A Systematic Review and Meta-Analysis on the Prevalence of Variants in the Pancreaticobiliary Duct Junction and Its Association with Cancer
Abstract
1. Introduction
2. Methods
2.1. Protocol and Registration
2.2. Eligibility Criteria
2.3. Electronic Search
2.4. Study Selection
2.5. Data Collection Process
2.6. The Assessment of the Methodological Quality of the Included Studies
2.7. Statistical Methods
3. Results
3.1. Included Articles
3.1.1. The Geographical Characteristics of the Studies and Participants
3.1.2. Sex and Age Characteristics in Studies with Sample Size Greater than One
- -
- Sex of Participants:
3.1.3. Variant Classification in Studies
3.2. Prevalence and Risk of Bias
3.3. Clinical Implications
4. Discussion
Limitations of the Study
5. Conclusions
Supplementary Materials
Author Contributions
Funding
Institutional Review Board Statement
Informed Consent Statement
Data Availability Statement
Conflicts of Interest
References
- Avisse, C.; Flament, J.B.; Delattre, J.F. Ampulla of Vater. Anatomic, embryologic, and surgical aspects. Surg. Clin. N. Am. 2000, 80, 201–212. [Google Scholar] [CrossRef] [PubMed]
- Hu, B.; Gong, B.; Zhou, D.Y. Association of anomalous pancreaticobiliary ductal junction with gallbladder carcinoma in Chinese patients: An ERCP study. Gastrointest. Endosc. 2003, 57, 541–545. [Google Scholar] [CrossRef] [PubMed]
- Itoh, S.; Fukushima, H.; Takada, A.; Suzuki, K.; Satake, H.; Ishigaki, T. Assessment of anomalous pancreaticobiliary ductal junction with high-resolution multiplanar reformatted images in MDCT. AJR Am. J. Roentgenol. 2006, 187, 668–675. [Google Scholar] [CrossRef] [PubMed]
- Funabiki, T.; Sugiue, K.; Matsubara, T.; Amano, H.; Ochiai, M. Bile acids and biliary carcinoma in pancreaticobiliary maljunction. Keio J. Med. 1991, 40, 118–122. [Google Scholar] [CrossRef]
- Ando, H.; Ito, T.; Nagaya, M.; Watanabe, Y.; Seo, T.; Kaneko, K. Pancreaticobiliary maljunction without choledochal cysts in infants and children: Clinical features and surgical therapy. J. Pediatr. Surg. 1995, 30, 1658–1662. [Google Scholar] [CrossRef]
- Sadler, T. Langman’s Medical Embryology, 14th ed.; Wolters Kluwer: Philadelphia, PA, USA, 2019. [Google Scholar]
- Ehrhard, J.; Gomez, F. Embryology, Pancreas. In StatPearls; StatPearls Publishing: Treasure Island, FL, USA, 2023. [Google Scholar]
- Lazaridou, A. Embryological Development and Congenital Anomalies of the Pancreas: A Pictorial review. Hell. J. Radiol. 2022, 9, 153–159. [Google Scholar] [CrossRef]
- Tadokoro, H.; Takase, M.; Nobukawa, B. Unusual fusion between ventral and dorsal primordia causes anomalous pancreaticobiliary junction. Pathol. Int. 2008, 58, 498–502. [Google Scholar] [CrossRef]
- Kamisawa, T.; Okamoto, A. Biliopancreatic and pancreatobiliary refluxes in cases with and without pancreaticobiliary maljunction: Diagnosis and clinical implications. Digestion 2006, 73, 228–236. [Google Scholar] [CrossRef]
- López, R.; Aineseder, M.; Ossana, M.; Spina, J. Anomalía de la unión biliopancreática: Una entidad infrecuente en Occidente [Pancreaticobiliary maljunction: A rare entity in the West]. Rev. Argent. Radiol. 2021, 85, 62–67. [Google Scholar] [CrossRef]
- Matsumoto, Y.; Fujii, H.; Itakura, J.; Mogaki, M.; Matsuda, M.; Morozumi, A.; Fujino, M.A.; Suda, K. Pancreaticobiliary maljunction: Etiologic concepts based on radiologic aspects. Gastrointest. Endosc. 2001, 53, 614–619. [Google Scholar] [CrossRef]
- Kamisawa, T.; Okamoto, A. Pancreatographic investigation of pancreatic duct system and pancreaticobiliary malformation. J. Anat. 2008, 212, 125–134. [Google Scholar] [CrossRef] [PubMed]
- Muraki, T.; Memis, B.; Reid, M.D.; Uehara, T.; Ito, T.; Hasebe, O.; Okaniwa, S.; Horigome, N.; Hisa, T.; Mittal, P.; et al. Reflux-Associated Cholecystopathy: Analysis of 76 Gallbladders From Patients With Supra-Oddi Union of the Pancreatic Duct and Common Bile Duct (Pancreatobiliary Maljunction) Elucidates a Specific Diagnostic Pattern of Mucosal Hyperplasia as a Prelude to Carcinoma. Am. J. Surg. Pathol. 2017, 41, 1167–1177. [Google Scholar] [CrossRef] [PubMed] [PubMed Central]
- Kochhar, R.; Singhal, M.; Nagi, B.; Lal, A.; Dutta, U.; Singh, K. Prevalence of type III anomalous pancreaticobiliary junction in a tertiary care hospital of North India. JOP 2009, 10, 383–386. [Google Scholar] [PubMed]
- Kamisawa, T.; Takuma, K.; Anjiki, H.; Egawa, N.; Kurata, M.; Honda, G.; Tsuruta, K.; Sasaki, T. Pancreaticobiliary maljunction. Clin. Gastroenterol. Hepatol. 2009, 7 (Suppl. S11), S84–S88. [Google Scholar] [CrossRef] [PubMed]
- Kamisawa, T.; Takuma, K.; Itokawa, F.; Itoi, T. Endoscopic diagnosis of pancreaticobiliary maljunction. World J. Gastrointest. Endosc. 2011, 3, 1–5. [Google Scholar] [CrossRef]
