Sign in to use this feature.

Years

Between: -

Subjects

remove_circle_outline
remove_circle_outline
remove_circle_outline

Journals

Article Types

remove_circle_outline
remove_circle_outline

Countries / Regions

Search Results (3)

Search Parameters:
Keywords = pancreaticobiliary junction cancer

Order results
Result details
Results per page
Select all
Export citation of selected articles as:
21 pages, 3809 KB  
Systematic Review
A Systematic Review and Meta-Analysis on the Prevalence of Variants in the Pancreaticobiliary Duct Junction and Its Association with Cancer
by Juan José Valenzuela-Fuenzalida, Antonia Beas-Gambi, Josefa Matta-Leiva, Daniela Martínez-Hernández, Daniel Milos, Mathias Orellana-Donoso, Alejandra Suazo Santibáñez, Alejandro Bruna-Mejias, Andres Sebastian Riveros, Alvaro Becerra-Farfan, Juan Sanchis-Gimeno, Héctor Gutierrez-Espinoza and Carlos Bastidas-Caldes
Biomedicines 2025, 13(5), 1039; https://doi.org/10.3390/biomedicines13051039 - 25 Apr 2025
Viewed by 2707
Abstract
Background/Objectives: The objective of this study was to describe the anatomical variants of the pancreaticobiliary junction and how its position or structural change could be associated with hepatic, duodenal, and pancreatic clinical complications. Methods: We searched MEDLINE, Scopus, Web of Science (WOS), Google [...] Read more.
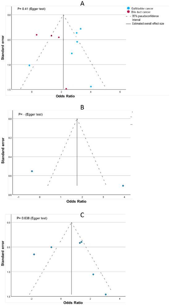
Background/Objectives: The objective of this study was to describe the anatomical variants of the pancreaticobiliary junction and how its position or structural change could be associated with hepatic, duodenal, and pancreatic clinical complications. Methods: We searched MEDLINE, Scopus, Web of Science (WOS), Google Scholar, CINAHL, and EMBASE databases from their inception up to September 2024. Results: Two authors independently performed the search, study selection, data extraction, and assessed the methodological quality with an assurance tool for anatomical studies (AQUA). Finally, the pooled prevalence was estimated using a random effects model. A total of 59 studies with a total of 22,752 participants were included in this review. The overall prevalence of the anomalous pancreaticobiliary junction (APBJ) variant was 12% (95% CI = 6% to 18%). The prevalence of cancer associated with variants of APBJ was 29% (95% CI = 23% to 34%). Conclusions: In the present anatomical systematic review and meta-analysis, we found that a longer common channel correlated with a higher prevalence of bile duct or gallbladder malignancy, due to the backward flow of bile which occurs as a result of the position and distance of the bile ducts, as well as pancreatic failing. Hence, APBJs are of great interest for gastroduodenal surgeons. Full article
Show Figures

