Effect of Gosha-Jinki-Gan on Levels of Specific mRNA Transcripts in Mouse Testes after Busulfan Treatment
Abstract
1. Introduction
2. Materials and Methods
2.1. Animals
2.2. Preparation of a Gosha-Jinki-Gan Diet
2.3. Experimental Design
2.4. Histological Examination of the Testes
2.5. Analysis of the Specific mRNA Species in Testes Using Real-Time RT-PCR
2.6. Epididymal Spermatozoa Count
2.7. Statistical Analysis
3. Results
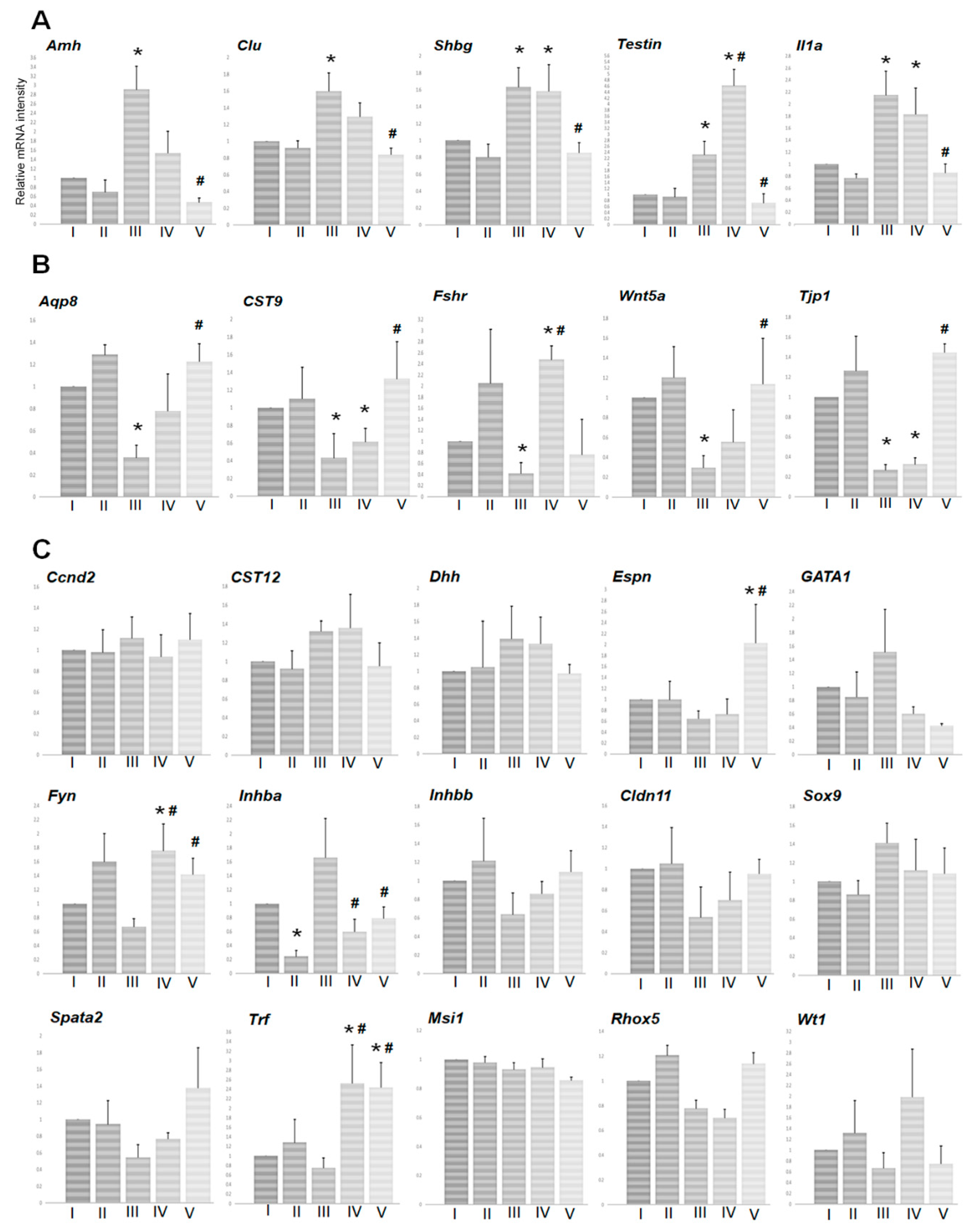
3.1. Supplemented TJ107 Significantly Recovered Spermatogenesis and Levels of mRNA Transcripts Encoding Markers of Germ Cell Differentiation in the BSF-Treated Group V Mice at Day 120
3.2. Effect of TJ107 on Levels of mRNA Transcripts Encoding Markers of Sertoli Cell-Specific Products at Day 120
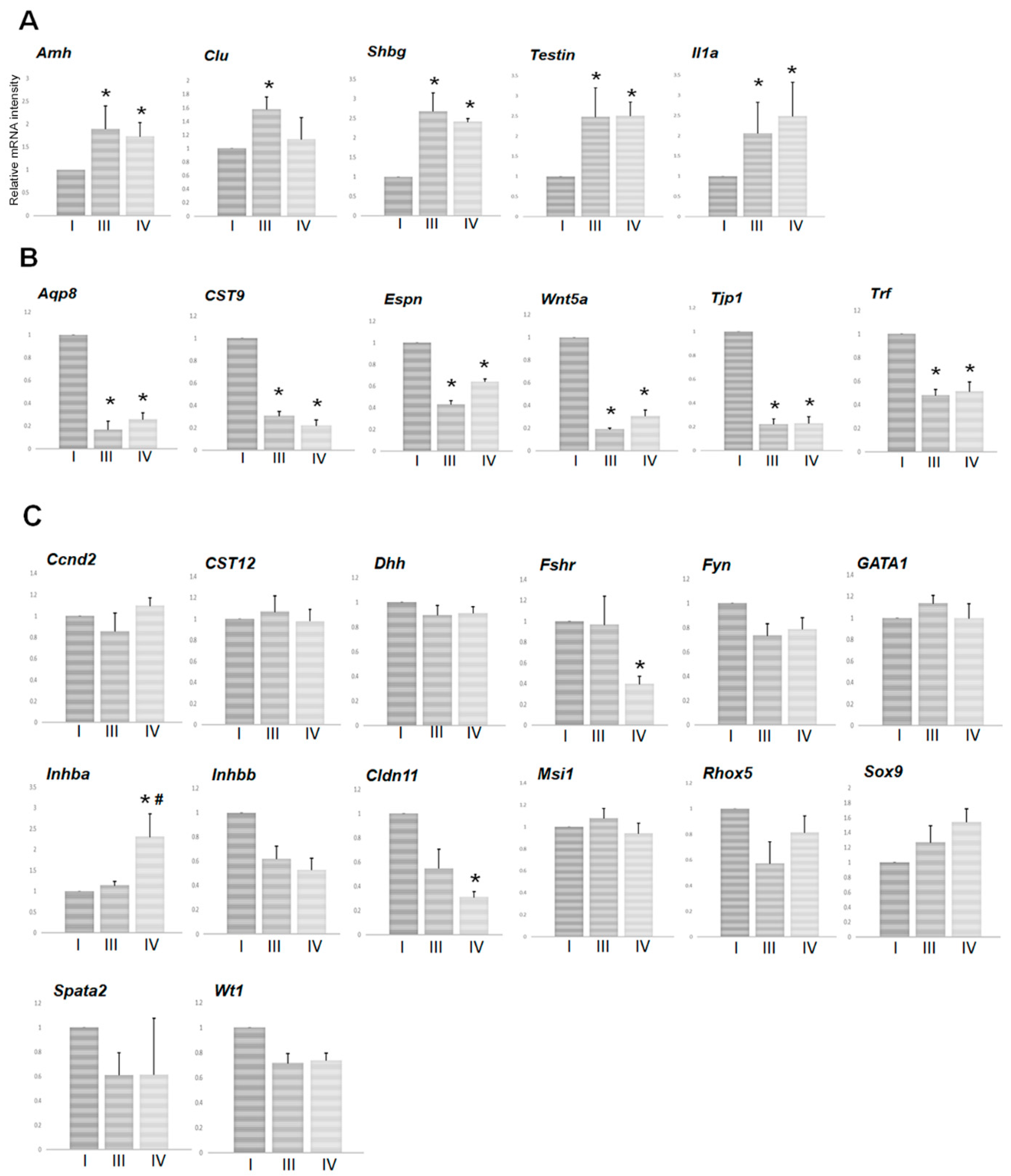
3.3. Effects of Supplemented TJ107 from Day 0 on Spermatogenesis in Group IV at Day 60
4. Discussion
Author Contributions
Funding
Acknowledgments
Conflicts of Interest
References
- Buggia, I.; Locatelli, F.; Regazzi, M.B.; Zecca, M. Busulfan. Ann. Pharm. 1994, 28, 1055–1062. [Google Scholar] [CrossRef]
- Galaup, A.; Paci, A. Pharmacology of dimethanesulfonate alkylating agents: Busulfan and treosulfan. Expert Opin. Drug Metab. Toxicol. 2013, 9, 333–347. [Google Scholar] [CrossRef]
- Anand, S.; Bhartiya, D.; Sriraman, K.; Mallick, A. Underlying mechanisms that restore spermatogenesis on transplanting healthy niche cells in busulphan treated mouse testis. Stem Cell Rev. Rep. 2016, 12, 682–697. [Google Scholar] [CrossRef]
- Bhartiya, D.; Anand, S. Effects of oncotherapy on testicular stem cells and niche. Mol. Hum. Reprod. 2017, 23, 654–655. [Google Scholar] [CrossRef] [PubMed]
- Choi, Y.J.; Ok, D.W.; Kwon, D.N.; Chung, J.I.; Kim, H.C.; Yeo, S.M.; Kim, T.; Seo, H.G.; Kim, J.H. Murine male germ cell apoptosis induced by busulfan treatment correlates with loss of c-kit-expression in a Fas/FasL- and p53-independent manner. FEBS Lett. 2004, 575, 41–51. [Google Scholar] [CrossRef] [PubMed]
- Li, B.; He, X.; Zhuang, M.; Niu, B.; Wu, C.; Mu, H.; Tang, F.; Cui, Y.; Liu, W.; Zhao, B.; et al. Melatonin ameliorates busulfan-induced spermatogonial stem cell oxidative apoptosis in mouse testes. Antioxid. Redox Signal. 2018, 28, 385–400. [Google Scholar] [CrossRef] [PubMed]