- Kamisawa, T.; Kaneko, K.; Itoi, T.; Ando, H. Pancreaticobiliary maljunction and congenital biliary dilatation. Lancet Gastroenterol. Hepatol. 2017, 2, 610–618. [Google Scholar] [CrossRef]
- Kimura, W. Congenital dilatation of the common bile duct and pancreaticobiliary maljunction: Clinical implications. Langenbecks Arch. Surg. 2009, 394, 209–213. [Google Scholar] [CrossRef]
- Komi, N.; Takehara, H.; Kunitomo, K.; Miyoshi, Y.; Yagi, T. Does the type of anomalous arrangement of pancreaticobiliary ducts influence the surgery and prognosis of choledochal cyst? J. Pediatr. Surg. 1992, 27, 728–731. [Google Scholar] [CrossRef]
- Renard, Y.; Sommacale, D.; Avisse, C.; Palot, J.-P.; Kianmanesh, R. Anatomía quirúrgica de las vías biliares extrahepáticas y de la unión biliopancreática. EMC Técnicas Quirúrgicas Apar. Dig. 2014, 30, 1–21. [Google Scholar] [CrossRef]
- Schlachterman, A.; Draganov, P.V. Type III choledochal cyst and anomalous pancreatobiliary junction. Gastrointest. Endosc. 2016, 83, 660–661. [Google Scholar] [CrossRef]
- Roukounakis, N.E.; Kuhn, J.A.; McCarty, T.M. Association of an abnormal pancreaticobiliary junction with biliary tract cancers. Bayl. Univ. Med. Cent. Proc. 2000, 13, 11–13. [Google Scholar] [CrossRef] [PubMed]
- Page, M.J.; McKenzie, J.E.; Bossuyt, P.M.; Boutron, I.; Hoffmann, T.C.; Mulrow, C.D.; Shamseer, L.; Tetzlaff, J.M.; Akl, E.A.; Brennan, S.E.; et al. The PRISMA 2020 statement: An updated guideline for reporting systematic reviews. BMJ 2021, 372, n71. [Google Scholar] [CrossRef] [PubMed] [PubMed Central]
- Henry, B.M.; Tomaszewski, K.A.; Walocha, J.A. Methods of Evidence-Based Anatomy: A guide to conducting systematic reviews and meta-analysis of anatomical studies. Ann. Anat. 2016, 205, 16–21. [Google Scholar] [CrossRef]
- Jordan, Z.; Lockwood, C.; Munn, Z.; Aromataris, E. Redeveloping the JBI Model of Evidence Based Healthcare. Int. J. Evid.-Based Healthc. 2018, 16, 227–241. [Google Scholar] [CrossRef]
- Furuya-Kanamori, L.; Barendregt, J.J.; Doi, S.A. A new improved graphical and quantitative method for detecting bias in meta-analysis. Int. J. Evid.-Based Healthc. 2018, 16, 195–203. [Google Scholar] [CrossRef]
- Karla, A. The odds ratio: Principles and applications. J. Pract. Cardiovasc. Sci. 2016, 2, 49. [Google Scholar] [CrossRef]
- Kimura, K.; Ohto, M.; Saisho, H.; Unozawa, T.; Tsuchiya, Y.; Morita, M.; Ebara, M.; Matsutani, S.; Okuda, K. Association of gallbladder carcinoma and anomalous pancreaticobiliary ductal union. Gastroenterology 1985, 89, 1258–1265. [Google Scholar] [CrossRef]
- Tanaka, K.; Nishimura, A.; Yamada, K.; Ishibe, R.; Ishizaki, N.; Yoshimine, M.; Hamada, N.; Taira, A. Cancer of the gallbladder associated with anomalous junction of the pancreatobiliary duct system without bile duct dilatation. Br. J. Surg. 1993, 80, 622–624. [Google Scholar] [CrossRef] [PubMed]
- Hori, H.; Ajiki, T.; Fujita, T.; Okazaki, T.; Suzuki, Y.; Kuroda, Y.; Fujimori, T. Double cancer of gall bladder and bile duct not associated with anomalous junction of the pancreaticobiliary duct system. Jpn. J. Clin. Oncol. 2006, 36, 638–642. [Google Scholar] [CrossRef] [PubMed]
- Ragot, E.; Mabrut, J.Y.; Ouaïssi, M.; Sauvanet, A.; Dokmak, S.; Nuzzo, G.; Halkic, N.; Dubois, R.; Létoublon, C.; Cherqui, D.; et al. Pancreaticobiliary Maljunctions in European Patients with Bile Duct Cysts: Results of the Multicenter Study of the French Surgical Association (AFC). World J. Surg. 2017, 41, 538–545. [Google Scholar] [CrossRef] [PubMed]
- Ono, J.; Sakoda, K.; Akita, H. Surgical aspect of cystic dilatation of the bile duct. An anomalous junction of the pancreaticobiliary tract in adults. Ann. Surg. 1982, 195, 203–208. [Google Scholar] [CrossRef] [PubMed]
- Xia, H.T.; Wang, J.; Yang, T.; Liang, B.; Zeng, J.P.; Dong, J.H. Sphincter of Oddi Dysfunction and the Formation of Adult Choledochal Cyst Following Cholecystectomy: A Retrospective Cohort Study. Medicine 2015, 94, e2088. [Google Scholar] [CrossRef] [PubMed]
- Uetsuji, S.; Okuda, Y.; Kwon, A.H.; Komada, H.; Imamura, A.; Takai, S.; Kamiyama, Y. Gallbladder cancer with a low junction of the cystic duct or an anomalous pancreaticobiliary junction. Eur. J. Gastroenterol. Hepatol. 1996, 8, 1213–1217. [Google Scholar] [CrossRef] [PubMed]
- Govil, S.; Justus, A.; Korah, I.; Perakath, A.; Zachariah, N.; Sen, S. Choledochal cysts: Evaluation with MR cholangiography. Abdom. Imaging 1998, 23, 616–619. [Google Scholar] [CrossRef]
- Tanaka, K.; Ikoma, A.; Hamada, N.; Nishida, S.; Kadono, J.; Taira, A. Biliary tract cancer accompanied by anomalous junction of pancreaticobiliary ductal system in adults. Am. J. Surg. 1998, 175, 218–220. [Google Scholar] [CrossRef]
