Subtype-Dependent Expression Patterns of Core Hippo Pathway Components in Thymic Epithelial Tumors (TETs): An RT-qPCR Study
Abstract
1. Introduction
2. Materials and Methods
2.1. Study Design and Ethical Considerations
2.2. Case Selection and Tissue Processing
2.3. RNA Extraction and Nucleic Acid Quantification
2.4. One-Step RT-qPCR Workflow
2.5. Primer Design, Procurement, and Assay Validation
2.6. Reference Gene Strategy and Stability Assessment
2.7. Quantification and Data Processing
2.8. Replicates and Quality Criteria
2.9. Statistics
2.10. Immunohistochemical (IHC) Data
2.11. Reporting Standards
3. Results
3.1. Relative Expression of Hippo Pathway Genes
3.1.1. Relative Expression of MST1
3.1.2. Relative Expression of SAV1
3.1.3. Relative Expression of LATS1
3.1.4. Relative Expression of MOB1A
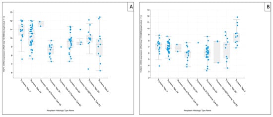
3.1.5. Relative Expression of YAP1
3.1.6. Relative Expression of TEAD4
3.2. Consolidated Overview of the Relative Expression Results of Hippo Pathway Genes
3.3. Contextualization of Subtype-Associated Hippo Pathway Expression Using the Cancer Genome Atlas Thymoma (TCGA-THYM) RNA-Sequencing Data
4. Discussion
5. Conclusions
Supplementary Materials
Author Contributions
Funding
Institutional Review Board Statement
Informed Consent Statement
Data Availability Statement
Conflicts of Interest
Abbreviations
| PMU | Paracelsus Medical University |
| TET(s) | Thymic Epithelial Tumor(s) |
| WHO | World Health Organization |
| FC(s) | Fold change(s) |
| TC | Thymic Carcinoma |
| YAP1 | Yes-associated protein 1 |
| TAZ | Transcriptional co-activator with PDZ-binding motif |
| WWTR1 | WW domain-containing transcription regulator 1 |
| TEAD1–4 | TEA domain transcription factor 1–4 |
| IHC | Immunohistochemistry/immunohistochemical |
| MST1/2 | Mammalian STE20-like kinases 1/2 |
| SAV1 | Salvador homolog 1 |
| LATS1/2 | Large tumor suppressor kinases 1/2 |
| MOB1(A/B) | Mps one binder 1(A/B) |
| mRNA | Messenger RNA |
| IRB | Institutional review board |
| gDNA | Genomic DNA |
| RIN | RNA integrity number |
| IC | Internal control |
| RT | Reverse transcription |
| TBP | TATA-box binding protein |
| HPRT1 | Hypoxanthine-guanine phosphoribosyltransferase 1 |
| RTP | RealTimePrimers.com |
| Cq | Quantification Cycle |
| Log2FC | Log2-transformed fold changes |
| N | Normal (thymus) sample |
| NTC | No-template controls |
| NRT | No-reverse transcription control |
| QC | Quality control |
| PPIA | Peptidyl-prolyl isomerase A |
| IDTTM | Integrated DNA Technologies |
| cDNA | Complementary DNA |
| MIQE | Minimum Information for Publication of Quantitative Real-Time PCR Experiments |
| HKG | Housekeeping gene |
| EMT | Epithelial–mesenchymal transition |
| AYAP | Active YAP1 |
| TCGA (-THYM) | The Cancer Genome Atlas Program (Thymoma) |
| GTF2I | General Transcription Factor II-I |
Appendix A
Appendix A.1

Appendix A.2

Appendix A.3

Appendix A.4

References
- Imbimbo, M.; Salfi, G.; Borgeaud, M.; Ottaviano, M.; Froesch, P.; Bouchaab, H.; Cafarotti, S.; Addeo, A. Thymic epithelial tumors: What’s new and what’s next? ESMO Rare Cancers 2025, 4, 100024. [Google Scholar] [CrossRef]
- Elm, L.; Gerlitz, N.; Hochholzer, A.; Papadopoulos, T.; Levidou, G. Hippo Pathway Dysregulation in Thymic Epithelial Tumors (TETs): Associations with Clinicopathological Features and Patients’ Prognosis. Int. J. Mol. Sci. 2025, 26, 5938. [Google Scholar] [CrossRef] [PubMed]
- von der Thüsen, J. Thymic epithelial tumours: Histopathological classification and differential diagnosis. Histopathology 2024, 84, 196–215. [Google Scholar] [CrossRef] [PubMed]
- Barron, D.A.; Kagey, J.D. The role of the Hippo pathway in human disease and tumorigenesis. Clin. Transl. Med. 2014, 3, 25. [Google Scholar] [CrossRef]
- Lo Sardo, F.; Strano, S.; Blandino, G. YAP and TAZ in Lung Cancer: Oncogenic Role and Clinical Targeting. Cancers 2018, 10, 137. [Google Scholar] [CrossRef] [PubMed]
