Assessment of Levels of Apelinergic System Peptides in Serum and Epicardial Adipose Tissue in Patients with Multivessel Coronary Artery Disease Who Underwent Myocardial Revascularisation
Abstract
1. Introduction
2. Materials and Methods
2.1. Study Design and Participants
Inclusion and Exclusion Criteria
2.2. Measurement of Serum and Tissue Levels of Apelinergic System Peptides
2.3. Statistical Analysis
3. Results
3.1. Characteristic of CAD Patients
3.2. Serum and Tissue Levels of Apelinergic System Peptides
3.3. Correlations Between Selected Study Parameters in CAD Patients
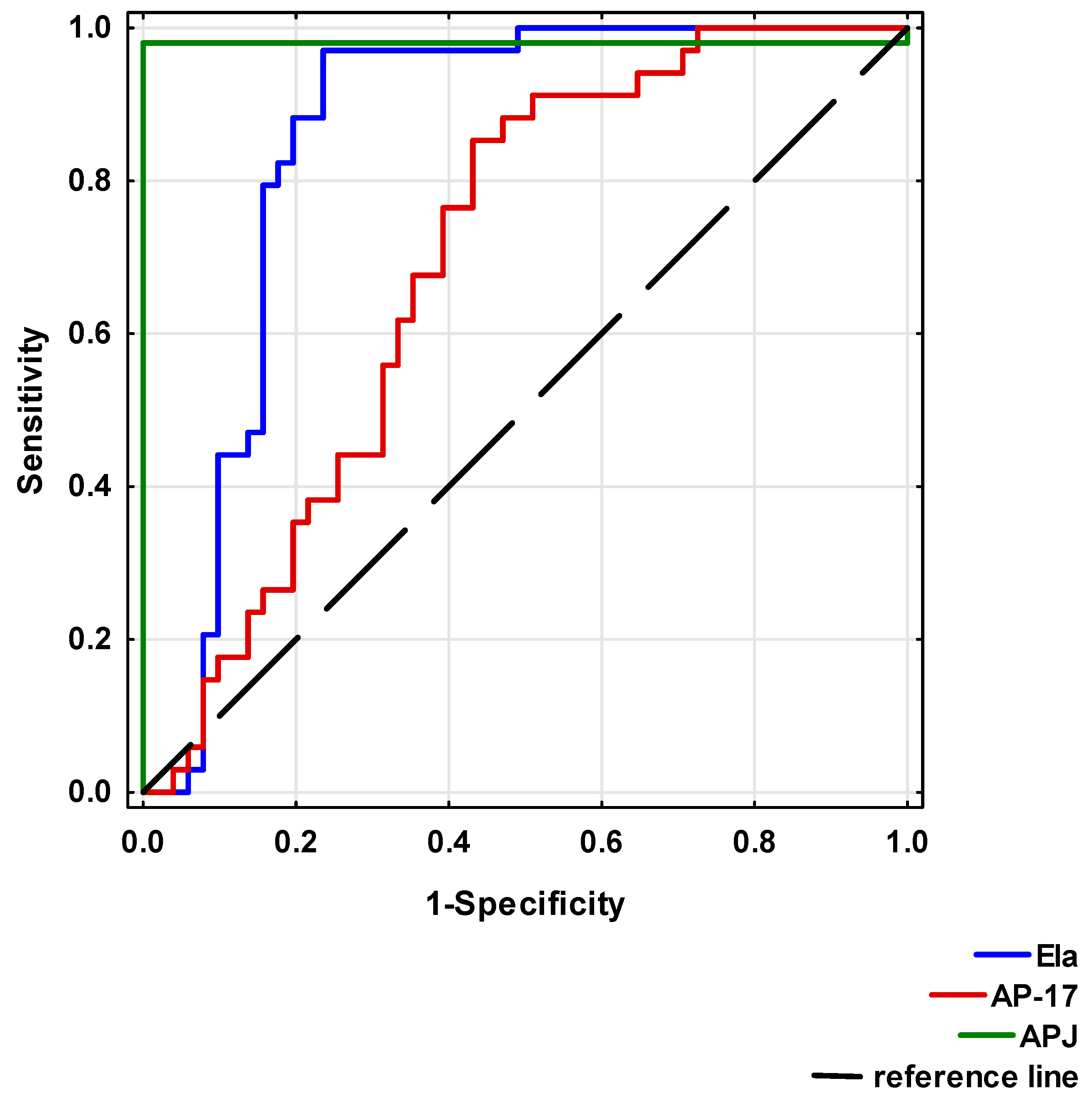
3.4. Diagnostic Potential of Serum Levels of Ela, AP-17 and APJ in CAD Patients
4. Discussion
Limitations of the Study
5. Conclusions
Author Contributions
Funding
Institutional Review Board Statement
Informed Consent Statement
Data Availability Statement
Conflicts of Interest
References
- Bäck, M.; Yuradul, A., Jr.; Tabas, I.; Öörni, K.; Kovanen, P.T. Inflammation and Its Resolution in Atherosclerosis: Mediators and Therapeutic Opportunities. Nat. Rev. Cardiol. 2019, 16, 389–406. [Google Scholar] [CrossRef]
- Chapman, F.A.; Maguire, J.J.; Newby, D.E.; Davenport, A.P.; Dhaun, N. Targeting the Apelin System for the Treatment of Cardiovascular Diseases. Cardiovasc. Res. 2023, 119, 2683–2696. [Google Scholar] [CrossRef]
- Rozwadowski, J.; Borodzicz-Jażdżyk, S.; Czarzasta, K.; Cudnoch-Jędrzejewska, A. A Review of the Roles of Apelin and ELABELA Peptide Ligands in Cardiovascular Disease, Including Heart Failure and Hypertension. Med. Sci. Monit. 2022, 28, e938112. [Google Scholar] [CrossRef]
- Kuba, K.; Sato, T.; Imai, Y.; Yamaguchi, T. Apelin and Elabela/Toddler; Double Ligands for APJ/Apelin Receptor in Heart Development, Physiology, and Pathology. Peptides 2019, 111, 62–70. [Google Scholar] [CrossRef] [PubMed]
- Barnes, G.D.; Alam, S.; Carter, G.; Pedersen, C.M.; Lee, K.M.; Hubbard, T.J.; Veitch, S.; Jeong, H.; White, A.; Cruden, N.L.; et al. Sustained Cardiovascular Actions of APJ Agonism during Renin-Angiotensin System Activation and in Patients with Heart Failure. Circ. Heart Fail. 2013, 6, 482–491. [Google Scholar] [CrossRef] [PubMed]
- Sato, T.; Kadowaki, A.; Suzuki, T.; Ito, H.; Watanabe, H.; Imai, Y.; Kuba, K. Loss of Apelin Augments Angiotensin II-Induced Cardiac Dysfunction and Pathological Remodeling. Int. J. Mol. Sci. 2019, 20, 239. [Google Scholar] [CrossRef]
