Long-Term Administration of BTH2 Hypoallergenic Vaccine Candidate Induces Hallmarks of Allergen Immunotherapy in Murine Model of Blomia tropicalis-Induced Asthma
Abstract
1. Introduction
2. Materials and Methods
2.1. Production and Quality Control of Blomia tropicalis Extract and Recombinant Allergens
2.2. Murine Model of Allergic Asthma Induced by Blomia tropicalis
2.3. Evaluation of Toxicological Effects
2.4. Cell Counts from Bronchoalveolar Lavage Fluid
2.5. EPO Activity in BALF and Lung Homogenates
2.6. Splenocyte Culture and Stimulation Index
2.7. Cytokine Quantification in Supernatants
2.8. Quantification of IgE, IgG1, IgG2a and IgA Antibodies
2.9. Evaluation of Blocking Antibodies
2.10. Statistical Analysis
3. Results
3.1. Repeated Administration of BTH2 Is Well Tolerated in Mice
3.2. BTH2 Attenuates BtE-Induced Pulmonary Inflammation
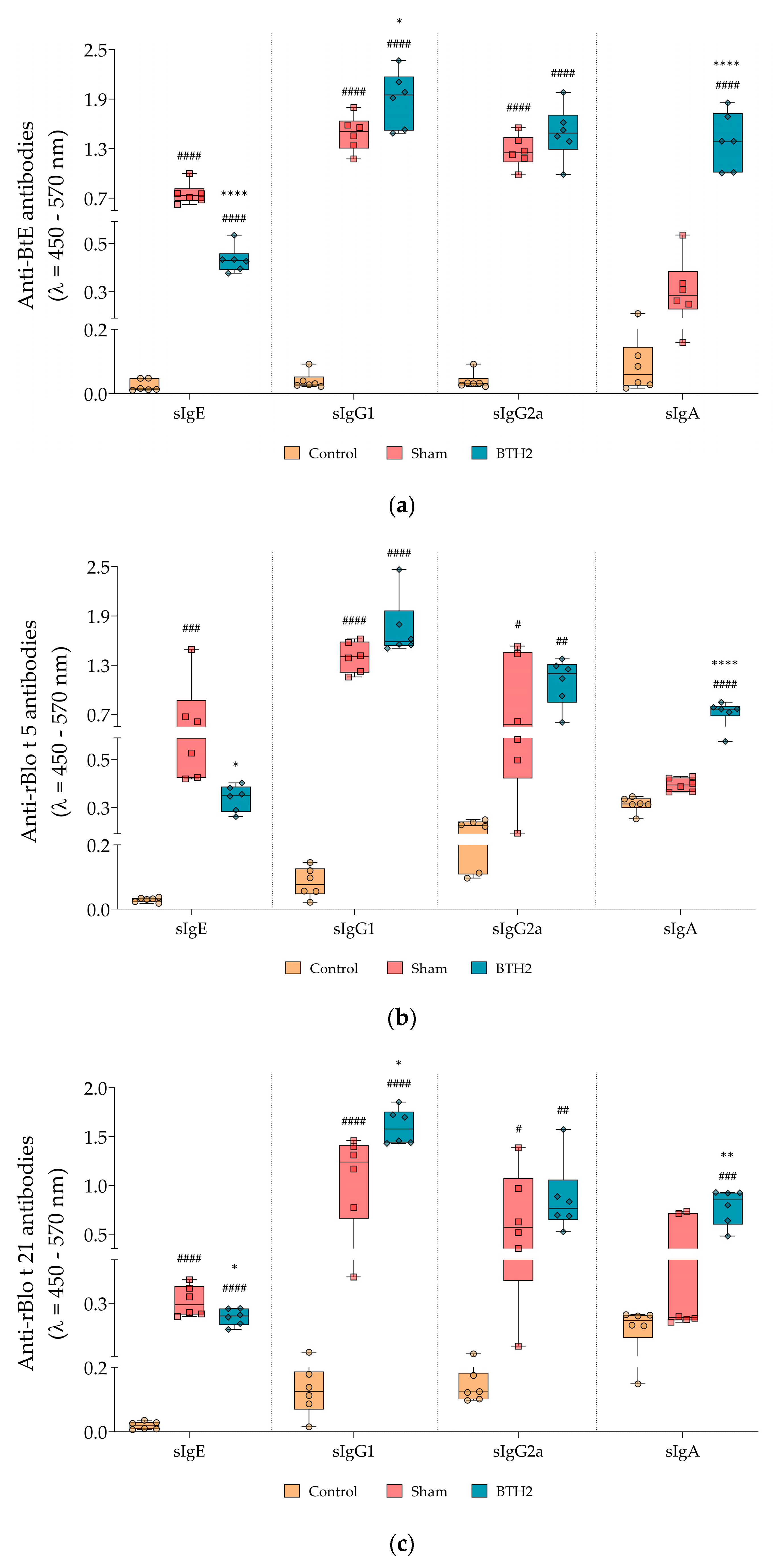
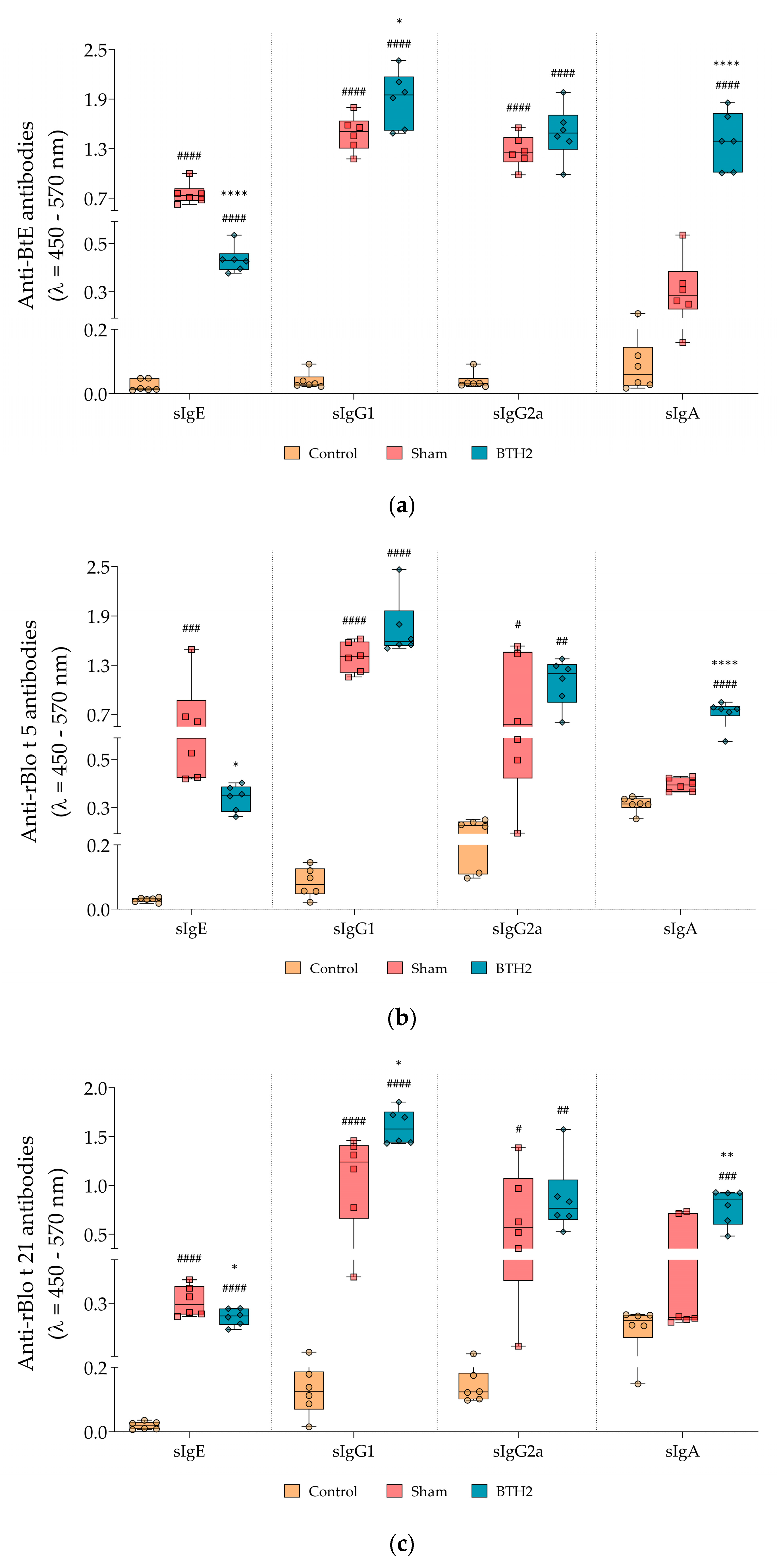