- Pham, T.H.; Pahuja, K.B.; Hagenbeek, T.J.; Zbieg, J.; Noland, C.L.; Pham, V.C.; Yao, X.; Rose, C.M.; Browder, K.C.; Lee, H.-J.; et al. Targeting the Hippo Pathway in Cancers via Ubiquitination Dependent TEAD Degradation; eLife Sciences Publications, Ltd.: Cambridge, UK, 2024. [Google Scholar] [CrossRef]
- Sanchez-Vega, F.; Mina, M.; Armenia, J.; Chatila, W.K.; Luna, A.; La, K.C.; Dimitriadoy, S.; Liu, D.L.; Kantheti, H.S.; Saghafinia, S.; et al. Oncogenic Signaling Pathways in The Cancer Genome Atlas. Cell 2018, 173, 321–337.e310. [Google Scholar] [CrossRef]
- Palamaris, K.; Levidou, G.; Kordali, K.; Masaoutis, C.; Rontogianni, D.; Theocharis, S. Searching for Novel Biomarkers in Thymic Epithelial Tumors: Immunohistochemical Evaluation of Hippo Pathway Components in a Cohort of Thymic Epithelial Tumors. Biomedicines 2023, 11, 1876. [Google Scholar] [CrossRef]
- QIAGEN. QuantiNova SYBR Green RT-PCR Handbook; QIAGEN: Venlo, The Netherlands, 2024. [Google Scholar]
- Bustin, S.A.; Benes, V.; Garson, J.A.; Hellemans, J.; Huggett, J.; Kubista, M.; Mueller, R.; Nolan, T.; Pfaffl, M.W.; Shipley, G.L.; et al. The MIQE Guidelines: Minimum Information for Publication of Quantitative Real-Time PCR Experiments. Clin. Chem. 2009, 55, 611–622. [Google Scholar] [CrossRef]
- Dietrich, D.; Uhl, B.; Sailer, V.; Holmes, E.E.; Jung, M.; Meller, S.; Kristiansen, G. Improved PCR Performance Using Template DNA from Formalin-Fixed and Paraffin-Embedded Tissues by Overcoming PCR Inhibition. PLoS ONE 2013, 8, e77771. [Google Scholar] [CrossRef]
- Ruijter, J.M.; Pfaffl, M.W.; Zhao, S.; Spiess, A.N.; Boggy, G.; Blom, J.; Rutledge, R.G.; Sisti, D.; Lievens, A.; De Preter, K.; et al. Evaluation of qPCR curve analysis methods for reliable biomarker discovery: Bias, resolution, precision, and implications. Methods 2013, 59, 32–46. [Google Scholar] [CrossRef]
- Suslov, O.; Steindler, D.A. PCR inhibition by reverse transcriptase leads to an overestimation of amplification efficiency. Nucleic Acids Res. 2005, 33, e181. [Google Scholar] [CrossRef]
- Svec, D.; Tichopad, A.; Novosadova, V.; Pfaffl, M.W.; Kubista, M. How good is a PCR efficiency estimate: Recommendations for precise and robust qPCR efficiency assessments. Biomol. Detect. Quantif. 2015, 3, 9–16. [Google Scholar] [CrossRef] [PubMed]
- Borowska, D.; Rothwell, L.; Bailey, R.A.; Watson, K.; Kaiser, P. Identification of stable reference genes for quantitative PCR in cells derived from chicken lymphoid organs. Vet. Immunol. Immunopathol. 2016, 170, 20–24. [Google Scholar] [CrossRef] [PubMed]
- Rácz, G.A.; Nagy, N.; Gál, Z.; Pintér, T.; Hiripi, L.; Vértessy, B.G. Evaluation of critical design parameters for RT-qPCR-based analysis of multiple dUTPase isoform genes in mice. FEBS Open Bio 2019, 9, 1153–1170. [Google Scholar] [CrossRef]
- Medrano, G.; Guan, P.; Barlow-Anacker, A.J.; Gosain, A. Comprehensive selection of reference genes for quantitative RT-PCR analysis of murine extramedullary hematopoiesis during development. PLoS ONE 2017, 12, e0181881. [Google Scholar] [CrossRef] [PubMed]
- Xie, F.; Xiao, P.; Chen, D.; Xu, L.; Zhang, B. miRDeepFinder: A miRNA analysis tool for deep sequencing of plant small RNAs. Plant Mol. Biol. 2012, 80, 75–84. [Google Scholar] [CrossRef]
- Bustin, S.A.; Ruijter, J.M.; van den Hoff, M.J.B.; Kubista, M.; Pfaffl, M.W.; Shipley, G.L.; Tran, N.; Rödiger, S.; Untergasser, A.; Mueller, R.; et al. MIQE 2.0: Revision of the Minimum Information for Publication of Quantitative Real-Time PCR Experiments Guidelines. Clin. Chem. 2025, 71, 634–651. [Google Scholar] [CrossRef]
- The cBioPortal for Cancer Genomics. Thymoma (TCGA, Firehose Legacy) (study ID: thym_tcga). Available online: https://www.cbioportal.org/study?id=thym_tcga (accessed on 20 January 2026).