- Sato, T.; Sato, C.; Kadowaki, A.; Watanabe, H.; Ho, L.; Ishida, J.; Yamaguchi, T.; Kimura, A.; Fukamizu, A.; Penninger, J.M.; et al. ELABELA-APJ Axis Protects from Pressure Overload Heart Failure and Angiotensin II-Induced Cardiac Damage. Cardiovasc. Res. 2017, 113, 760–769. [Google Scholar] [CrossRef]
- Kostopoulos, C.G.; Spiroglou, S.G.; Varakis, J.N.; Apostolakis, E.; Papadaki, H.H. Adiponectin/T-Cadherin and Apelin/APJ Expression in Human Arteries and Periadventitial Fat: Implication of Local Adipokine Signaling in Atherosclerosis? Cardiovasc. Pathol. 2014, 23, 131–138. [Google Scholar] [CrossRef]
- He, L.; Zhou, Q.; Huang, Z.; Xu, J.; Zhou, H.; Lv, D.; Lu, L.; Huang, S.; Tang, M.; Zhong, J.; et al. PINK1/Parkin-Mediated Mitophagy Promotes Apelin-13-Induced Vascular Smooth Muscle Cell Proliferation by AMPKα and Exacerbates Atherosclerotic Lesions. J. Cell. Physiol. 2019, 234, 8668–8682. [Google Scholar] [CrossRef] [PubMed]
- Chun, H.J.; Ali, Z.A.; Kojima, Y.; Kundu, R.K.; Sheikh, A.Y.; Agrawal, R.; Zheng, L.; Leeper, N.J.; Pearl, N.E.; Patterson, A.J.; et al. Apelin Signaling Antagonizes Ang II Effects in Mouse Models of Atherosclerosis. J. Clin. Investig. 2008, 118, 3343–3354. [Google Scholar] [CrossRef]
- Toczylowski, K.; Hirnle, T.; Harasiuk, D.; Zabielski, P.; Lewczuk, A.; Dmitruk, I.; Ksiazek, M.; Sulik, A.; Gorski, J.; Chabowski, A.; et al. Plasma Concentration and Expression of Adipokines in Epicardial and Subcutaneous Adipose Tissue Are Associated with Impaired Left Ventricular Filling Pattern. J. Transl. Med. 2019, 17, 310. [Google Scholar] [CrossRef] [PubMed]
- Nerlekar, N.; Brown, A.J.; Muthalaly, R.G.; Talman, A.; Hettige, T.; Cameron, J.D.; Wong, D.T.L. Association of Epicardial Adipose Tissue and High-Risk Plaque Characteristics: A Systematic Review and Meta-Analysis. J. Am. Heart Assoc. 2017, 6, e006379. [Google Scholar] [CrossRef]
- Cheng, K.H.; Chu, C.S.; Lee, K.T.; Lin, T.H.; Hsieh, C.C.; Chiu, C.C.; Voon, W.C.; Sheu, S.H.; Lai, W.T. Adipocytokines and Proinflammatory Mediators from Abdominal and Epicardial Adipose Tissue in Patients with Coronary Artery Disease. Int. J. Obes. 2008, 32, 268–274. [Google Scholar] [CrossRef]
- Novakov, V.; Sandhu, G.S.; Dragomir-Daescu, D.; Klabusay, M. Apelinergic System in Endothelial Cells and Its Role in Angiogenesis in Myocardial Ischemia. Vascul. Pharmacol. 2015, 76, 1–10. [Google Scholar] [CrossRef]