3.3. Long-Term Administration of BTH2 Promotes IgG and IgA Production and Suppresses sIgE Responses in Mice
3.4. Prolonged Subcutaneous Administration of BTH2 Induces Mucosal IgA and Elicits Systemic IgG-Dominated Responses, Which Blocks IgE–Allergen Interactions
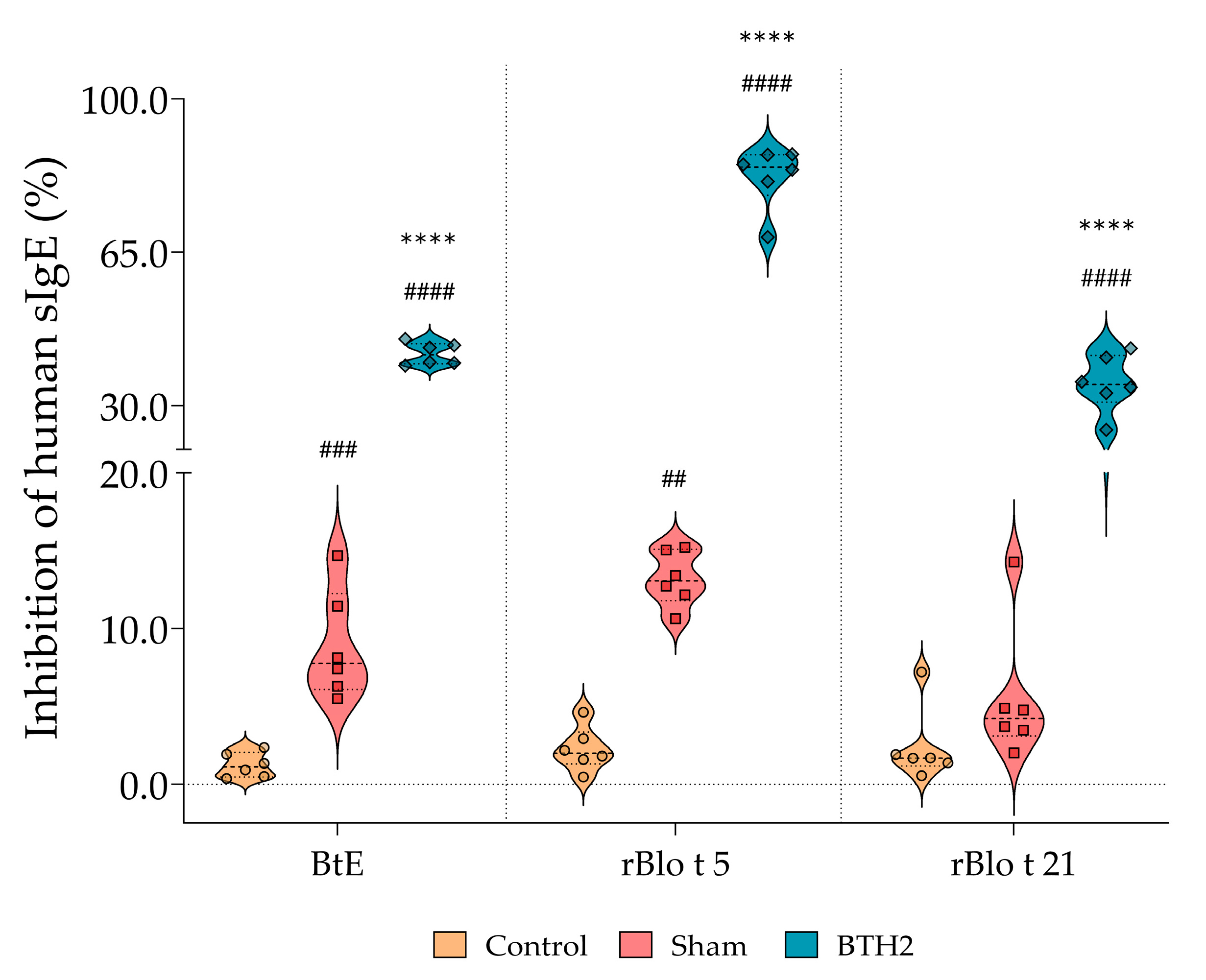
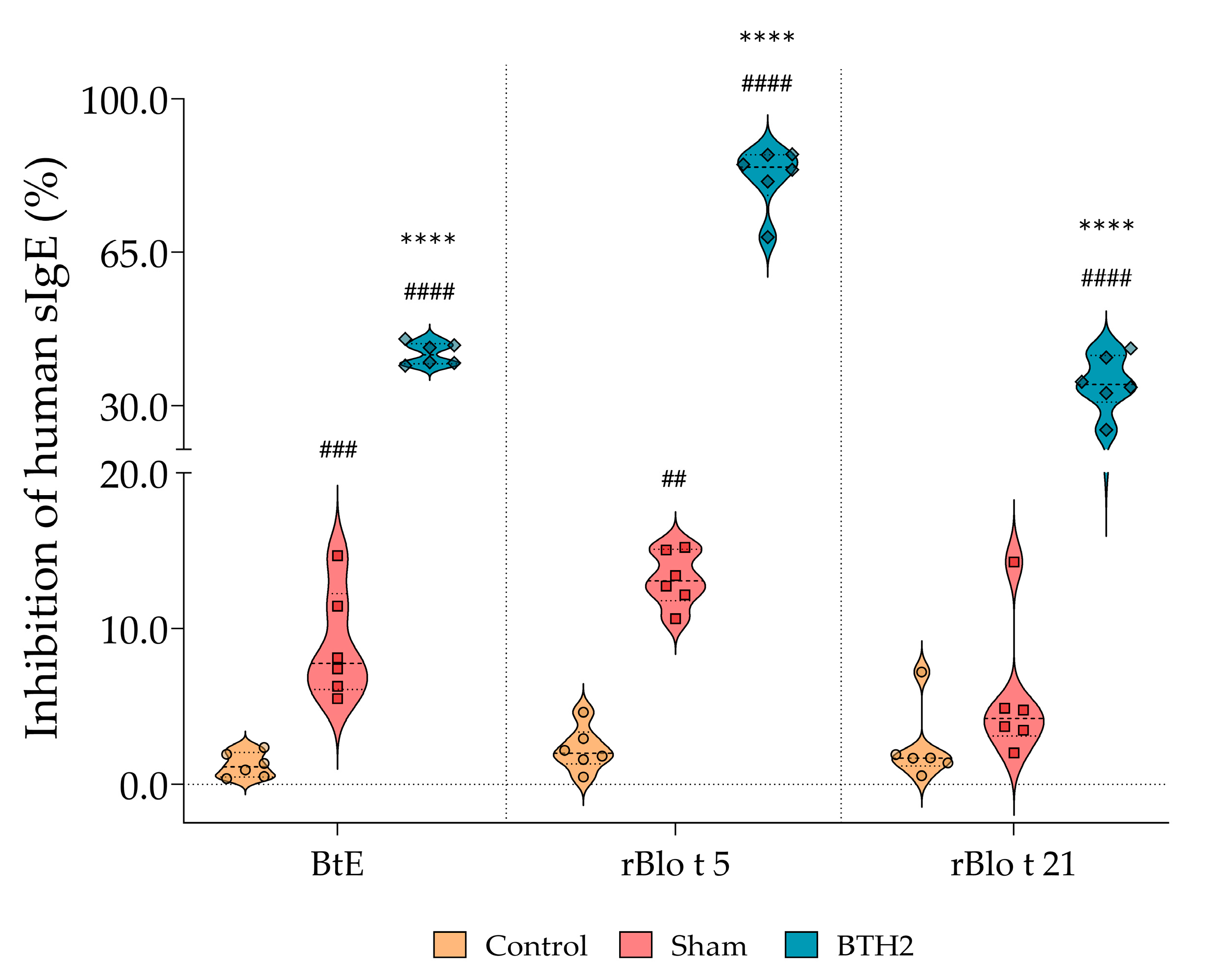
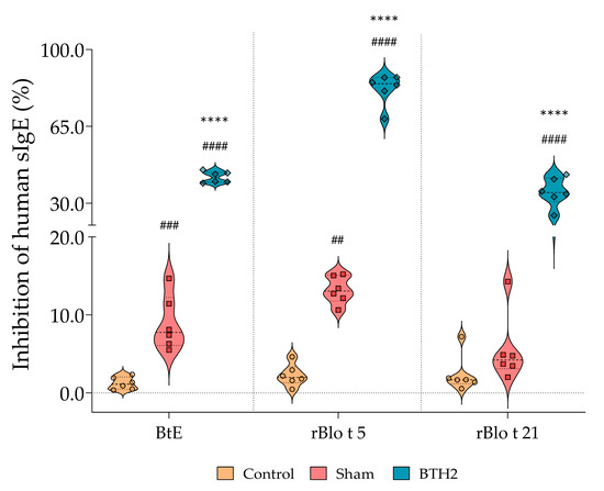
3.5. Repeated Subcutaneous Administration of BTH2 Induces Antibodies That Blocks IgE–Allergen Interactions
3.6. Treatment with Repeated Doses of BTH2 Downmodulates Th2 Cytokines and May Promote Th1-Biased and/or Regulatory Immune Responses
3.7. Correlation Matrix Analyses Support the Involvement of Cytokines in Key AIT Markers
4. Discussion
5. Conclusions
Supplementary Materials
Author Contributions
Funding
Institutional Review Board Statement
Informed Consent Statement
Data Availability Statement
Acknowledgments
Conflicts of Interest
References
- Greene, C.M.; Abdulkadir, M. Global respiratory health priorities at the beginning of the 21st century. Eur. Respir. Rev. 2024, 33, 230205. [Google Scholar] [CrossRef]