- Hanada, K.; Tsuchida, A.; Iwao, T.; Eguchi, N.; Sasaki, T.; Morinaka, K.; Matsubara, K.; Kawasaki, Y.; Yamamoto, S.; Kajiyama, G. Gene mutations of K-ras in gallbladder mucosae and gallbladder carcinoma with an anomalous junction of the pancreaticobiliary duct. Am. J. Gastroenterol. 1999, 94, 1638–1642. [Google Scholar] [CrossRef] [PubMed]
- Yoshida, T.; Shibata, K.; Matsumoto, T.; Sasaki, A.; Hirose, R.; Kitano, S. Carcinoma of the gallbladder associated with anomalous junction of the pancreaticobiliary duct in adults. J. Am. Coll. Surg. 1999, 189, 57–62. [Google Scholar] [CrossRef]
- Hosoki, T.; Hasuike, Y.; Takeda, Y.; Michita, T.; Watanabe, Y.; Sakamori, R.; Tokuda, Y.; Yutani, K.; Sai, C.; Mitomo, M. Visualization of pancreaticobiliary reflux in anomalous pancreaticobiliary junction by secretin-stimulated dynamic magnetic resonance cholangiopancreatography. Acta Radiol. 2004, 45, 375–382. [Google Scholar] [CrossRef] [PubMed]
- Deguchi, E.; Iwai, N.; Kimura, O.; Ono, S.; Shimadera, S.; Fumino, S. Significance of the anomalous arrangement of the pancreaticobiliary duct in the etiology of biliary atresia. Eur. J. Pediatr. Surg. 2007, 17, 96–99. [Google Scholar] [CrossRef]
- Alkhatib, A.A.; Hilden, K.; Adler, D.G. Incidental pancreatography via ERCP in patients with anomalous pancreaticobiliary junction does not result in pancreatitis in a North American population. Dig. Dis. Sci. 2012, 57, 1064–1068. [Google Scholar] [CrossRef]
- Nakayama, K.; Konno, M.; Kanzaki, A.; Morikawa, T.; Miyashita, H.; Fujioka, T.; Uchida, T.; Miyazaki, K.; Takao, S.; Aikou, T.; et al. Allelotype analysis of gallbladder carcinoma associated with anomalous junction of pancreaticobiliary duct. Cancer Lett. 2001, 166, 135–141. [Google Scholar] [CrossRef] [PubMed]
- Jaunin-Stalder, N.; Stähelin-Massik, J.; Knuchel, J.; Gnehm, H.E. A pair of monozygotic twins with anomalous pancreaticobiliary junction and pancreatitis. J. Pediatr. Surg. 2002, 37, 1485–1487. [Google Scholar] [CrossRef] [PubMed]
- Komi, N.; Udaka, H.; Ikeda, N.; Kashiwagi, Y. Congenital dilatation of the biliary tract; new classification and study with particular reference to anomalous arrangement of the pancreaticobiliary ducts. Gastroenterol. Jpn. 1977, 12, 293–304. [Google Scholar] [CrossRef] [PubMed]
- Young, W.T.; Thomas, G.V.; Blethyn, A.J.; Lawrie, B.W. Choledochal cyst and congenital anomalies of the pancreatico-biliary junction: The clinical findings, radiology and outcome in nine cases. Br. J. Radiol. 1992, 65, 33–38. [Google Scholar] [CrossRef]
- Kuga, H.; Yamaguchi, K.; Shimizu, S.; Yokohata, K.; Chijiiwa, K.; Tanaka, M. Carcinoma of the pancreas associated with anomalous junction of pancreaticobiliary tracts: Report of two cases and review of the literature. J. Hepatobiliary Pancreat. Surg. 1998, 5, 113–116. [Google Scholar] [CrossRef]
- Sugiyama, M.; Atomi, Y. Anomalous pancreaticobiliary junction without congenital choledochal cyst. Br. J. Surg. 1998, 85, 911–916. [Google Scholar] [CrossRef]
- Sugiyama, Y.; Kobori, H.; Hakamada, K.; Seito, D.; Sasaki, M. Altered bile composition in the gallbladder and common bile duct of patients with anomalous pancreaticobiliary ductal junction. World J. Surg. 2000, 24, 17–21. [Google Scholar] [CrossRef]
- Suzuki, R.; Shimizu, T.; Suzuki, M.; Yamashiro, Y. Detection of abnormal union of pancreaticobiliary junction by magnetic resonance cholangiopancreatography in a girl with acute pancreatitis. Pediatr. Int. 2002, 44, 183–185. [Google Scholar] [CrossRef]
- Takaya, J.; Muneyuki, M.; Tokuhara, D.; Takada, K.; Hamada, Y.; Kobayashi, Y. Congenital dilatation of the bile duct: Changes in diagnostic tools over the past 19 years. Pediatr. Int. 2003, 45, 383–387. [Google Scholar] [CrossRef]
- Roukounakis, N.; Manolakopoulos, S.; Tzourmakliotis, D.; Bethanis, S.; McCarty, T.M.; Cuhn, J. Biliary tract malignancy and abnormal pancreaticobiliary junction in a Western population. J. Gastroenterol. Hepatol. 2006, 22, 1949–1952. [Google Scholar] [CrossRef]
- Guo, W.L.; Huang, S.G.; Wang, J.; Sheng, M.; Fang, L. Imaging findings in 75 pediatric patients with pancreaticobiliary maljunction: A retrospective case study. Pediatr. Surg. Int. 2012, 28, 983–988. [Google Scholar] [CrossRef] [PubMed]
- Liu, N.; Huang, X.H.; Zhang, X.M.; Dong, G.L.; Jing, Z.L.; Gao, C.L.; Tang, M.Y. The angle of pancreaticobiliary junction correlates with acute pancreatitis: A magnetic resonance cholangiopancreatography study. Quant. Imaging Med. Surg. 2015, 5, 401–406. [Google Scholar] [CrossRef] [PubMed] [PubMed Central]