- Diakowska, D.; Wyderka, R.; Krzystek-Korpacka, M.; Osuch, Ł.; Leśków, A.; Sołtowska, A.; Stanek, M.; Rosińczuk, J.; Jaroch, J. Plasma Levels of Apelinergic System Components in Patients with Chronic and Acute Coronary Syndromes-A Pilot Study. J. Clin. Med. 2021, 10, 4420. [Google Scholar] [CrossRef]
- Kadoglou, N.P.E.; Lampropoulos, S.; Kapelouzou, A.; Gkontopoulos, A.; Theofilogiannakos, E.K.; Fotiadis, G.; Kottas, G. Serum Levels of Apelin and Ghrelin in Patients with Acute Coronary Syndromes and Established Coronary Artery Disease—KOZANI STUDY. Transl. Res. 2010, 155, 238–246. [Google Scholar] [CrossRef] [PubMed]
- Namazi, G.; Salami, R.; Pourfarzam, M.; Asa, P.; Mafi, A.; Raygan, F. Association of the Serum Apelin, but Not Ghrelin, with the Presence and Severity of Coronary Artery Disease. Indian Heart J. 2021, 73, 214–217. [Google Scholar] [CrossRef] [PubMed]
- Liu, X.Y.; Lu, Q.; Ouyang, X.P.; Tang, S.L.; Zhao, G.J.; Lv, Y.C.; He, P.P.; Kuang, H.J.; Tang, Y.Y.; Fu, Y.; et al. Apelin-13 Increases Expression of ATP-Binding Cassette Transporter A1 via Activating Protein Kinase C α Signaling in THP-1 Macrophage-Derived Foam Cells. Atherosclerosis 2013, 226, 398–407. [Google Scholar] [CrossRef]
- Liu, W.; Yan, J.; Pan, W.; Tang, M. Apelin/Elabela-APJ: A Novel Therapeutic Target in the Cardiovascular System. Ann. Transl. Med. 2020, 8, 243. [Google Scholar] [CrossRef]
- Li, Y.; Yang, X.; Ouyang, S.; He, J.; Yu, B.; Lin, X.; Zhang, Q.; Tao, J. Declined Circulating Elabela Levels in Patients with Essential Hypertension and Its Association with Impaired Vascular Function: A Preliminary Study. Clin. Exp. Hypertens. 2020, 42, 239–243. [Google Scholar] [CrossRef]
- Tian, G.; Zheng, Q.; Zhang, Q.; Liu, X.; Lu, X. Serum Elabela Expression Is Decreased in Hypertensive Patients and Could Be Associated with the Progression of Hypertensive Renal Damage. Eur. J. Med. Res. 2024, 29, 94. [Google Scholar] [CrossRef] [PubMed]
- Xie, H.; Luo, G.; Zheng, Y.; Hu, D.; Peng, F.; Xie, L. Lowered Circulating Apelin Is Significantly Associated with an Increased Risk for Hypertension: A Meta-Analysis. Clin. Exp. Hypertens. 2017, 39, 435–440. [Google Scholar] [CrossRef]
- Than, A.; Cheng, Y.; Foh, L.C.; Leow, M.K.S.; Lim, S.C.; Chuah, Y.J.; Kang, Y.; Chen, P. Apelin Inhibits Adipogenesis and Lipolysis through Distinct Molecular Pathways. Mol. Cell. Endocrinol. 2012, 362, 227–241. [Google Scholar] [CrossRef] [PubMed]
