, T.; Ratziu, V.; LIDO (Liver Injury in Diabetes and Obesity) Study Group. Clinical validation of the FLIP algorithm and the SAF score in patients with non-alcoholic fatty liver disease. J. Hepatol. 2020, 72, 828–838. [Google Scholar] [CrossRef] [PubMed]
- Bedossa, P. Utility and appropriateness of the fatty liver inhibition of progression (FLIP) algorithm and steatosis, activity, and fibrosis (SAF) score in the evaluation of biopsies of nonalcoholic fatty liver disease. Hepatology 2014, 60, 565–575. [Google Scholar] [CrossRef] [PubMed]
- Francque, S.; Lanthier, N.; Verbeke, L.; Reynaert, H.; van Steenkiste, C.; Vonghia, L.; Kwanten, W.; Weyler, J.; Trépo, E.; Cassiman, D.; et al. The Belgian Association for Study of the Liver guidance document on the management of adult and paediatric non-alcoholic fatty liver disease. Acta Gastroenterol. Belgica 2018, 81, 55–81. [Google Scholar]
- Wai-Sun Wong, V.; Adams, L.; de Lédinghen, V.; Lai-Hung Wong, G.; Sookoian, S. Noninvasive biomarkers in NAFLD and NASH—Current progress and future promise. Nat. Rev. Gastroenterol. Hepatol. 2018, 15, 461–478. [Google Scholar] [CrossRef]
- Hori, Y.; Shimizu, Y.; Aiba, T. Altered hepatic drug-metabolizing activity in rats suffering from hypoxemia with experimentally induced acute lung impairment. Xenobiotica 2018, 48, 576–583. [Google Scholar] [CrossRef]
- Francque, S.; Laleman, W.; Verbeke, L.; Van Steenkiste, C.; Casteleyn, C.; Kwanten, W.; Van Dyck, C.; D’Hondt, M.; Ramon, A.; Vermeulen, W.; et al. Increased intrahepatic resistance in severe steatosis: Endothelial dysfunction, vasoconstrictor overproduction and altered microvascular architecture. Lab. Investig. 2012, 92, 1428–1439. [Google Scholar] [CrossRef]
- Francque, S.; Verrijken, A.; Mertens, I.; Hubens, G.; Van Marck, E.; Pelckmans, P.; Van Gaal, L.; Michielsen, P. Noncirrhotic human nonalcoholic fatty liver disease induces portal hypertension in relation to the histological degree of steatosis. Eur. J. Gastroenterol. Hepatol. 2010, 22, 1449–1457. [Google Scholar] [CrossRef]
- van der Graaff, D.; Kwanten, W.J.; Couturier, F.J.; Govaerts, J.S.; Verlinden, W.; Brosius, I.; D’Hondt, M.; Driessen, A.; De Winter, B.Y.; De Man, J.G.; et al. Severe steatosis induces portal hypertension by systemic arterial hyporeactivity and hepatic vasoconstrictor hyperreactivity in rats. Lab. Investig. 2018, 98, 1263–1275. [Google Scholar] [CrossRef]
- van der Graaff, D.; Kwanten, W.J.; Francque, S.M. The potential role of vascular alterations and subsequent impaired liver blood flow and hepatic hypoxia in the pathophysiology of non-alcoholic steatohepatitis. Med. Hypotheses 2019, 122, 188–197. [Google Scholar] [CrossRef]