- Xian, Y.; Wu, M.; Liu, Y.; Hao, J.; Wu, Y.; Liao, X.; Li, G. Increased Sat2 expression is associated with busulfan-induced testicular Sertoli cell injury. Toxicol. Vitr. 2017, 43, 47–57. [Google Scholar] [CrossRef]
- Zhang, X.; Wang, T.; Deng, T.; Xiong, W.; Lui, P.; Li, N.; Chen, Y.; Han, D. Damaged spermatogenic cells induce inflammatory gene expression in mouse Sertoli cells through the activation of Toll-like receptors 2 and 4. Mol. Cell. Endocrinol. 2013, 365, 162–173. [Google Scholar] [CrossRef]
- Qu, N.; Kuramasu, M.; Hirayanagi, Y.; Nagahori, K.; Hayashi, S.; Ogawa, Y.; Terayama, H.; Suyama, K.; Naito, M.; Sakabe, K.; et al. Gosha-Jinki-Gan recovers spermatogenesis in mice with busulfan-induced aspermatogenesis. Int. J. Mol. Sci. 2018, 19, 2606. [Google Scholar] [CrossRef]
- Galton, D.A.; Till, M.; Wiltshaw, E. Busulfan (1,4-dimethanesulfonyloxybutane, Myleran): Summary of clinical results. Ann. N. Y. Acad. Sci. 1958, 68, 967–973. [Google Scholar] [CrossRef]
- Kenis, Y.; Dustin, P.; Henry, J.A.; Tagnon, H.J. Action du Myleran dans 22 cas de leucemie myeloide chromique. Rev. Fr. Etudes Clin. Biol. 1956, 1, 435–442. [Google Scholar]
- Kyle, R.A.; Schwartz, R.S.; Oliner, H.L.; Dameshek, W. A syndrome resembling adrenal cortical insufficiency associated with long-term busulfan (Myleran) therapy. Blood 1961, 18, 497–510. [Google Scholar] [CrossRef] [PubMed]
- Hirayanagi, Y.; Qu, N.; Hirai, S.; Naito, M.; Terayama, H.; Hayashi, S.; Hatayama, N.; Kuramasu, M.; Ogawa, Y.; Itoh, M. Busulfan pretreatment for transplantation of rat spermatogonia differentially affects immune and reproductive systems in male recipient mice. Anat. Sci. Int. 2015, 90, 264–274. [Google Scholar] [CrossRef] [PubMed]
- Qu, N.; Kuramasu, M.; Nagahori, K.; Ogawa, Y.; Hayashi, S.; Hirayanagi, Y.; Terayama, H.; Suyama, K.; Sakabe, K.; Itoh, M. Co-administration of the traditional medicines Hachimi-Jio-Gan and hochu-ekki-to can reverse busulfan-induced aspermatogenesis. Int. J. Mol. Sci. 2020, 21, 1716. [Google Scholar] [CrossRef] [PubMed]
- Niedenberger, B.A.; Busada, J.T.; Geyer, C.B. Marker expression reveals heterogeneity of spermatogonia in the neonatal mouse testis. Reproduction. 2015, 149, 329–338. [Google Scholar] [CrossRef]