- Kuhn, E.; Pescia, C.; Mendogni, P.; Nosotti, M.; Ferrero, S. Thymic Epithelial Tumors: An Evolving Field. Life 2023, 13, 314. [Google Scholar] [CrossRef]
- Müller, D.; Loskutov, J.; Küffer, S.; Marx, A.; Regenbrecht, C.R.A.; Ströbel, P.; Regenbrecht, M.J. Cell Culture Models for Translational Research on Thymomas and Thymic Carcinomas: Current Status and Future Perspectives. Cancers 2024, 16, 2762. [Google Scholar] [CrossRef]
- Fu, M.; Hu, Y.; Lan, T.; Guan, K.-L.; Luo, T.; Luo, M. The Hippo signalling pathway and its implications in human health and diseases. Signal Transduct. Target. Ther. 2022, 7, 376. [Google Scholar] [CrossRef]
- Wang, Y.; Xu, X.; Maglic, D.; Dill, M.T.; Mojumdar, K.; Ng, P.K.-S.; Jeong, K.J.; Tsang, Y.H.; Moreno, D.; Bhavana, V.H.; et al. Comprehensive Molecular Characterization of the Hippo Signaling Pathway in Cancer. Cell Rep. 2018, 25, 1304–1317.e1305. [Google Scholar] [CrossRef]
- Yu, F.X.; Zhao, B.; Guan, K.L. Hippo Pathway in Organ Size Control, Tissue Homeostasis, and Cancer. Cell 2015, 163, 811–828. [Google Scholar] [CrossRef] [PubMed]
- Zhao, B.; Li, L.; Lei, Q.; Guan, K.L. The Hippo-YAP pathway in organ size control and tumorigenesis: An updated version. Genes Dev. 2010, 24, 862–874. [Google Scholar] [CrossRef] [PubMed]
- Zhong, Z.; Jiao, Z.; Yu, F.-X. The Hippo signaling pathway in development and regeneration. Cell Rep. 2024, 43, 113926. [Google Scholar] [CrossRef] [PubMed]
- Elm, L.; Levidou, G. The Molecular Landscape of Thymic Epithelial Tumors: A Comprehensive Review. Int. J. Mol. Sci. 2024, 25, 1554. [Google Scholar] [CrossRef]
- Lee, H.-S.; Jang, H.-J.; Shah, R.; Yoon, D.; Hamaji, M.; Wald, O.; Lee, J.-S.; Sugarbaker, D.J.; Burt, B.M. Genomic Analysis of Thymic Epithelial Tumors Identifies Novel Subtypes Associated with Distinct Clinical Features. Clin. Cancer Res. 2017, 23, 4855–4864. [Google Scholar] [CrossRef]
- Möhrmann, L.; Rostock, L.; Werner, M.; Oleś, M.; Arnold, J.S.; Paramasivam, N.; Jöhrens, K.; Rupp, L.; Schmitz, M.; Richter, D.; et al. Genomic landscape and molecularly informed therapy in thymic carcinoma and other advanced thymic epithelial tumors. Med 2025, 6, 100612. [Google Scholar] [CrossRef]
- Radovich, M.; Pickering, C.R.; Felau, I.; Ha, G.; Zhang, H.; Jo, H.; Hoadley, K.A.; Anur, P.; Zhang, J.; McLellan, M.; et al. The Integrated Genomic Landscape of Thymic Epithelial Tumors. Cancer Cell 2018, 33, 244–258.e210. [Google Scholar] [CrossRef]
- Schmauch, B.; Cabeli, V.; Domingues, O.D.; Le Douget, J.E.; Hardy, A.; Belbahri, R.; Maussion, C.; Romagnoni, A.; Eckstein, M.; Fuchs, F.; et al. Deep learning uncovers histological patterns of YAP1/TEAD activity related to disease aggressiveness in cancer patients. iScience 2025, 28, 111638. [Google Scholar] [CrossRef]
- Liu, M.; Song, Y.; Kang, Y.; Xue, N.; Zhao, J.; Jin, Y.; Liu, C.; Wang, B. Integrative analysis identifies TEAD4 as a universal prognostic biomarker in human cancers. Front. Immunol. 2025, 16, 1688563. [Google Scholar] [CrossRef]