- Sato, M.; Ishida, H.; Konno, K.; Naganuma, H.; Ishida, J.; Hirata, M.; Yamada, N.; Watanabe, S. Choledochal cyst due to anomalous pancreatobiliary junction in the adult: Sonographic findings. Abdom. Imaging 2001, 26, 395–400. [Google Scholar] [CrossRef] [PubMed]
- Akiyama, T.; Hasegawa, T.; Sejima, T.; Sahara, H.; Kitabayashi, K.; Seto, K.; Saito, H.; Takashima, S. Anomalous junction of the pancreaticobiliary duct accompanied by gallbladder cancer and obstructive jaundice in a patient with high serum and bile cytokine levels. J. Gastroenterol. 1998, 33, 597–601. [Google Scholar] [CrossRef] [PubMed]
- Basaranoglu, M.; Balci, N.C.; Klör, H.U. Anomalous pancreaticobiliary junction (APBJ) with the drainage of the uncinate process into the minor papilla: Demonstration by MRI. Br. J. Radiol. 2005, 78, 655–658. [Google Scholar] [CrossRef]
- Choi, K.K.; Choi, S.B.; Park, S.W.; Kim, H.K.; Park, Y.N.; Kim, K.S. Synchronous double primary cancers associated with a choledochal cyst and anomalous pancreaticobiliary ductal union. J. Korean Surg. Soc. 2011, 81, 281–286. [Google Scholar] [CrossRef]
- Dutta, S.; Jain, A.; Reddy, A.; Nelamangala Ramakrishnaiah, V.P. Anomalous Pancreaticobiliary Duct Junction in an Unusual Case of Synchronous Gallbladder and Bile Duct Malignancy. Cureus 2021, 13, e13331. [Google Scholar] [CrossRef]
- Inagaki, M.; Goto, J.; Suzuki, S.; Ishizaki, A.; Tanno, S.; Kohgo, Y.; Tokusashi, Y.; Miyokawa, N.; Kasai, S. Gallbladder carcinoma associated with occult pancreatobiliary reflux in the absence of pancreaticobiliary maljunction. J. Hepatobiliary Pancreat. Surg. 2007, 14, 529–533. [Google Scholar] [CrossRef] [PubMed]
- Iso, Y.; Sawada, T.; Rokkaku, K.; Shimoda, M.; Kubota, K. Ball-valve gastric tumor associated with anomalous junction of the pancreatico-biliary ductal system and a right-sided round ligament: Report of a case. Surg. Today 2008, 38, 458–462. [Google Scholar] [CrossRef]
- Kainuma, O.; Asano, T.; Nakagohri, T.; Kenmochi, T.; Okazumi, S.; Hishikawa, E.; Tokoro, Y.; Urashima, T.; Isono, K. A case of gallbladder adenomyomatosis with pancreaticobiliary maljunction and an anomaly of the cystic duct joined the common channel. Am. J. Gastroenterol. 1998, 93, 1156–1158. [Google Scholar] [CrossRef] [PubMed]
- Ma, M.X.; Bourke, M.J. Symptomatic benign distal biliary stricture in the setting of anomalous pancreaticobiliary junction treated with metal biliary and temporary plastic pancreatic stents. Gastrointest. Endosc. 2018, 87, 1586–1587. [Google Scholar] [CrossRef] [PubMed]
- McMahon, C.J.; Vollmer, C.M., Jr.; Goldsmith, J.; Brown, A.; Pleskow, D.; Pedrosa, I. An unusual variant of anomalous pancreaticobiliary junction in a patient with pancreas divisum diagnosed with secretin-magnetic resonance cholangiopancreatography. Pancreas 2010, 39, 101–104. [Google Scholar] [CrossRef] [PubMed]
- Nambu, A.; Ichikawa, T.; Katoh, K.; Araki, T. A case of abnormal pancreaticobiliary junction evidenced by 3D drip infusion cholangiography CT. J. Comput. Assist. Tomogr. 2001, 25, 653–655. [Google Scholar] [CrossRef]
- Okada, A.; Nagaoka, M.; Kamata, S.; Oguchi, Y.; Kawashima, Y.; Saito, R. “Common channel syndrome”—Anomalous junction of the pancreatico-biliary ductal system. Z. Kinderchir. 1981, 32, 144–151. [Google Scholar] [CrossRef]
- Petrasek, J.; Hucl, T.; Spicak, J. Pancreaticobiliary malunion and incomplete pancreas divisum: An unusual cause of common bile duct obstruction. Adv. Med. Sci. 2008, 53, 6–10. [Google Scholar] [CrossRef]
- Suzuki, S.; Nakamura, S.; Ochiai, H.; Baba, S.; Sakaguchi, T.; Tsuchiya, Y.; Kojima, Y.; Konno, H. Double cancer of the gallbladder and common bile duct associated with an anomalous pancreaticobiliary ductal junction without a choledochal cyst: Report of a case. Surg. Today 1999, 29, 651–655. [Google Scholar] [CrossRef]
- Ueda, N.; Nagakawa, T.; Ohta, T.; Kayahara, M.; Ueno, K.; Konishi, I.; Izumi, R.; Miyazaki, I. Synchronous cancer of the biliary tract and pancreas associated with anomalous arrangement of the pancreaticobiliary ductal system. J. Clin. Gastroenterol. 1992, 15, 136–141. [Google Scholar] [CrossRef] [PubMed]
- Chapuy, S.; Gorincour, G.; Roquelaure, B.; Aschero, A.; Paris, M.; Lambot, K.; Delarue, A.; Bourlière-Najean, B.; Petit, P. Sonographic diagnosis of a common pancreaticobiliary channel in children. Pediatr. Radiol. 2006, 36, 1300–1305. [Google Scholar] [CrossRef] [PubMed]
- Sai, J.K.; Suyama, M.; Kubokawa, Y.; Nobukawa, B. Gallbladder carcinoma associated with pancreatobiliary reflux. World J. Gastroenterol. 2006, 12, 6527–6530. [Google Scholar] [CrossRef]