- Begriche, K.; Massart, J.; Robin, M.A.; Bonnet, F.; Fromenty, B. Mitochondrial adaptations and dysfunctions in nonalcoholic fatty liver disease. Hepatology 2013, 58, 1497–1507. [Google Scholar] [CrossRef]
- Cobbina, E.; Akhlaghi, F. Non-alcoholic fatty liver disease (NAFLD)–pathogenesis, classification, and effect on drug metabolizing enzymes and transporters. Drug Metab. Rev. 2017, 49, 197–211. [Google Scholar] [CrossRef] [PubMed]
- Niemelä, O.; Parkkila, S.; Juvonen, R.O.; Viitala, K.; Gelboin, H.V.; Pasanen, M. Cytochromes P450 2A6, 2E1, and 3A and production of protein-aldehyde adducts in the liver of patients with alcoholic and non-alcoholic liver diseases. J. Hepatol. 2000, 33, 893–901. [Google Scholar] [CrossRef]
- Elfaki, I.; Mir, R.; Almutairi, F.M.; Abu Duhier, F.M. Cytochrome P450: Polymorphisms and roles in cancer, diabetes and atherosclerosis. Asian Pac. J. Cancer Prev. 2018, 19, 2057–2070. [Google Scholar] [CrossRef] [PubMed]
- Zardi, E.M.; De Sio, I.; Ghittoni, G.; Sadun, B.; Palmentieri, B.; Roselli, P.; Persico, M.; Caturelli, E. Which clinical and sonographic parameters may be useful to discriminate NASH from steatosis? J. Clin. Gastroenterol. 2011, 45, 59–63. [Google Scholar] [CrossRef]
- Chalasani, N.; Wilson, L.; Kleiner, D.E.; Cummings, O.W.; Brunt, E.M.; Ünalp, A. Relationship of steatosis grade and zonal location to histological features of steatohepatitis in adult patients with non-alcoholic fatty liver disease. J. Hepatol. 2008, 48, 829–834. [Google Scholar] [CrossRef]
- Liang, R.J.; Wang, H.H.; Lee, W.J.; Liew, P.L.; Lin, J.T.; Wu, M.S. Diagnostic value of ultrasonographic examination for nonalcoholic steatohepatitis in morbidly obese patients undergoing laparoscopic bariatric surgery. Obes. Surg. 2007, 17, 45–56. [Google Scholar] [CrossRef]
- Ballestri, S.; Lonardo, A.; Romagnoli, D.; Carulli, L.; Losi, L.; Day, C.P.; Loria, P. Ultrasonographic fatty liver indicator, a novel score which rules out NASH and is correlated with metabolic parameters in NAFLD. Liver Int. 2012, 32, 1242–1252. [Google Scholar] [CrossRef]
- Fracanzani, A.L.; Valenti, L.; Bugianesi, E.; Andreoletti, M.; Colli, A.; Vanni, E.; Bertelli, C.; Fatta, E.; Bignamini, D.; Marchesini, G.; et al. Risk of severe liver disease in nonalcoholic fatty liver disease with normal aminotransferase levels: A role for insulin resistance and diabetes. Hepatology 2008, 48, 792–798. [Google Scholar] [CrossRef]
- Ahmed, M. Non-alcoholic fatty liver disease in 2015. World J. Hepatol. 2015, 7, 1450–1459. [Google Scholar] [CrossRef]
- Herold, C.; Ganslmayer, M.; Ocker, M.; Zopf, S.; Gailer, B.; Hahn, E.; Schuppan, D. Inducibility of microsomal liver function may differentiate cirrhotic patients with maintained compared with severely compromised liver reserve. J. Gastroenterol. Hepatol. 2003, 18, 445_449. [Google Scholar] [CrossRef]