- Chen, M.; Huang, B.; Zhu, L.; Chen, K.; Liu, M.; Zhong, C. Structural and Functional Overview of TEAD4 in Cancer Biology. Onco. Targets Ther. 2020, 13, 9865–9874. [Google Scholar] [CrossRef]
- Gong, X.; Li, N.; Sun, C.; Li, Z.; Xie, H. A Four-Gene Prognostic Signature Based on the TEAD4 Differential Expression Predicts Overall Survival and Immune Microenvironment Estimation in Lung Adenocarcinoma. Front. Pharmacol. 2022, 13, 874780. [Google Scholar] [CrossRef]
- Hsu, S.-C.; Lin, C.-Y.; Lin, Y.-Y.; Collins, C.C.; Chen, C.-L.; Kung, H.-J. TEAD4 as an Oncogene and a Mitochondrial Modulator. Front. Cell Dev. Biol. 2022, 10, 890419. [Google Scholar] [CrossRef] [PubMed]
- Liu, J.-Y.; Li, Y.-H.; Lin, H.-X.; Liao, Y.-J.; Mai, S.-J.; Liu, Z.-W.; Zhang, Z.-L.; Jiang, L.-J.; Zhang, J.-X.; Kung, H.-F.; et al. Overexpression of YAP 1 contributes to progressive features and poor prognosis of human urothelial carcinoma of the bladder. BMC Cancer 2013, 13, 349. [Google Scholar] [CrossRef] [PubMed]
- Park, J.H.; Shin, J.E.; Park, H.W. The Role of Hippo Pathway in Cancer Stem Cell Biology. Mol. Cells 2018, 41, 83–92. [Google Scholar] [CrossRef]
- Sun, Z.; Xu, R.; Li, X.; Ren, W.; Ou, C.; Wang, Q.; Zhang, H.; Zhang, X.; Ma, J.; Wang, H.; et al. Prognostic Value of Yes-Associated Protein 1 (YAP1) in Various Cancers: A Meta-Analysis. PLoS ONE 2015, 10, e0135119. [Google Scholar] [CrossRef] [PubMed]
- Xia, Y.; Chang, T.; Wang, Y.; Liu, Y.; Li, W.; Li, M.; Fan, H.-Y. YAP Promotes Ovarian Cancer Cell Tumorigenesis and Is Indicative of a Poor Prognosis for Ovarian Cancer Patients. PLoS ONE 2014, 9, e91770. [Google Scholar] [CrossRef] [PubMed]
- Zhang, W.; Li, J.; Wu, Y.; Ge, H.; Song, Y.; Wang, D.; Yuan, H.; Jiang, H.; Wang, Y.; Cheng, J. TEAD4 overexpression promotes epithelial-mesenchymal transition and associates with aggressiveness and adverse prognosis in head neck squamous cell carcinoma. Cancer Cell Int. 2018, 18, 178. [Google Scholar] [CrossRef] [PubMed]
- Hu, X.; Zhang, Y.; Yu, H.; Zhao, Y.; Sun, X.; Li, Q.; Wang, Y. The role of YAP1 in survival prediction, immune modulation, and drug response: A pan-cancer perspective. Front. Immunol. 2022, 13, 1012173. [Google Scholar] [CrossRef]
- Luo, J.; Zou, H.; Guo, Y.; Tong, T.; Chen, Y.; Xiao, Y.; Pan, Y.; Li, P. The oncogenic roles and clinical implications of YAP/TAZ in breast cancer. Br. J. Cancer 2023, 128, 1611–1624. [Google Scholar] [CrossRef]
- Zanconato, F.; Cordenonsi, M.; Piccolo, S. YAP/TAZ at the Roots of Cancer. Cancer Cell 2016, 29, 783–803. [Google Scholar] [CrossRef] [PubMed]
- Bae, J.S.; Kim, S.M.; Lee, H. The Hippo signaling pathway provides novel anti-cancer drug targets. Oncotarget 2017, 8, 16084–16098. [Google Scholar] [CrossRef] [PubMed]
- Furth, N.; Aylon, Y. The LATS1 and LATS2 tumor suppressors: Beyond the Hippo pathway. Cell Death Differ. 2017, 24, 1488–1501. [Google Scholar] [CrossRef] [PubMed]
- Meng, Z.; Moroishi, T.; Guan, K.L. Mechanisms of Hippo pathway regulation. Genes Dev. 2016, 30, 1–17. [Google Scholar] [CrossRef]