- Tomioka, Y.; Sung, Y.N.; Sawada, R.; Hong, S.M.; Akita, M.; Itoh, T.; Ajiki, T.; Fukumoto, T.; Zen, Y. IL-33 overexpression in gallbladder cancers associated with pancreatobiliary maljunction. Histopathology 2019, 75, 365–375. [Google Scholar] [CrossRef] [PubMed]
- Kamisawa, T.; Honda, G.; Kurata, M.; Tokura, M.; Tsuruta, K. Pancreatobiliary disorders associated with pancreaticobiliary maljunction. Dig. Surg. 2010, 27, 100–104. [Google Scholar] [CrossRef] [PubMed]
- Takuma, K.; Kamisawa, T.; Tabata, T.; Hara, S.; Kuruma, S.; Inaba, Y.; Kurata, M.; Honda, G.; Tsuruta, K.; Horiguchi, S.; et al. Importance of early diagnosis of pancreaticobiliary maljunction without biliary dilatation. World J. Gastroenterol. 2012, 18, 3409–3414. [Google Scholar] [CrossRef] [PubMed] [PubMed Central]
- Samavedy, R.; Sherman, S.; Lehman, G.A. Endoscopic therapy in anomalous pancreatobiliary duct junction. Gastrointest. Endosc. 1999, 50, 623–627. [Google Scholar] [CrossRef]
- Shimada, K.; Chijiiwa, K.; Yanagisawa, J.; Nakayama, F. Biliary bile acids in the gall-bladder and the common bile duct of patients with anomalous pancreaticobiliary ductal junction. J. Gastroenterol. Hepatol. 1993, 8, 138–141. [Google Scholar] [CrossRef]
- Horaguchi, J.; Fujita, N.; Kamisawa, T.; Honda, G.; Chijiiwa, K.; Maguchi, H.; Tanaka, M.; Shimada, M.; Igarashi, Y.; Inui, K.; et al. Pancreatobiliary reflux in individuals with a normal pancreaticobiliary junction: A prospective multicenter study. J. Gastroenterol. 2014, 49, 875–881. [Google Scholar] [CrossRef]
- Hu, C.W.; Kim, H.W.; Yi, S.W.; Lee, D.K.; Lee, S.J. Common bile duct stones associated with pancreatobiliary reflux and disproportionate bile duct dilatation. Medicine 2017, 96, e7701. [Google Scholar] [CrossRef]
- Funabiki, T.; Matsubara, T.; Miyakawa, S.; Ishihara, S. Pancreaticobiliary maljunction and carcinogenesis to biliary and pancreatic malignancy. Langenbeck’s Arch. Surg. 2009, 394, 159–169. [Google Scholar] [CrossRef]
- Sai, J.K.; Suyama, M.; Kubokawa, Y.; Tadokoro, H.; Sato, N.; Maehara, T.; Iida, Y.; Kojima, K. Occult pancreatobiliary reflux in patients with a normal pancreaticobiliary junction. Gastrointest. Endosc. 2003, 57, 364–368. [Google Scholar] [CrossRef]
- Benjamin, I.S. Biliary cystic disease: The risk of cancer. J. Hepatobiliary Pancreat. Surg. 2003, 10, 335–339. [Google Scholar] [CrossRef]
- Barroso-Márquez, L.; Chao-González, L.; Samada-Suárez, M. Diagnóstico diferencial de la estenosis biliar, un desafío en la práctica clínica. Rev. Cienc. Médicas Pinar Río 2022, 26, e5381. Available online: https://revcmpinar.sld.cu/index.php/publicaciones/article/view/5381 (accessed on 1 March 2025).
- Komi, N.; Takehara, H.; Kunitomo, K. Choledochal cyst: Anomalous arrangement of the pancreaticobiliary ductal system and biliary malignancy. J. Gastroenterol. Hepatol. 1989, 4, 63–74. [Google Scholar] [CrossRef] [PubMed]
- Giha, S.; Redondo, Y.; Quintero, G. Quiste del colédoco: Diagnóstico y manejo intraoperatorio. Rev. Pediatría 2016, 49, 64–67. [Google Scholar] [CrossRef]
- Uribarrena Amezaga, R.; Raventós, N.; Fuentes, J.; Elías, J.; Tejedo, V.; Uribarrena Echebarría, R. Diagnóstico y tratamiento de los quistes de colédoco: Presentación de 10 nuevos casos. Rev. Esp. Enfermedades Dig. 2008, 100, 71–75. [Google Scholar] [CrossRef] [PubMed][Green Version]
- Sherman, S.; Hawes, R.H.; Troiano, F.P.; Lehman, G.A. Pancreatitis following bile duct sphincter of Oddi manometry: Utility of the aspirating catheter. Gastrointest. Endosc. 1992, 38, 347–350. [Google Scholar] [CrossRef] [PubMed]
- Guarner Aguilar, L. Información al paciente. Pancreatitis crónica [Patient information. Chronic pancreatitis]. Rev. Esp. Enferm. Dig. 2006, 98, 390. [Google Scholar] [CrossRef][Green Version]
- Minami, Y.; Hasuike, Y.; Takeda, Y.; Tsujinaka, T. Metachronous double cancer of the gallbladder and pancreas associated with pancreaticobiliary maljunction. J. Hepatobiliary Pancreat. Surg. 2008, 15, 330–333. [Google Scholar] [CrossRef]
- Tang, L.; Wang, X.D.; Xu, J.Y.; Wang, J.; Huang, S.G.; Chen, F. Anatomical and Morphological Features of the Fetal Human Pancreaticobiliary Ductal Union. Fetal Pediatr. Pathol. 2015, 34, 355–360. [Google Scholar] [CrossRef]
- Domínguez, M.; Colmenero, J.; Bataller, R. Tratamiento de la fibrosis hepática [Treatment of liver fibrosis]. Gastroenterol. Hepatol. 2009, 32, 627–632. [Google Scholar] [CrossRef]
- González-Izquierdo Jde, J.; Hernández-Aguilar, T.J.; Palomares-Chacón, U.R.; Castelltor Hernández, L.F.; Pérez Navarro, J.V.; Anaya-Prado, R. Tratamiento actual de la enfermedad por reflujo gastroesofágico. Cir. Gen. 2015, 37, 38–43. Available online: https://www.scielo.org.mx/scielo.php?script=sci_arttext&pid=S1405-00992015000100038 (accessed on 1 March 2025).