- AbuMadighem, A.; Solomon, R.; Stepanovsky, A.; Kapelushnik, J.; Shi, Q.; Meese, E.; Lunenfeld, E.; Huleihel, M. Development of spermatogenesis in vitro in three-dimensional culture from spermatogonial cells of busulfan-treated immature mice. Int. J. Mol. Sci. 2018, 19, 3804. [Google Scholar] [CrossRef]
- Abofoul-Azab, M.; Lunenfeld, E.; Levitas, E.; Zeadna, A.; Younis, J.S.; Bar-Ami, S.; Huleihe, M. Identification of Premeiotic, Meiotic, and Postmeiotic Cells in Testicular Biopsies Without Sperm from Sertoli Cell-Only Syndrome Patients. Int. J. Mol. Sci. 2019, 20, 470. [Google Scholar] [CrossRef]
- O’Shaughnessy, P.J.; Abel, M.; Charlton, H.M.; Hu, B.; Johnston, H.; Baker, P.J. Altered expression of genes involved in regulation of vitamin a metabolism, solute transportation, and cytoskeletal function in the androgen-insensitive tfm mouse testis. Endocrinology 2007, 148, 2914–2924. [Google Scholar] [CrossRef]
- O’Shaughnessy, P.J.; Baker, P.J.; Monteiro, A.; Cassie, S.; Bhattacharya, S.; Fowler, P.A. Developmental changes in human fetal testicular cell numbers and messenger ribonucleic acid levels during the second trimester. J. Clin. Endocrinol. Metab. 2007, 92, 4792–4801. [Google Scholar]
- Yelick, P.C.; Kwon, Y.H.; Flynn, J.F.; Borzorgzadeh, A.; Kleene, K.C.; Hecht, N.B. Mouse transition protein 1 is translationally regulated during the postmeiotic stages of spermatogenesis. Mol. Reprod Dev. 1989, 1, 193–200. [Google Scholar] [CrossRef]
- Oulad-Abdelghani, M.; Bouillet, P.; Décimo, D.; Gansmuller, A.; Heyberger, S.; Dollé, P.; Bronner, S.; Lutz, Y.; Chambon, P. Characterization of a premeiotic germ cell-specific cytoplasmic protein encoded by Stra8, a novel retinoic acid-responsive gene. J. Cell Biol. 1996, 135, 469–477. [Google Scholar] [CrossRef] [PubMed]
- Shannon, M.; Richardson, L.; Christian, A.; Handel, M.A.; Thelen, M.P. Differential gene expression of mammalian SPO11/TOP6A homologs during meiosis. FEBS Lett. 1999, 462, 329–334. [Google Scholar] [CrossRef]
- O’Shaughnessy, P.J.; Hu, L.; Baker, P.J. Effect of germ cell depletion on levels of specific mRNA transcripts in mouse Sertoli cells and Leydig cells. Reproduction 2008, 135, 839–850. [Google Scholar] [CrossRef] [PubMed]