- Bae, S.J.; Ni, L.; Osinski, A.; Tomchick, D.R.; Brautigam, C.A.; Luo, X. SAV1 promotes Hippo kinase activation through antagonizing the PP2A phosphatase STRIPAK. Elife 2017, 6, e30278. [Google Scholar] [CrossRef]
- Lin, Z.; Xie, R.; Guan, K.; Zhang, M. A WW Tandem-Mediated Dimerization Mode of SAV1 Essential for Hippo Signaling. Cell Rep. 2020, 32, 108118. [Google Scholar] [CrossRef]
- Zhang, H.; Yang, Z.; Nakamura, F. Importance of the filamin A-Sav1 interaction in organ size control: Evidence from transgenic mice. Int. J. Dev. Biol. 2023, 67, 27–37. [Google Scholar] [CrossRef]
- Ni, L.; Zheng, Y.; Hara, M.; Pan, D.; Luo, X. Structural basis for Mob1-dependent activation of the core Mst-Lats kinase cascade in Hippo signaling. Genes Dev. 2015, 29, 1416–1431. [Google Scholar] [CrossRef]
- Han, H.; Wang, W. A tale of two Hippo pathway modules. EMBO J. 2023, 42, EMBJ2023113970. [Google Scholar] [CrossRef]
- Hartmann, K.; Schlombs, K.; Laible, M.; Gürtler, C.; Schmidt, M.; Sahin, U.; Lehr, H.-A. Robustness of biomarker determination in breast cancer by RT-qPCR: Impact of tumor cell content, DCIS and non-neoplastic breast tissue. Diagn. Pathol. 2018, 13, 83. [Google Scholar] [CrossRef]
- Xin, Z.; Lin, M.; Hao, Z.; Chen, D.; Chen, Y.; Chen, X.; Xu, X.; Li, J.; Wu, D.; Chai, Y.; et al. The immune landscape of human thymic epithelial tumors. Nat. Commun. 2022, 13, 5463. [Google Scholar] [CrossRef] [PubMed]
- Liu, X.; Wang, C.; Huang, Y.; Lv, Q.; Yu, C.; Ying, J.; Duan, L.; Guo, Y.; Huang, G.; Shen, W.; et al. Abnormal Cellular Populations Shape Thymic Epithelial Tumor Heterogeneity and Anti-Tumor by Blocking Metabolic Interactions in Organoids. Adv. Sci. 2024, 11, e2406653. [Google Scholar] [CrossRef] [PubMed]
- Nabel, C.S.; Ackman, J.B.; Hung, Y.P.; Louissaint, A., Jr.; Riely, G.J. Single-Cell Sequencing Illuminates Thymic Development: An Updated Framework for Understanding Thymic Epithelial Tumors. Oncologist 2024, 29, 473–483. [Google Scholar] [CrossRef] [PubMed]
- Liu, Y.; Deng, J. Ubiquitination-deubiquitination in the Hippo signaling pathway (Review). Oncol. Rep. 2019, 41, 1455–1475. [Google Scholar] [CrossRef]
- Nguyen, T.H.; Kugler, J.M. Ubiquitin-Dependent Regulation of the Mammalian Hippo Pathway: Therapeutic Implications for Cancer. Cancers 2018, 10, 121. [Google Scholar] [CrossRef]
- Peng, S.; Li, C.; He, Y.; Xue, L.; Guo, X. Regulatory roles of RNA binding proteins in the Hippo pathway. Cell Death Discov. 2025, 11, 36. [Google Scholar] [CrossRef]
- Zhao, B.; Li, L.; Tumaneng, K.; Wang, C.Y.; Guan, K.L. A coordinated phosphorylation by Lats and CK1 regulates YAP stability through SCF(beta-TRCP). Genes Dev. 2010, 24, 72–85. [Google Scholar] [CrossRef]
- Gumbiner, B.M.; Kim, N.G. The Hippo-YAP signaling pathway and contact inhibition of growth. J. Cell. Sci. 2014, 127, 709–717. [Google Scholar] [CrossRef]
- Moroishi, T.; Park, H.W.; Qin, B.; Chen, Q.; Meng, Z.; Plouffe, S.W.; Taniguchi, K.; Yu, F.X.; Karin, M.; Pan, D.; et al. A YAP/TAZ-induced feedback mechanism regulates Hippo pathway homeostasis. Genes Dev. 2015, 29, 1271–1284. [Google Scholar] [CrossRef]