- Orellana-Donoso, M.; Milos-Brandenberg, D.; Benavente-Urtubia, A.; Guerra-Loyola, J.; Bruna-Mejias, A.; Nova-Baeza, P.; Becerra-Farfán, Á.; Sepulveda-Loyola, W.; Luque-Bernal, R.M.; Valenzuela-Fuenzalida, J.J. Incidence and Clinical Implications of Anatomical Variations in the Pancreas and Its Ductal System: A Systematic Review and Meta-Analysis. Life 2023, 13, 1710. [Google Scholar] [CrossRef]
- Kamisawa, T.; Kuruma, S.; Tabata, T.; Chiba, K.; Iwasaki, S.; Koizumi, S.; Kurata, M.; Honda, G.; Itoi, T. Pancreaticobiliary maljunction and biliary cancer. J. Gastroenterol. 2015, 50, 273–279. [Google Scholar] [CrossRef] [PubMed]
- Ono, S.; Fumino, S.; Iwai, N. Diagnosis and treatment of pancreaticobiliary maljunction in children. Surg. Today 2011, 41, 601–605. [Google Scholar] [CrossRef]
- Ono, A.; Arizono, S.; Isoda, H.; Togashi, K. Imaging of Pancreaticobiliary Maljunction. Radiogr. Rev. Publ. Radiol. Soc. N. Am. Inc. 2020, 40, 378–392. [Google Scholar] [CrossRef]
- Diaz-Tobar, C.; El-Ashry, A.; Christein, J.D.; Mönkemüller, K. Endoscopic repair of a massive postoperative pancreatic juice leak through the bile duct stump due to pancreatobiliary maljunction. Endoscopy 2014, 46 (Suppl. S1), E165–E166. [Google Scholar] [CrossRef]
- Arima, E.; Akita, H. Congenital biliary tract dilatation and anomalous junction of the pancreatico-biliary ductal system. J. Pediatr. Surg. 1979, 14, 9–15. [Google Scholar] [CrossRef]
- Ariake, K.; Unno, M.; Yoshida, H.; Kubo, S.; Horiguchi, A.; Yamaue, H.; Yamamoto, M. Risk factors and characteristics of young patients with the biliary tract carcinoma: Results of a project study for biliary surgery by the Japanese Society of Hepato-Biliary-Pancreatic Surgery. J. Hepatobiliary Pancreat. Sci. 2020, 27, 571–580. [Google Scholar] [CrossRef] [PubMed] [PubMed Central]
- Prieto, R.; Borráez, B.; Prieto, J.; Guevara, O. Cáncer de vesícula biliar, una visión real. Rev. Colomb. Cirugía 2022, 37, 280–297. [Google Scholar] [CrossRef]
- Todani, T.; Maeba, T.; Morotomi, Y.; Urushihara, N.; Watanabe, Y. Quiste de colédoco, mala consolidación pancreatobiliar y cáncer. Rev. Cirugía Hepato-Biliar-Pancreática 1994, 1, 247–251. [Google Scholar]
- Wang, C.L.; Ding, H.Y.; Dai, Y.; Xie, T.T.; Li, Y.B.; Cheng, L.; Wang, B.; Tang, R.H.; Nie, W.X. Magnetic resonance cholangiopancreatography study of pancreaticobiliary maljunction and pancreaticobiliary diseases. World J. Gastroenterol. 2014, 20, 7005–7010. [Google Scholar] [CrossRef] [PubMed] [PubMed Central]
- Ohkawa, H.; Sawaguchi, S.; Yamazaki, Y.; Ishikawa, A.; Kikuchi, M. Experimental analysis of the ill effect of anomalous pancreaticobiliary ductal union. J. Pediatr. Surg. 1982, 17, 7–13. [Google Scholar] [CrossRef]
- Ogura, Y. Experimental studies on reflux of pancreatic juice into the biliary tract, with special reference to the effects in the hepato-biliary system. Nihon Geka Gakkai Zasshi. 1983, 84, 141–150. [Google Scholar] [PubMed]
- Seki, M.; Yanagisawa, A.; Ninomiya, E.; Ninomiya, Y.; Ohta, H.; Saiura, A.; Yamamoto, J.; Yamaguchi, T.; Aruga, A.; Yamada, K.; et al. Clinicopathology of pancreaticobiliary maljunction: Relationship between alterations in background biliary epithelium and neoplastic development. J. Hepatobiliary Pancreat. Surg. 2005, 12, 254–262. [Google Scholar] [CrossRef] [PubMed]
- Mirilas, P.; Colborn, G.L.; Skandalakis, L.J.; Skandalakis, P.N.; Zoras, O.; Skandalakis, J.E. Benign anatomical mistakes: “ampulla of Vater” and “papilla of Vater”. Am. Surg. 2005, 71, 269–274. [Google Scholar] [CrossRef] [PubMed]
- Takayashiki, T.; Miyazaki, M.; Kato, A.; Ito, H.; Nakagawa, K.; Ambiru, S.; Shimizu, H.; Furuya, S.; Nakajima, N. Double cancer of gallbladder and bile duct associated with anomalous junction of the pancreaticobiliary ductal system. Hepatogastroenterology 2002, 49, 109–112. [Google Scholar]