- Banasch, M.; Ellrichmann, M.; Tannapfel, A.; Schmidt, W.E.; Goetze, O. The non-invasive 13C-methionine breath test detects hepatic mitochondrial dysfunction as a marker of disease activity in non-alcoholic steatohepatitis. Eur. J. Med. Res. 2011, 16, 258–264. [Google Scholar] [CrossRef] [PubMed][Green Version]
- Miele, L.; Greco, A.; Armuzzi, A.; Candelli, M.; Forgione, A.; Gasbarrini, A.; Gasbarrini, G. Hepatic mitochondrial beta-oxidation in patients with nonalcoholic steatohepatitis assessed bij 13C-octanoate breath test. Am. J. Gastroenterol. 2003, 98, 2335–2336. [Google Scholar] [CrossRef] [PubMed]
- Dixon, J.B.; Bhathal, P.S.; O’Brien, P.E. Nonalcoholic fatty liver disease: Predictors of nonalcoholic steatohepatitis and liver fibrosis in the severely obese. Gastroenterology 2001, 121, 91–100. [Google Scholar] [CrossRef] [PubMed]
- Hukkanen, J.; Jacob, P.; Peng, M.; Dempsey, D.; Benowitz, N.L. Effect of nicotine on cytochrome P450 1A2 activity. Br. J. Clin. Pharmacol. 2011, 72, 836–838. [Google Scholar] [CrossRef]
- Caubet, M.S.; Laplante, A.; Caillé, J.; L, B.J. 13C aminopyrine and 13C caffeine breath test: Influence of gender, cigarette smoking and oral contraceptives intake. Isot. Environ. Health Stud. 2002, 38, 71–77. [Google Scholar] [CrossRef]


| Characteristic | NoNAFLD | NAFL | NASH-noF | NAFLD-F | p | p | p |
|---|---|---|---|---|---|---|---|
| (n = 71) | (n = 72) | (n = 176) | (n = 121) | noNAFLD vs. NAFL | noNAFLD vs. NASH-noF | NAFL vs. NASH-noF | |
| Age (yrs) | 41.23 ± 12.19 | 45.35 ± 12.49 | 45.69 ± 12.83 | 50.03 ± 14.26 | 0.048 * | 0.013 * | 0.846 |
| Gender (female) | 60 (84.5%) | 49 (68.1%) | 111 (63.1%) | 60 (49.6%) | 0.021 * | 0.001 * | 0.456 |
| Smoking (non-smoker) | 52 (73.2%) | 55 (76.4%) | 139 (79.0%) | 89 (73.4%) | 0.659 | 0.259 | 0.554 |
| BMI (kg/m2) | 36.80 (33.00; 40.30) | 37.77 (32.61; 41.40) | 37.70 (33.70; 41.80) | 38.61 (32.97; 42.85) | 0.474 | 0.187 | 0.724 |
| Waist (cm) | 111.0 ± 10.7 | 116.1 ± 15.9 | 116.9 ± 12.5 | 124.1 ± 14.6 | 0.023 * | <0.001 * | 0.682 |
| AST (U/L) | 24.0 (21.0; 29.5) | 26.0 (21.0; 29.8) | 29.0 (24.0; 37.0) | 37.0 (27.0; 52.0) | 0.268 | <0.001 * | 0.007 * |
| ALT (U/L) | 31.0 (24.0; 42.0) | 35.0 (29.3; 46.0) | 43.0 (32.0; 57.0) | 48.0 (35.0; 75.0) | 0.018 * | <0.00001 * | 0.007 * |
| GGT (U/L) | 30 (21; 49) | 32 (26; 49) | 36 (27; 49) | 50 (33; 117) | 0.13 | 0.026 * | 0.47 |
| PLT (109/L) | 282 (252; 339) | 268 (232; 323) | 290 (246; 329) | 249 (177; 302) | 0.187 | 0.92 | 0.219 |
| Tot chol (mg/dL) | 201 (170; 226) | 208 (176; 228) | 203 (177; 227) | 185 (160; 216) | 0.805 | 0.717 | 0.905 |