- Vogel, C.; Marcotte, E.M. Insights into the regulation of protein abundance from proteomic and transcriptomic analyses. Nat. Rev. Genet. 2012, 13, 227–232. [Google Scholar] [CrossRef]
- Liu, Y.; Beyer, A.; Aebersold, R. On the Dependency of Cellular Protein Levels on mRNA Abundance. Cell 2016, 165, 535–550. [Google Scholar] [CrossRef]
- Cunningham, R.; Hansen, C.G. The Hippo pathway in cancer: YAP/TAZ and TEAD as therapeutic targets in cancer. Clin. Sci. 2022, 136, 197–222. [Google Scholar] [CrossRef] [PubMed]
- Yang, J.; Zhang, B.; Guan, W.; Fan, Z.; Pu, X.; Zhao, L.; Jiang, W.; Cai, W.; Quan, X.; Miao, S.; et al. Molecular genetic characteristics of thymic epithelial tumors with distinct histological subtypes. Cancer Med. 2023, 12, 10575–10586. [Google Scholar] [CrossRef] [PubMed]
- Takata, S. Genomic insights into molecular profiling of thymic carcinoma: A narrative review. Mediastinum 2024, 8, 39. [Google Scholar] [CrossRef] [PubMed]
- Zhang, X.; Zhang, P.; Cong, A.; Feng, Y.; Chi, H.; Xia, Z.; Tang, H. Unraveling molecular networks in thymic epithelial tumors: Deciphering the unique signatures. Front. Immunol. 2023, 14, 1264325. [Google Scholar] [CrossRef]
- Yang, D.; Zhang, N.; Li, M.; Hong, T.; Meng, W.; Ouyang, T. The Hippo Signaling Pathway: The Trader of Tumor Microenvironment. Front. Oncol. 2021, 11, 772134. [Google Scholar] [CrossRef]
- Mokhtari, R.B.; Ashayeri, N.; Baghaie, L.; Sambi, M.; Satari, K.; Baluch, N.; Bosykh, D.A.; Szewczuk, M.R.; Chakraborty, S. The Hippo Pathway Effectors YAP/TAZ-TEAD Oncoproteins as Emerging Therapeutic Targets in the Tumor Microenvironment. Cancers 2023, 15, 3468. [Google Scholar] [CrossRef]
- Ghaboura, N. Unraveling the Hippo pathway: YAP/TAZ as central players in cancer metastasis and drug resistance. EXCLI J. 2025, 24, 612–637. [Google Scholar] [CrossRef]
- von Ahlfen, S.; Missel, A.; Bendrat, K.; Schlumpberger, M. Determinants of RNA quality from FFPE samples. PLoS ONE 2007, 2, e1261. [Google Scholar] [CrossRef]
- Cronin, M.; Pho, M.; Dutta, D.; Stephans, J.C.; Shak, S.; Kiefer, M.C.; Esteban, J.M.; Baker, J.B. Measurement of gene expression in archival paraffin-embedded tissues: Development and performance of a 92-gene reverse transcriptase-polymerase chain reaction assay. Am. J. Pathol. 2004, 164, 35–42. [Google Scholar] [CrossRef]
- Aggerholm-Pedersen, N.; Safwat, A.; Bærentzen, S.; Nordsmark, M.; Nielsen, O.S.; Alsner, J.; Sørensen, B.S. The importance of reference gene analysis of formalin-fixed, paraffin-embedded samples from sarcoma patients—An often underestimated problem. Transl. Oncol. 2014, 7, 687–693. [Google Scholar] [CrossRef][Green Version]
- Hagenbeek, T.J.; Zbieg, J.R.; Hafner, M.; Mroue, R.; Lacap, J.A.; Sodir, N.M.; Noland, C.L.; Afghani, S.; Kishore, A.; Bhat, K.P.; et al. An allosteric pan-TEAD inhibitor blocks oncogenic YAP/TAZ signaling and overcomes KRAS G12C inhibitor resistance. Nat. Cancer 2023, 4, 812–828. [Google Scholar] [CrossRef]