| # | Study | Total Number of Samples | Males, n/% | Females, n/% | Not Reported, n/% |
|---|---|---|---|---|---|
| 1 | Hu et al., 2003 [2] | 1876 | 3/0.15% | 7/0.37% | 1866/99.46% |
| 2 | Itoh et al., 2005 [3] | 84 | 3/33.33% | 6/66.66% | 0 |
| 3 | Funabiki et al., 1991 [4] | 15 | 0 | 0 | 15/100% |
| 4 | Ando et al., 1995 [5] | 7 | 0 | 0 | 7/100% |
| 5 | Matsumoto et al., 2001 [12] | 2018 | 14/0.69% | 49/2.42% | 1955/96.87% |
| 6 | Kamisawa et al., 2008 [13] | 3210 | 0 | 0 | 3210/100% |
| 7 | Kochhar et al., 2009 [15] | 3827 | 53/1.38% | 48/1.25% | 3726/97.36% |
| 8 | Komi et al., 1992 [20] | 51 | 17/33.33% | 34/66.66% | 0 |
| 9 | Roukounakis et al., 2000 [23] | 29 | 5/17.24% | 8/27.58% | 16/55.17% |
| 10 | Kimura et al., 1985 [29] | 211 | 31/14.69% | 65/30.80% | 115/54.50% |
| 11 | Tanaka et al., 1993 [30] | 32 | 2/6.25% | 5/15.62% | 25/78.13% |
| 12 | Hori et al., 2006 [31] | 108 | 0 | 0 | 108/100% |
| 13 | Ragot et al., 2017 [32] | 263 | 0 | 0 | 263/100% |
| 14 | Ono et al., 1982 [33] | 22 | 6/27.27% | 9/40.90% | 7/31.81% |
| 15 | Xia et al., 2015 [34] | 86 | 8/9.3% | 19/22.09% | 59/68.6% |
| 16 | Uetsuji et al., 1996 [35] | 47 | 1/2.12% | 6/12.76% | 40/85.10% |
| 17 | Govil et al., 1998 [36] | 18 | 3/16.66% | 6/33.33% | 9/50% |
| 18 | Tanaka et al., 1998 [37] | 38 | 5/13.15% | 9/32.14% | 24/63.15% |
| 19 | Hanada et al., 1999 [38] | 73 | 10/13.69% | 25/34.24% | 38/52.05% |
| 20 | Yoshida et al., 1999 [39] | 650 | 1/0.15% | 13/2.00% | 636/97.84% |
| 21 | Hosoki et al., 2004 [40] | 17 | 1/5.88% | 6/35.29% | 10/58.82% |
| 22 | Deguchi et al., 2007 [41] | 43 | 2/4.65% | 1/2.32% | 40/93.02% |
| 23 | Alkhatib et al., 2012 [42] | 1050 | 7/0.66% | 5/0.47% | 1038/98.59% |
| 24 | Nakayama et al., 2001 [43] | 5 | 0 | 5/100% | 0 |
| 25 | Jaunin-Stadler et al., 2002 [44] | 2 | 0 | 2/100% | 0 |
| 26 | Komi et al., 1977 [45] | 570 | 173/30.35% | 397/69.64% | 0 |
| 27 | Young et al., 1992 [46] | 9 | 3/33.33% | 6/66.66% | 0 |
| 28 | Kuga et al., 1998 [47] | 2 | 1/50% | 1/50% | 0 |
| 29 | Sugiyama et al., 1998 [48] | 18 | 5/27.77% | 13/72.22% | 0 |
| 30 | Sugiyama et al., 2000 [49] | 31 | 16/51.61% | 15/48.38% | 0 |
| 31 | Takaya et al., 2003 [51] | 34 | 9/26.47% | 25/73.52% | 0 |
| 32 | Roukounakis et al., 2006 [52] | 58 | 26/44.82% | 32/55.17% | 0 |
| 33 | Guo et al., 2012 [53] | 75 | 24/32% | 51/68% | 0 |
| 34 | Liu et al., 2015 [54] | 72 | 37/51.38% | 35/48.61% | 0 |
| 35 | Sato et al., 2001 [55] | 12 | 1/8.33% | 11/91.66% | 0 |
| 36 | Chapuy et al., 2006 [70] | 4 | 0 | 4/100% | 0 |
| 37 | Samavedy et al., 1999 [75] | 7537 | 13/0.17% | 5/0.06% | 7519/99.76% |
| 38 | Shimada et al., 1993 [76] | 22 | 6/27.27% | 16/61.53% | 0 |
| # | Study | Total Number of Samples | Prevalence, n/% |
|---|---|---|---|
| 1 | Hu et al., 2003 [2] | 1876 | 10/0.53% |
| 2 | Itoh et al., 2005 [3] | 84 | 9/10.7% |
| 3 | Matsumoto et al., 2001 [12] | 2018 | 202/10.00% |
| 4 | Kamisawa et al., 2008 [13] | 3210 | 74/2.30% |
| 5 | Kochhar et al., 2009 [15] | 3827 | 101/2.63% |
| 6 | Kimura et al., 1985 [29] | 211 | 65/30.81% |
| 7 | Hori et al., 2006 [31] | 108 | 12/11.11% |
| 8 | Xia et al., 2015 [34] | 86 | 26/30.23% |
| 9 | Yoshida et al., 1999 [39] | 650 | 14/2.15% |
| 10 | Deguchi et al., 2007 [41] | 43 | 3/6.47% |
| 11 | Alkhatib et al., 2012 [42] | 1050 | 12/1.14% |
| 12 | Guo et al., 2012 [53] | 75 | 17/22.66% |
| 13 | Samavedy et al., 1999 [75] | 7537 | 18/0.23% |
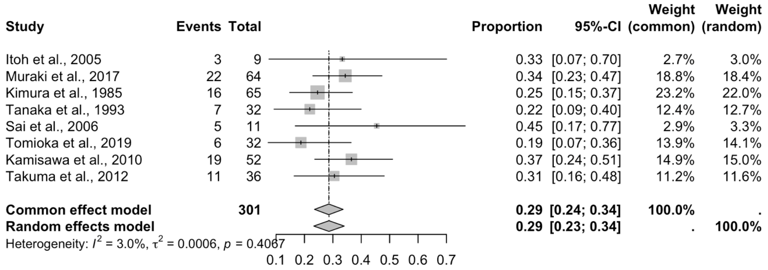
| # | Study | Total Number of Samples | Prevalence, n/% |
|---|---|---|---|
| 1 | Itoh et al., 2005 [3] | 9 | 3/33.33% |
| 2 | Muraki et al., 2017 [14] | 64 | 22/34.4% |
| 3 | Kimura et al., 1985 [29] | 65 | 16/24.62% |
| 4 | Tanaka et al., 1993 [30] | 32 | 7/21.88% |
| 5 | Sai et al., 2006 [71] | 11 | 5/45.5% |
| 6 | Tomioka et al., 2019 [72] | 32 | 6/18.75% |