- Morris, I.D.; Bardin, C.W.; Musto, N.A.; Thau, R.B.; Gunsalus, G.L. Evidence suggesting that germ cells influence the bidirectional secretion of androgen binding protein by the seminiferous epithelium demonstrated by selective impairment of spermatogenesis with busulphan. Int. J. Androl. 1987, 10, 691–700. [Google Scholar] [CrossRef] [PubMed]
- De Franca, L.R.; Bartke, A.; Borg, K.E.; Cecim, M.; Fadden, C.T.; Yagi, A.; Russell, L.D. Sertoli cells in testes containing or lacking germ cells: A comparative study of paracrine effects using the W (c-kit) gene mutant mouse model. Anat. Rec. 1994, 240, 225–232. [Google Scholar] [CrossRef]
- Yeh, J.R.; Zhang, X.; Nagano, M.C. Wnt5a is a cell-extrinsic factor that supports self-renewal of mouse spermatogonial stem cells. J. Cell Sci. 2011, 124, 2357–2366. [Google Scholar] [CrossRef]
- Teixeira, J.; Maheswaran, S.; Donahoe, P.K. Mullerian inhibiting substance: An instructive developmental hormone with diagnostic and possible therapeutic applications. Endocr. Rev. 2001, 22, 657–674. [Google Scholar] [CrossRef]
- Cimino, I.; Casoni, F.; Liu, X.; Messina, A.; Parkash, J.; Jamin, S.P.; Catteau-Jonard, S.; Collier, F.; Baroncini, M.; Dewailly, D.; et al. Novel role for anti-Mullerian hormone in the regulation of GnRH neuron excitability and hormone secretion. Nat. Commun. 2016, 7, 10055. [Google Scholar] [CrossRef]
- Selva, D.M.; Hogeveen, K.N.; Hammond, G.L. Repression of the human sex hormone-binding globulin gene in Sertoli cells by upstream stimulatory transcription factors. J. Biol. Chem. 2005, 280, 4462–4468. [Google Scholar] [CrossRef] [PubMed]
- Pérez, C.V.; Sobarzo, C.M.; Jacobo, P.V.; Pellizzari, E.H.; Cigorraga, S.B.; Denduchis, B.; Lustig, L. Loss of occludin expression and impairment of blood-testis barrier permeability in rats with autoimmune orchitis: Effect of interleukin 6 on sertoli cell tight junctions. Biol. Reprod. 2012, 87. [Google Scholar] [CrossRef]
- Lie, P.P.Y.; Cheng, C.Y.; Mruk, D.D. Interleukin-1alpha is a regulator of the blood-testis barrier. FASEB J. 2011, 25, 1244–1253. [Google Scholar] [CrossRef] [PubMed]