- Chapeau, E.A.; Sansregret, L.; Galli, G.G.; Chène, P.; Wartmann, M.; Mourikis, T.P.; Jaaks, P.; Baltschukat, S.; Barbosa, I.A.M.; Bauer, D.; et al. Direct and selective pharmacological disruption of the YAP-TEAD interface by IAG933 inhibits Hippo-dependent and RAS-MAPK-altered cancers. Nat. Cancer 2024, 5, 1102–1120. [Google Scholar] [CrossRef]
- Pobbati, A.V.; Kumar, R.; Rubin, B.P.; Hong, W. Therapeutic targeting of TEAD transcription factors in cancer. Trends Biochem. Sci. 2023, 48, 450–462. [Google Scholar] [CrossRef]
- Lao, Z.; Chen, X.; Pan, B.; Fang, B.; Yang, W.; Qian, Y. Pharmacological regulators of Hippo pathway: Advances and challenges of drug development. FASEB J. 2025, 39, e70438. [Google Scholar] [CrossRef]








| Parameter | Median | Mix–Max |
|---|---|---|
| Age (years) | 59 | 36–77 |
| Tumor Size (cm) | 7.5 | 2.4–13 |
| Number | % | |
| Gender | ||
| Male | 13 | 56.5 |
| Female | 10 | 43.5 |
| WHO Subtypes | ||
| Type A | 3 | 13 |
| Type B1 | 5 | 21.7 |
| Type B2 | 5 | 21.7 |
| Type B3 | 5 | 21.7 |
| Thymic carcinoma (TC) | 5 | 21.7 |
| Masaoka-Koga Stage * | ||
| I | 5 | 21.7 |
| II | 9 | 39.1 |
| III | 2 | 8.7 |
| IVa | 3 | 13 |
| IVb | 2 | 8.7 |
| Presence of Myasthenia Gravis | 4 | 17.4 |
| Event | ||
| Alive, censored | 23 | 100 |
| Dead | 0 | 0 |
| Fold Change (FC) (Median N1/N3) | Log2FC | |||||||||||
|---|---|---|---|---|---|---|---|---|---|---|---|---|
| Sample (TET Subtype) | MST1 | SAV1 | LATS1 | MOB1A | YAP1 | TEAD4 | MST1 | SAV1 | LATS1 | MOB1A | YAP1 | TEAD4 |
| 1 (N) | 1.42 | 0.92 | 1.12 | 0.95 | 0.91 | 0.84 | 0.51 | −0.13 | 0.16 | −0.07 | −0.13 | −0.26 |
| 2 (N) | 1.34 | 1.53 | 1.76 | 1.13 | 2.25 | 0.94 | 0.42 | 0.62 | 0.82 | 0.18 | 1.17 | −0.08 |
| 3 (N) | 0.70 | 1.09 | 0.89 | 1.05 | 1.10 | 1.20 | −0.51 | 0.13 | −0.16 | 0.07 | 0.13 | 0.26 |
| 4 (A) | 2.66 | 2.52 | 1.09 | 1.68 | 3.98 | 2.17 | 1.41 | 1.34 | 0.13 | 0.75 | 1.99 | 1.12 |
| 5 (A) | 0.90 | 14.07 | 2.05 | 1.06 | 10.76 | 5.07 | −0.15 | 3.82 | 1.04 | 0.08 | 3.43 | 2.34 |
| 6 (A) | 0.50 | 4.76 | 1.09 | 1.17 | 13.11 | 3.33 | −1.01 | 2.25 | 0.13 | 0.22 | 3.71 | 1.74 |
| 7 (B1) | 0.58 | 0.72 | 0.94 | 0.91 | 1.08 | 1.24 | −0.78 | −0.48 | −0.09 | −0.13 | 0.11 | 0.31 |
| 8 (B1) | 0.64 | 1.54 | 0.56 | 0.78 | 1.84 | 1.28 | −0.65 | 0.63 | −0.83 | −0.37 | 0.88 | 0.36 |
| 9 (B1) | 0.98 | 1.15 | 1.15 | 0.78 | 1.50 | 0.75 | −0.03 | 0.20 | 0.20 | −0.36 | 0.59 | −0.41 |
| 10 (B1) | 0.48 | 0.80 | 0.52 | 1.15 | 1.13 | 2.13 | −1.07 | −0.32 | −0.93 | 0.20 | 0.18 | 1.09 |
| 11 (B1) | 0.62 | 0.56 | 0.38 | 0.98 | 0.73 | 0.62 | −0.68 | −0.82 | −1.40 | −0.02 | −0.45 | −0.69 |
| 12 (B2) | 1.13 | 1.20 | 1.08 | 0.89 | 1.57 | 0.88 | 0.17 | 0.26 | 0.10 | −0.16 | 0.65 | −0.19 |
| 13 (B2) | 0.64 | 1.60 | 0.75 | 1.04 | 1.67 | 0.27 | −0.65 | 0.67 | −0.42 | 0.05 | 0.74 | −1.90 |
| 14 (B2) | 0.76 | 1.74 | 0.53 | 1.11 | 2.68 | 1.01 | −0.39 | 0.80 | −0.91 | 0.15 | 1.42 | 0.01 |
| 15 (B2) | 0.94 | 4.38 | 1.26 | 1.21 | 4.34 | 4.97 | −0.09 | 2.13 | 0.33 | 0.28 | 2.12 | 2.31 |
| 16 (B2) | 0.96 | 1.72 | 1.09 | 1.22 | 1.28 | 1.39 | −0.06 | 0.78 | 0.13 | 0.29 | 0.35 | 0.48 |