- Yue, P.; Jin, H.; Xu, S.; Aillaud, M.; Deng, A.C.; Azuma, J.; Kundu, R.K.; Reaven, G.M.; Quertermous, T.; Tsao, P.S. Apelin Decreases Lipolysis via Gq, Gi, and AMPK-Dependent Mechanisms. Endocrinology 2011, 152, 59–68. [Google Scholar] [CrossRef]
- Riazian, M.; Khorrami, E.; Alipoor, E.; Moradmand, S.; Yaseri, M.; Hosseinzadeh-Attar, M.J. Assessment of Apelin Serum Levels in Persistent Atrial Fibrillation and Coronary Artery Disease. Am. J. Med. Sci. 2016, 352, 354–359. [Google Scholar] [CrossRef] [PubMed]
- Akbari, H.; Hosseini-Bensenjan, M.; Salahi, S.; Moazzen, F.; Aria, H.; Manafi, A.; Hosseini, S.; Niknam, M.; Asadikaram, G. Apelin and Its Ratio to Lipid Factors Are Associated with Cardiovascular Diseases: A Systematic Review and Meta-Analysis. PLoS ONE 2022, 17, e0271899. [Google Scholar] [CrossRef]
- McLean, D.L.; Kim, J.; Kang, Y.; Shi, H.; Atkins, G.B.; Jain, M.K.; Chun, H.J. Apelin/APJ Signaling Is a Critical Regulator of Statin Effects in Vascular Endothelial Cells—Brief Report. Arterioscler. Thromb. Vasc. Biol. 2012, 32, 2640–2643. [Google Scholar] [CrossRef]







| Variable | Healthy Control (n = 34) | CAD Patients (n = 51) | p-Value |
|---|---|---|---|
| Sex | 0.831 | ||
| Male | 27 (79.41) | 40 (78.4) | |
| Female | 7 (20.59) | 11 (21.56) | |
| Age (years) | 61.67 ± 1.55 | 63.74 ± 7.15 | 0.101 |
| Variable | CAD Patients (n = 51) [Mean ± SD or Median [IQR] # or Number (%)] |
|---|---|
| Height (cm) | 171.10 ± 0.07 |
| Weight (kg) | 82.34 ± 14.75 |
| BMI (kg/m2) | 28.00 ± 3.90 |
| BMI: | |
| Norm (<24.99) | 11 (21.56) |
| Overweight (25.00–29.99) | 26 (50.98) |
| Obese (>30) | 14 (27.45) |
| Diabetes mellitus | 5 (9.80) |
| LVEF (%) | 55.53 ± 8.34 |
| Heart Failure Phenotype: | |
| HFpEF | 40 (78.43) |
| HFmrEF | 8 (15.69) |
| HFrEF | 3 (5.88) |
| Myocardial infarction | 5 (9.80) |
| Stents | 4 (7.84) |
| Statins | 42 (82.35) |
| Haemoglobin (g/dL) | 13.49 ± 2.61 |
| WBC | 7.54 ± 3.02 |
| PLT | 230.26 ± 75.32 |
| CRP (mg/L) | 1.77 [0.94–5.63] # |
| Glucose (mg/mL) | 100.00 [93.00–115.50] # |
| HbA1c (%) | 6.44 ± 1.19 |
| TCH (mg/mL) | 166.58 ± 37.48 |
| HDL (mg/mL) | 56.24 ± 38.54 |
| LDL (mg/mL) | 87.76 ± 34.85 |
| TG (mg/mL) | 124.83 ± 48.78 |
| Parameter | EAT Sample | Serum Sample | p-Value |
|---|---|---|---|
| Ela | 105.73 pg/mg tissue [26.80–766.10] | 252.00 pg/mL [188.75–445.00] | 0.012 * |
| AP-13 | 23.58 pg/mg tissue [3.26–123.38] | 62.70 pg/mL [24.60–78.46] | 0.575 |
| AP-17 | 40.00 pg/mg tissue [18.17–115.04] | 47.16 pg/mL [31.60–67.50] | 0.779 |