Figure 1

13 pages, 1497 KB  
Systematic Review
Pancreaticobiliary Maljunction and Its Relationship with Biliary Cancer: An Updated and Comprehensive Systematic Review and Meta-Analysis on Behalf of TROGSS—The Robotic Global Surgical Society
by Yeisson Rivero-Moreno, Aman Goyal, Victor Bolívar, Nnenna Osagwu, Sophia Echevarria, José Gasca-Insuasti, Freddy Pereira-Graterol, Dagny von Ahrens, Omar Felipe Gaytán Fuentes, Luis Osvaldo Suárez-Carreón, Miljana Vladimirov, Beniamino Pascotto, Juan Santiago Azagra, Natale Calomino, Adel Abou-Mrad, Luigi Marano and Rodolfo J. Oviedo
Cancers 2025, 17(1), 122; https://doi.org/10.3390/cancers17010122 - 2 Jan 2025
Cited by 6 | Viewed by 2809
Abstract
Objective: This systematic review and meta-analysis aimed to determine the degree to which pancreaticobiliary maljunction (PBM) increases the risk of different types of biliary cancer (BC). Methods: A systematic review and meta-analysis were carried out using the following databases: PubMed, Embase, Cochrane Library, [...] Read more.
Objective: This systematic review and meta-analysis aimed to determine the degree to which pancreaticobiliary maljunction (PBM) increases the risk of different types of biliary cancer (BC). Methods: A systematic review and meta-analysis were carried out using the following databases: PubMed, Embase, Cochrane Library, Scopus, Web of Science, and Science Direct. We systematically searched from inception to April 2024. The search terms included were derived from the keywords “Pancreaticobiliary Maljunction” OR “Anomalous Pancreaticobiliary Junction” AND “Cancer” OR “Malignancy”. Studies that provided data comparing BC rates in relation to PBM presence or vice versa were included. The Newcastle–Ottawa Scale (NOS) was used for quality assessment. The random-effects model was used. Results: Fifteen studies were included with a total sample of 8604 patients, of whom 5015 (58.29%) were female with a mean age of 54.58 years. Patients with PBM had 8.42 (95% CI = 3.57–19.87) more risk of developing any type of BC, with a higher risk of GBC than BDC (OR = 16.91 vs. OR = 3.36, p-value = 0.003). There was a higher risk of having PBM in patients with GBC than BDC only when considering the Asian population (OR = 3.12, 95% CI = 1.09–8.94). Meta-regression analysis revealed that neither mean age (p = 0.087) nor percentage of female patients in the study population (p = 0.197) were statistically associated with the variations in OR for the risk of BC based on the presence of PBM. Conclusions: There is a significant association between PBM and the risk of having BC, mainly GBC when compared to BDC. Most of the studies published reported data from Japanese patients, which limits the generalization of the results. The age of patients and sex were not significantly associated with the relation between PBM and BC. Further prospective studies in broader populations will provide additional details to take measures for screening and early management of PBM and BC. Full article
(This article belongs to the Section Systematic Review or Meta-Analysis in Cancer Research)
Show Figures

Figure 1

18 pages, 25869 KB  
Interesting Images
The Many Hidden Faces of Gallbladder Carcinoma on CT and MRI Imaging—From A to Z
by Damaris Neculoiu, Lavinia Claudia Neculoiu, Ramona Mihaela Popa and Rosana Mihaela Manea
Diagnostics 2024, 14(5), 475; https://doi.org/10.3390/diagnostics14050475 - 22 Feb 2024
Cited by 5 | Viewed by 10951
Abstract
Gallbladder carcinoma represents the most aggressive biliary tract cancer and the sixth most common gastrointestinal malignancy. The diagnosis is a challenging clinical task due to its clinical presentation, which is often non-specific, mimicking a heterogeneous group of diseases, as well as benign processes [...] Read more.
Gallbladder carcinoma represents the most aggressive biliary tract cancer and the sixth most common gastrointestinal malignancy. The diagnosis is a challenging clinical task due to its clinical presentation, which is often non-specific, mimicking a heterogeneous group of diseases, as well as benign processes such as complicated cholecystitis, xanthogranulomatous cholecystitis, adenomyomatosis, porcelain gallbladder or metastasis to the gallbladder (most frequently derived from melanoma, renal cell carcinoma). Risk factors include gallstones, carcinogen exposure, porcelain gallbladder, typhoid carrier state, gallbladder polyps and abnormal pancreaticobiliary ductal junction. Typical imaging features on CT or MRI reveal three major patterns: asymmetric focal or diffuse wall-thickening of the gallbladder, a solid mass that replaces the gallbladder and invades the adjacent organs or as an intraluminal enhancement mass arising predominantly from the gallbladder fundus. The tumor can spread to the liver, the adjacent internal organs and lymph nodes. Depending on the disease stage, surgical resection is the curative treatment option in early stages and adjuvant combination chemotherapy at advanced stages. The purpose of this scientific paper is to fully illustrate and evaluate, through multimodality imaging findings (CT and MRI), different presentations and imaging scenarios of gallbladder cancer in six patients and thoroughly analyze the risk factors, patterns of spread and differential diagnosis regarding each particular case. Full article
(This article belongs to the Special Issue Imaging Diagnosis in Abdomen)
Show Figures

Figure 1

Back to TopTop