| HDL (mg/dL) | 50 (42; 65) | 47 (39; 56) | 46 (39; 55) | 41 (35; 51) | 0.041 * | 0.010 * | 0.993 |
| TG (mg/dL) | 118 (84; 165) | 135 (104; 204) | 147 (105; 213) | 148 (102; 208) | 0.051 | 0.002 * | 0.433 |
| LDL (mg/dL) | 118 (94; 142) | 125 (98; 151) | 120 (100; 146) | 114 (82; 139) | 0.632 | 0.672 | 0.911 |
| Tot bili (mg/dL) | 0.50 (0.40; 0.60) | 0.50 (0.40; 0.70) | 0.50 (0.40; 0.70) | 0.60 (0.41; 0.80) | 0.333 | 0.047 * | 0.473 |
| HbA1c (%) | 5.50 (5.30; 5.70) | 5.50 (5.30; 5.80) | 5.60 (5.30; 5.90) | 5.90 (5.50; 6.90) | 0.048 * | 0.011 * | 0.661 |
| Alb (g/dL) | 4.37 ± 0.37 | 4.41 ± 0.37 | 4.46 ± 0.41 | 4.21 ± 0.72 | 0.539 | 0.097 | 0.333 |
| INR | 1.00 (1.00; 1.03) | 1.01 (1.00; 1.04) | 1.02 (1.00; 1.05) | 1.04 (1.00; 1.12) | 0.537 | 0.205 | 0.56 |
| Steatosis | <0.00001 * | <0.00001 * | <0.00001 * | ||||
| 0 | 71 (100%) | 0 | 0 | 12 (9.9%) | |||
| 1 | 0 | 60 (83.3%) | 67 (38.1%) | 36 (29.8%) | |||
| 2 | 0 | 11 (15.3%) | 68 (38.6%) | 37 (30.6%) | |||
| 3 | 0 | 1 (1.4%) | 41 (23.3%) | 36 (29.8%) | |||
| Inflammation | 0.204 | <0.00001 * | <0.00001 * | ||||
| 0 | 59 (83.1%) | 53 (73.6%) | 0 | 24 (19.8%) | |||
| 1 | 12 (16.9% | 17 (23.6%) | 115 (65.3%) | 56 (46.3%) | |||
| 2 | 0 | 2 (2.8%) | 46 (26.1%) | 26 (21.5%) | |||
| 3 | 0 | 0 | 15 (8.5%) | 15 (12.4%) | |||
| Ballooning | 0.003 * | <0.00001 * | <0.00001 * | ||||
| 0 | 60 (84.5%) | 43 (59.7%) | 0 | 16 (13.2%) | |||
| 1 | 10 (14.1%) | 22 (30.6%) | 92 (52.3%) | 48 (39.7%) | |||
| 2 | 1 (1.4%) | 7 (9.7%) | 84 (47.7%) | 57 (47.1%) | |||
| NAS | <0.00001 * | <0.00001 * | <0.00001 * | ||||
| 0 | 49 (69.0%) | 0 | 0 | 6 (5.0%) | |||
| 1 | 19 (26.8%) | 21 (29.2%) | 0 | 5 (4.1%) | |||
| 2 | 2 (2.8%) | 36 (50.0%) | 0 | 9 (7.4%) | |||
| 3 | 1 (1.4%) | 13 (18.0%) | 31 (17.6%) | 18 (14.9%) | |||
| 4 | 0 | 2 (2.8%) | 51 (29.0%) | 20 (16.5%) | |||
| 5 | 0 | 43 (24.4%) | 25 (20.7%) | ||||
| 6 | 0 | 33 (18.8%) | 20 (16.5%) | ||||
| 7 | 0 | 15 (8.5%) | 13 (10.7%) | ||||
| 8 | 0 | 3 (1.7%) | 5 (4.1%) | ||||
| USS | <0.00001 * | <0.00001 * | 0.001 * | ||||
| 0 | 25 (35.2%) | 4 (5.6%) | 6 (3.4%) | 8 (6.6%) | |||
| 1 | 31 (43.7%) | 28 (38.9%) | 30 (17.0%) | 25 (20.7%) | |||
| 2 | 11 (15.5%) | 20 (27.8%) | 52 (29.5%) | 26 (21.5%) | |||
| 3 | 4 (5.6%) | 18 (25.0%) | 80 (45.5%) | 52 (43.0%) | |||
| missing | 0 | 2 (2.8%) | 8 (4.5%) | 10 (8.3%) | |||
| ABTpeak | 10.20 (7.20; 13.30) | 9.55 (6.95; 12.03) | 8.60 (6.20; 11.00) | 6.80 (4.00; 9.30) | 0.423 | 0.005 * | 0.031 * |
| ABTcum | 15.30 (10.30; 19.70) | 14.10 (11.20; 18.48) | 12.10 (8.90; 16.10) | 9.90 (5.85; 13.45) | 0.535 | 0.002 * | 0.007 * |
| Test | NASH | Definite NASH |
|---|---|---|
| ABTpeak | 0.601 (0.539–0.663) | 0.612 (0.544–0.681) |