- Geddes, D. The history of respiratory disease management. Medicine 2020, 48, 239–243. [Google Scholar] [CrossRef]
- Wang, J.; Zhou, Y.; Zhang, H.; Hu, L.; Liu, J.; Wang, L.; Wang, T.; Zhang, H.; Cong, L.; Wang, Q. Pathogenesis of allergic diseases and implications for therapeutic interventions. Signal Transduct. Target. Ther. 2023, 8, 138. [Google Scholar] [CrossRef]
- Diseases, G.B.D.; Injuries, C. Global burden of 369 diseases and injuries in 204 countries and territories, 1990–2019: A systematic analysis for the Global Burden of Disease Study 2019. Lancet 2020, 396, 1204–1222. [Google Scholar] [CrossRef]
- Cruz, A.A.; Riley, J.H.; Bansal, A.T.; Ponte, E.V.; Souza-Machado, A.; Almeida, P.C.A.; Biao-Lima, V.; Davis, M.; Bates, S.; Adcock, I.M.; et al. Asthma similarities across ProAR (Brazil) and U-BIOPRED (Europe) adult cohorts of contrasting locations, ethnicity and socioeconomic status. Respir. Med. 2020, 161, 105817. [Google Scholar] [CrossRef]
- Cooper, P.J.; Figueiredo, C.A.; Rodriguez, A.; Dos Santos, L.M.; Ribeiro-Silva, R.C.; Carneiro, V.L.; Costa, G.; Magalhaes, T.; Dos Santos de Jesus, T.; Rios, R.; et al. Understanding and controlling asthma in Latin America: A review of recent research informed by the SCAALA programme. Clin. Transl. Allergy 2023, 13, e12232. [Google Scholar] [CrossRef] [PubMed]
- Garcia-Marcos, L.; Asher, M.I.; Pearce, N.; Ellwood, E.; Bissell, K.; Chiang, C.Y.; El Sony, A.; Ellwood, P.; Marks, G.B.; Mortimer, K.; et al. The burden of asthma, hay fever and eczema in children in 25 countries: GAN Phase I study. Eur. Respir. J. 2022, 60, 2102866. [Google Scholar] [CrossRef] [PubMed]
- Meghji, J.; Mortimer, K.; Agusti, A.; Allwood, B.W.; Asher, I.; Bateman, E.D.; Bissell, K.; Bolton, C.E.; Bush, A.; Celli, B.; et al. Improving lung health in low-income and middle-income countries: From challenges to solutions. Lancet 2021, 397, 928–940. [Google Scholar] [CrossRef]