- Qu, N.; Itoh, M.; Sakabe, K. Effects of chemotherapy and radiotherapy on spermatogenesis: The role of testicular immunology. Int. J. Mol. Sci. 2019, 20, 957. [Google Scholar] [CrossRef] [PubMed]
- Grima, J.; Wong, C.C.; Zhu, L.J.; Zong, S.D.; Cheng, C.Y. Testin secreted by Sertoli cells is associated with the cell surface, and its expression correlates with the disruption of Sertoli-germ cell junctions but not the inter-Sertoli tight junction. J. Biol. Chem. 1998, 273, 21040–21053. [Google Scholar] [CrossRef]
- Grima, J.; Zhu, L.; Cheng, C.Y. Testin is tightly associated with testicular cell membrane upon its secretion by Sertoli cells whose steady-state mRNA level in the testis correlates with the turnover and integrity of inter-testicular cell junctions. J. Biol. Chem. 1997, 272, 6499–6509. [Google Scholar] [CrossRef]
- Clark, A.M.; Griswold, M.D. Expression of clusterin/ sulfated glycoprotein-2 under conditions of heat stress in rat Sertoli cells and a mouse Sertoli cell line. J. Androl. 1997, 18, 257–263. [Google Scholar] [PubMed]
- Sylvester, S.R.; Morales, C.; Oko, R.; Griswold, M.D. Localization of sulfated glycoprotein-2 (clusterin) on spermatozoa and in the reproductive tract of the male rat. Biol. Reprod. 1991, 45, 195–207. [Google Scholar] [CrossRef] [PubMed][Green Version]
- Fukuda, T.; Miyake, H.; Enatsu, N.; Matsushita, K.; Fujisawa, M. Seminal level of clusterin in infertile men as a significant biomarker reflecting spermatogenesis. Andrologia 2016, 48, 1188–1194. [Google Scholar] [CrossRef]
- Bucci, L.R.; Meistrich, M.L. Effects of busulfan on murine spermatogenesis: Cytotoxicity, sterility, sperm abnormalities, and dominant lethal mutations. Mutat Res. 1987, 176, 259–268. [Google Scholar] [CrossRef]
- Rey, R.; Mebarki, F.; Forest, M.G.; Mowszowicz, I.; Cate, R.L.; Morel, Y.; Chaussain, J.L.; Josso, N. Anti-Mullerian hormone in children with androgen insensitivity. J. Clin. Endocrinol. Metab. 1994, 79, 960–964. [Google Scholar]
- Al Attar, L.; Noel, K.; Dutertre, M.; Belville, C.; Forest, M.G.; Burgoyne, P.S.; Josso, N.; Rey, R. Hormonal and cellular regulation of Sertoli cell antiMullerian hormone production in the postnatal mouse. J. Clin. Invest. 1997, 100, 1335–1343. [Google Scholar] [CrossRef]