| 17 (B3) | 0.69 | 2.70 | 0.98 | 1.24 | 4.15 | 1.38 | −0.53 | 1.44 | −0.03 | 0.31 | 2.05 | 0.47 |
| 18 (B3) | 2.10 | 3.96 | 1.50 | 1.47 | 6.86 | 0.96 | 1.07 | 1.99 | 0.59 | 0.56 | 2.78 | −0.06 |
| 19 (B3) | 0.76 | 4.03 | 0.58 | 0.96 | 5.61 | 3.84 | −0.40 | 2.01 | −0.78 | −0.06 | 2.49 | 1.94 |
| 20 (B3) | 1.15 | 7.54 | 1.10 | 2.05 | 12.79 | 5.21 | 0.20 | 2.92 | 0.14 | 1.04 | 3.68 | 2.38 |
| 21 (B3) | 0.83 | 6.57 | 0.80 | 1.25 | 7.15 | 2.93 | −0.26 | 2.72 | −0.32 | 0.33 | 2.84 | 1.55 |
| 22 (TC) | 0.43 | 3.67 | 0.74 | 0.73 | 3.11 | 4.83 | −1.21 | 1.88 | −0.43 | −0.45 | 1.64 | 2.27 |
| 23 (TC) | 0.07 | 0.57 | 0.14 | 2.30 | 3.23 | 17.48 | −3.83 | −0.81 | −2.87 | 1.20 | 1.69 | 4.13 |
| 24 (TC) | 0.38 | 0.82 | 0.63 | 0.91 | 1.40 | 3.05 | −1.38 | −0.28 | −0.67 | −0.14 | 0.48 | 1.61 |
| 25 (TC) | 0.26 | 1.59 | 0.33 | 0.71 | 0.96 | 11.22 | −1.93 | 0.67 | −1.62 | −0.49 | −0.06 | 3.49 |
| 26 (TC) | 0.52 | 2.17 | 0.39 | 0.96 | 3.19 | 12.19 | −0.94 | 1.12 | −1.34 | −0.06 | 1.67 | 3.61 |
| MST1 | SAV1 | LATS1 | MOB1A | YAP1 | TEAD4 | |
|---|---|---|---|---|---|---|
| Thymoma Type A | −0.15 | 2.25 | 0.13 | 0.22 | 3.43 | 1.74 |
| Thymoma Type B1 | −0.68 | −0.32 | −0.83 | −0.13 | 0.18 | 0.31 |
| Thymoma Type B2 | −0.09 | 0.78 | 0.10 | 0.15 | 0.74 | 0.01 |
| Thymoma Type B3 | −0.26 | 2.01 | −0.03 | 0.33 | 2.78 | 1.55 |
| Thymus Carcinoma (TC) | −1.38 | 0.67 | −1.34 | −0.14 | 1.64 | 3.49 |
Disclaimer/Publisher’s Note: The statements, opinions and data contained in all publications are solely those of the individual author(s) and contributor(s) and not of MDPI and/or the editor(s). MDPI and/or the editor(s) disclaim responsibility for any injury to people or property resulting from any ideas, methods, instructions or products referred to in the content. |
© 2026 by the authors. Licensee MDPI, Basel, Switzerland. This article is an open access article distributed under the terms and conditions of the Creative Commons Attribution (CC BY) license.
Share and Cite
Elm, L.; Gerlitz, N.; Neumann, J.; Levidou, G. Subtype-Dependent Expression Patterns of Core Hippo Pathway Components in Thymic Epithelial Tumors (TETs): An RT-qPCR Study. Biomedicines 2026, 14, 305. https://doi.org/10.3390/biomedicines14020305
Elm L, Gerlitz N, Neumann J, Levidou G. Subtype-Dependent Expression Patterns of Core Hippo Pathway Components in Thymic Epithelial Tumors (TETs): An RT-qPCR Study. Biomedicines. 2026; 14(2):305. https://doi.org/10.3390/biomedicines14020305
Chicago/Turabian StyleElm, Lisa, Nadja Gerlitz, Jens Neumann, and Georgia Levidou. 2026. "Subtype-Dependent Expression Patterns of Core Hippo Pathway Components in Thymic Epithelial Tumors (TETs): An RT-qPCR Study" Biomedicines 14, no. 2: 305. https://doi.org/10.3390/biomedicines14020305
APA StyleElm, L., Gerlitz, N., Neumann, J., & Levidou, G. (2026). Subtype-Dependent Expression Patterns of Core Hippo Pathway Components in Thymic Epithelial Tumors (TETs): An RT-qPCR Study. Biomedicines, 14(2), 305. https://doi.org/10.3390/biomedicines14020305