| ABTcum | 0.617 (0.555–0.679) | 0.620 (0.553–0.687) |
| ALT | 0.655 (0.595–0.715) | 0.669 (0.604–0.734) |
| USS | 0.744 (0.688–0.800) | 0.772 (0.717–0.827) |
| PredABTpeak | 0.785 (0.734–0.835) | 0.814 (0.765–0.863) |
| PredABTcum | 0.787 (0.737–0.837) | 0.819 (0.770–0.867) |
| Cut-Off Value | Sens | Spec | PPV | NPV | |
|---|---|---|---|---|---|
| NASH | 0.2575 | 72.60% | 71.60% | 75.30% | 68.70% |
| Def NASH | 0.2575 | 87.60% | 61.80% | 38.10% | 92.50% |
| Sign F | 13.25 | 73.60% | 51.40% | 36.50% | 83.70% |
| Adv F | 10.1 | 63.50% | 69.90% | 30.00% | 90.50% |
| Cirrhosis | 5.05 | 51.50% | 95.30% | 52.80% | 96.00% |
| NASH | >1.1210 | 82.90% | |||
| No NASH | <−0.6185 | 80.00% | |||
| Def NASH | >1.1346 | 64.10% | |||
| No def NASH | <0.0120 | 93.30% | |||
| Sign F | <7.05 | 53.70% | |||
| No sign F | >17.45 | 86.50% | |||
| Adv F | <7.05 | 46.30% | |||
| No adv F | >18.25 | 90.70% | |||
| Cirrhosis | <6.55 | 30.50% | |||
| No cirrhosis | >19.45 | 94.70% |
Publisher’s Note: MDPI stays neutral with regard to jurisdictional claims in published maps and institutional affiliations. |
© 2020 by the authors. Licensee MDPI, Basel, Switzerland. This article is an open access article distributed under the terms and conditions of the Creative Commons Attribution (CC BY) license (http://creativecommons.org/licenses/by/4.0/).
Share and Cite
Verlinden, W.; Van Mieghem, E.; Depauw, L.; Vanwolleghem, T.; Vonghia, L.; Weyler, J.; Driessen, A.; Callens, D.; Roosens, L.; Dirinck, E.; et al. Non-Alcoholic Steatohepatitis Decreases Microsomal Liver Function in the Absence of Fibrosis. Biomedicines 2020, 8, 546. https://doi.org/10.3390/biomedicines8120546
Verlinden W, Van Mieghem E, Depauw L, Vanwolleghem T, Vonghia L, Weyler J, Driessen A, Callens D, Roosens L, Dirinck E, et al. Non-Alcoholic Steatohepatitis Decreases Microsomal Liver Function in the Absence of Fibrosis. Biomedicines. 2020; 8(12):546. https://doi.org/10.3390/biomedicines8120546
Chicago/Turabian StyleVerlinden, Wim, Eugénie Van Mieghem, Laura Depauw, Thomas Vanwolleghem, Luisa Vonghia, Jonas Weyler, Ann Driessen, Dirk Callens, Laurence Roosens, Eveline Dirinck, and et al. 2020. "Non-Alcoholic Steatohepatitis Decreases Microsomal Liver Function in the Absence of Fibrosis" Biomedicines 8, no. 12: 546. https://doi.org/10.3390/biomedicines8120546
APA StyleVerlinden, W., Van Mieghem, E., Depauw, L., Vanwolleghem, T., Vonghia, L., Weyler, J., Driessen, A., Callens, D., Roosens, L., Dirinck, E., Verrijken, A., Gaal, L. V., & Francque, S. (2020). Non-Alcoholic Steatohepatitis Decreases Microsomal Liver Function in the Absence of Fibrosis. Biomedicines, 8(12), 546. https://doi.org/10.3390/biomedicines8120546