- Syed, V.; Gomez, E.; Hecht, N.B. Messenger ribonucleic acids encoding a serotonin receptor and a novel gene are induced in Sertoli cells by a secreted factor(s) from male rat meiotic germ cells. Endocrinology 1999, 140, 5754–5760. [Google Scholar] [CrossRef] [PubMed][Green Version]




| Genes | Forward Primer | Reverse Primer |
|---|---|---|
| GAPDH | TGTGTCCGTCGTGGATCTGA | TTGCTGTTGAAGTCGCAGGAG |
| Sertoli Cell | ||
| Amh | TCCTACATCTGGCTGAAGTGATATGGG | AGGTTCTGTGTGCCCCGCAG |
| Aqp8 | GCTGGCAGTCACAGTGATCGGA | CCTGGACGATGGCAAAGGCTG |
| Ccnd2 | GGAACCTGGCCGCAGTCACC | AATCATCGACGGCGGGTACATG |
| Clu | CCACGCCATGAAGATTCTCCTGC | CTCCCTGGACGGCGTTCTGA |
| Cldn11 | TCACAACGTCCACCAATGACTG | GGCACATACAGGAAACCAGATG |
| Cst12 | GGATGACGATTTTGCCTACAAGTTCCT | TTCTCTCTCCTGGACCTTCCTGCA |
| Cst9 | GATATTTGCCCCTTTCAGGAGAGCC | AGAGAAGTACGTGACCAGTCCATGGG |
| Dhh | GGCGCAGACCGCCTGATG | AAGGCACGGCCTTCGTAGTGG |
| Espn | GCTTCTGGTCGGGCATTACCCT | GTGTCATGCCGTCTTGGGCG |
| Fshr | GGCCAGGTCAACATACCGCTTG | TGCCTTGAAATAGACTTGTTGCAAATTG |
| Fyn | GAAGCGGCCCTGTATGGAAGGTT | TGTGGGCAGGGCATCCTATAGC |
| GATA1 | ATGGTCAGAACCGGCCTCTCATC | GAGCTTGAAATAGAGGCCGCAGG |
| Il1a | TTGGTTAAATGACCTGCAACA | GAGCGCTCACGAACAGTTG |
| Inhba | CATGGAGCAGACCTCGGAGATCA | TGGTCCTGGTTCTGTTAGCCTTGG |
| Inhbb | GAGCGCGTCTCCGAGATCATCA | CGTACCTTCCTCCTGCTGCCCTT |
| Msi1 | TCACTTTCATGGACCAGGCGG | GTTCACAGACAGCCCCCCCa |
| Rhox5 | AGGTTCGCCCAGCATCGACTG | GCCGCAGCCCTCCTGATCTT |
| Testin | AAAGACAATGGCGGCCTCGc | GGCCCCACTTTAGCCACTGCC |
| Shbg | GACATTCCCCAGCCTCATGCA | TGCCTCGGAAGACAGAACCACG |
| Spata2 | GCCGTGTGGGCCTGTGCTT | TTCCCCAAATCAAACCCAAGGG |
| Sox9 | CGCGGAGCTCAGCAAGACTCTG | TGTCCGTTCTTCACCGACTTCCTC |
| Tjp1 | GCGGAGAGAGACAAGATGTCCGC | CTCTGAAAATGAGGATTATCTCTTCCACCA |
| Trf | CAAATGCATCAGCTTCCGTGACC | CGGCATCGTACACCCAACCC |
| Wt1 | GCTCCAGCTCAGTGAAATGGACAGAA | GGCCACTCCAGATACACGCCG |
| Wnt5a | CTGCTTCTACCATGCGTTTGCTGG | GCCATGGGACAGTGCGGC |
| Germ Cell | ||
| Tnp1 | GGCGATGATGCAAGTCGCAA | CCACTCTGATAGGATCTTTGGCTTTTGG |
| Spo11 | CGCGTGGCCTCTAGTTCTGAGG | GGTATCATCCGAAGGCCGACAGAAT |
| Stra8 | GAAGGTGCATGGTTCACCGTGG | GCTCGATGGCGGGCCTGTG |
| cKit | GCATCACCATCAAAAACGTG | GATAGTCAGCGTCTCCTGGC |
| Gfra1 | CAGTTTTCGTCTGCTGAGGTTG | TCTGCTCAAAGTGGCTCCAT |
| Vasa | AGTATTCATGGTGATCGGGAGCAG | GCAACAAGAACTGGGCACTTTCCA |
| Boll | AACCCAACAAGTGGCCCAAGATAC | CTTTGGACACTCCAGCTCTGTCAT |