| APJ | 505.78 ng/mg tissue [213.59–1533.68] | 7.65 ng/mL [5.43–12.27] | <0.0001 * |
| Ela | AP-17 | APJ | |
|---|---|---|---|
| AUC (95%CI) | 0.855 (0.769–0.941) | 0.696 (0.586–0.807) | 0.980 (0.942–1.00) |
| p-value | <0.0001 * | <0.001 * | <0.0001 * |
| Cut-off point | 495.83 pg/mL | 49.50 pg/mL | 2.83 ng/mL |
| Sensitivity | 0.971 | 0.853 | 0.961 |
| Specificity | 0.765 | 0.569 | 0.971 |
Disclaimer/Publisher’s Note: The statements, opinions and data contained in all publications are solely those of the individual author(s) and contributor(s) and not of MDPI and/or the editor(s). MDPI and/or the editor(s) disclaim responsibility for any injury to people or property resulting from any ideas, methods, instructions or products referred to in the content. |
© 2025 by the authors. Licensee MDPI, Basel, Switzerland. This article is an open access article distributed under the terms and conditions of the Creative Commons Attribution (CC BY) license (https://creativecommons.org/licenses/by/4.0/).
Share and Cite
Rachwalik, M.; Leśków, A.; Matusiewicz, M.; Jama-Kmiecik, A.; Diakowska, D. Assessment of Levels of Apelinergic System Peptides in Serum and Epicardial Adipose Tissue in Patients with Multivessel Coronary Artery Disease Who Underwent Myocardial Revascularisation. Biomedicines 2025, 13, 809. https://doi.org/10.3390/biomedicines13040809
Rachwalik M, Leśków A, Matusiewicz M, Jama-Kmiecik A, Diakowska D. Assessment of Levels of Apelinergic System Peptides in Serum and Epicardial Adipose Tissue in Patients with Multivessel Coronary Artery Disease Who Underwent Myocardial Revascularisation. Biomedicines. 2025; 13(4):809. https://doi.org/10.3390/biomedicines13040809
Chicago/Turabian StyleRachwalik, Maciej, Anna Leśków, Małgorzata Matusiewicz, Agnieszka Jama-Kmiecik, and Dorota Diakowska. 2025. "Assessment of Levels of Apelinergic System Peptides in Serum and Epicardial Adipose Tissue in Patients with Multivessel Coronary Artery Disease Who Underwent Myocardial Revascularisation" Biomedicines 13, no. 4: 809. https://doi.org/10.3390/biomedicines13040809
APA StyleRachwalik, M., Leśków, A., Matusiewicz, M., Jama-Kmiecik, A., & Diakowska, D. (2025). Assessment of Levels of Apelinergic System Peptides in Serum and Epicardial Adipose Tissue in Patients with Multivessel Coronary Artery Disease Who Underwent Myocardial Revascularisation. Biomedicines, 13(4), 809. https://doi.org/10.3390/biomedicines13040809