| 7 | Kamisawa et al., 2010 [73] | 52 | 19/9.8% |
| 8 | Takuma et al., 2012 [74] | 36 | 11/30.56% |
| # | Study | Predictor Factor | Cancer Development OR | 95% CI | p-Value |
|---|---|---|---|---|---|
| 1 | Itoh et al., 2005 [3] | Common channel length (>15 mm on ERCP) Carcinoma and APBJ | 0.007 | 0.16–0.0003 | NR |
| 2 | Muraki et al., 2017 [14] | Through high amylase levels (>10,000 IU/L) and mucosa histopathology | 54 | 6666.025–0.43 | NR |
| 3 | Kimura et al., 1985 [29] | Common channel length (>15mm) Carcinoma and APBJ | 1.4 | 3–0.67 | NR |
| 4 | Tanaka et al., 1993 [30] | Common channel length (>10mm) Carcinoma and APBJ | 0.07 | 2.62–0.0002 | NR |
| 5 | Sai et al., 2006 [71] | Through high amylase levels (>10.000 IU/L) and common channel length 23.6 mm (SD 9.2) | 0.83 | 6.11–0.11 | NR |
| 6 | Tomioka et al., 2019 [72] | Through histopathological (fixed in 10% formalin, embedded in paraffin and tinted with H/E) and immunohistochemical methods (for MUC1, MUC2, MUC5AC, MUC6, p53, and SMAD4 with Leica Microsystems) in APBJ | 0.012 | 0.21–0.0007 | NR |
| 7 | Kamisawa et al., 2010 [73] | Common channel length ≥ 6 mm Gallbladder carcinoma | 0.12 | 6.42–0.002 | NR |
| 8 | Takuma et al., 2012 [74] | Through histopathological (fixed in 10% formalin, embedded in paraffin and tinted with H/E) and immunohistochemical methods (using antisera for Ki-67) in APBJ | 3.21 | 169.56–0.06 | NR |
Disclaimer/Publisher’s Note: The statements, opinions and data contained in all publications are solely those of the individual author(s) and contributor(s) and not of MDPI and/or the editor(s). MDPI and/or the editor(s) disclaim responsibility for any injury to people or property resulting from any ideas, methods, instructions or products referred to in the content. |
© 2025 by the authors. Licensee MDPI, Basel, Switzerland. This article is an open access article distributed under the terms and conditions of the Creative Commons Attribution (CC BY) license (https://creativecommons.org/licenses/by/4.0/).
Share and Cite
Valenzuela-Fuenzalida, J.J.; Beas-Gambi, A.; Matta-Leiva, J.; Martínez-Hernández, D.; Milos, D.; Orellana-Donoso, M.; Santibáñez, A.S.; Bruna-Mejias, A.; Riveros, A.S.; Becerra-Farfan, A.; et al. A Systematic Review and Meta-Analysis on the Prevalence of Variants in the Pancreaticobiliary Duct Junction and Its Association with Cancer. Biomedicines 2025, 13, 1039. https://doi.org/10.3390/biomedicines13051039
Valenzuela-Fuenzalida JJ, Beas-Gambi A, Matta-Leiva J, Martínez-Hernández D, Milos D, Orellana-Donoso M, Santibáñez AS, Bruna-Mejias A, Riveros AS, Becerra-Farfan A, et al. A Systematic Review and Meta-Analysis on the Prevalence of Variants in the Pancreaticobiliary Duct Junction and Its Association with Cancer. Biomedicines. 2025; 13(5):1039. https://doi.org/10.3390/biomedicines13051039
Chicago/Turabian StyleValenzuela-Fuenzalida, Juan José, Antonia Beas-Gambi, Josefa Matta-Leiva, Daniela Martínez-Hernández, Daniel Milos, Mathias Orellana-Donoso, Alejandra Suazo Santibáñez, Alejandro Bruna-Mejias, Andres Sebastian Riveros, Alvaro Becerra-Farfan, and et al. 2025. "A Systematic Review and Meta-Analysis on the Prevalence of Variants in the Pancreaticobiliary Duct Junction and Its Association with Cancer" Biomedicines 13, no. 5: 1039. https://doi.org/10.3390/biomedicines13051039
APA StyleValenzuela-Fuenzalida, J. J., Beas-Gambi, A., Matta-Leiva, J., Martínez-Hernández, D., Milos, D., Orellana-Donoso, M., Santibáñez, A. S., Bruna-Mejias, A., Riveros, A. S., Becerra-Farfan, A., Sanchis-Gimeno, J., Gutierrez-Espinoza, H., & Bastidas-Caldes, C. (2025). A Systematic Review and Meta-Analysis on the Prevalence of Variants in the Pancreaticobiliary Duct Junction and Its Association with Cancer. Biomedicines, 13(5), 1039. https://doi.org/10.3390/biomedicines13051039