| Crem | TTCTTTCACGAAGACCCTCA | TGTTAGGTGGTGTCCCTTCT |
| Prm1 | TCCATCAAAACTCCTGCGTGA | AGGTGGCATTGTTCCTTAGCA |
| Acrosin | TGTCCGTGGTTGCCAAGGATAACA | AATCCGGGTACCTGCTTGTGAGTT |
| Groups | I | II | III | IV | V |
|---|---|---|---|---|---|
| Body weight (g) | 33.310 ± 0.917 | 33.905 ± 1.117 | 26.982 ± 2.103 a | 29.470 ± 2.408 a | 31.114 ± 1.324 a,b |
| Testis weight (g) | 0.099 ± 0.012 | 0.100 ± 0.003 | 0.014 ± 0.002 a | 0.035 ± 0.002 a,b | 0.100 ± 0.006 b |
| Epididymal spermatozoa (×105) | 20.493 ± 2.362 | 26.968 ± 1.527 a | 0.272 ± 0.011 a | 6.673 ± 0.510 a,b | 20.893 ± 1.677 b |
| Fertility rate | 100% (10/10) | 100% (10/10) | 0% (0/10) a | 20% (2/10) a,b | 100% (10/10) b |
Publisher’s Note: MDPI stays neutral with regard to jurisdictional claims in published maps and institutional affiliations. |
© 2020 by the authors. Licensee MDPI, Basel, Switzerland. This article is an open access article distributed under the terms and conditions of the Creative Commons Attribution (CC BY) license (http://creativecommons.org/licenses/by/4.0/).
Share and Cite
Qu, N.; Nagahori, K.; Kuramasu, M.; Ogawa, Y.; Suyama, K.; Hayashi, S.; Sakabe, K.; Itoh, M. Effect of Gosha-Jinki-Gan on Levels of Specific mRNA Transcripts in Mouse Testes after Busulfan Treatment. Biomedicines 2020, 8, 432. https://doi.org/10.3390/biomedicines8100432
Qu N, Nagahori K, Kuramasu M, Ogawa Y, Suyama K, Hayashi S, Sakabe K, Itoh M. Effect of Gosha-Jinki-Gan on Levels of Specific mRNA Transcripts in Mouse Testes after Busulfan Treatment. Biomedicines. 2020; 8(10):432. https://doi.org/10.3390/biomedicines8100432
Chicago/Turabian StyleQu, Ning, Kenta Nagahori, Miyuki Kuramasu, Yuki Ogawa, Kaori Suyama, Shogo Hayashi, Kou Sakabe, and Masahiro Itoh. 2020. "Effect of Gosha-Jinki-Gan on Levels of Specific mRNA Transcripts in Mouse Testes after Busulfan Treatment" Biomedicines 8, no. 10: 432. https://doi.org/10.3390/biomedicines8100432
APA StyleQu, N., Nagahori, K., Kuramasu, M., Ogawa, Y., Suyama, K., Hayashi, S., Sakabe, K., & Itoh, M. (2020). Effect of Gosha-Jinki-Gan on Levels of Specific mRNA Transcripts in Mouse Testes after Busulfan Treatment. Biomedicines, 8(10), 432. https://doi.org/10.3390/biomedicines8100432