- Soto-Martinez, M.E.; Yock-Corrales, A.; Camacho-Badilla, K.; Abdallah, S.; Duggan, N.; Avila-Benedictis, L.; Romero, J.J.; Soto-Quiros, M.E. The current prevalence of asthma, allergic rhinitis, and eczema related symptoms in school-aged children in Costa Rica. J. Asthma 2019, 56, 360–368. [Google Scholar] [CrossRef] [PubMed]
- Costa, E.; Caetano, R.; Werneck, G.L.; Bregman, M.; Araujo, D.V.; Rufino, R. Estimated cost of asthma in outpatient treatment: A real-world study. Rev. Saude Publica 2018, 52, 27. [Google Scholar] [CrossRef]
- Pinheiro, D.H.A.; Souza, J.V.H.; Justo, A.F.O.; Carvalho-Pinto, R.M.; Lima, F.F.; Carvalho, C.R.F. Asthma in the Brazilian Unified Health Care System: An epidemiological analysis from 2008 to 2021. J. Bras. Pneumol. 2024, 50, e20230364. [Google Scholar] [CrossRef] [PubMed]
- Brum, M.; Henz, J.; Boeira, M.; Soares, S.; Friedrich, F.; Pitrez, P.M. Recent increase in asthma mortality in Brazil: A warning sign for the public health system. J. Bras. Pneumol. 2024, 50, e20240138. [Google Scholar] [CrossRef]
- Sanyang, B.; Jagne, E.; Sefa, N.; Touray, S. Availability, cost, and affordability of asthma and chronic obstructive pulmonary disease medications in The Gambia. J. Pan Afr. Thorac. Soc. 2021, 2, 33–41. [Google Scholar] [CrossRef]
- Stolbrink, M.; Thomson, H.; Hadfield, R.M.; Ozoh, O.B.; Nantanda, R.; Jayasooriya, S.; Allwood, B.; Halpin, D.M.G.; Salvi, S.; de Oca, M.M.; et al. The availability, cost, and affordability of essential medicines for asthma and COPD in low-income and middle-income countries: A systematic review. Lancet Glob. Health 2022, 10, e1423–e1442. [Google Scholar] [CrossRef]
- Yuan, L.; Tao, J.; Wang, J.; She, W.; Zou, Y.; Li, R.; Ma, Y.; Sun, C.; Bi, S.; Wei, S.; et al. Global, regional, national burden of asthma from 1990 to 2021, with projections of incidence to 2050: A systematic analysis of the global burden of disease study 2021. eClinicalMedicine 2025, 80, 103051. [Google Scholar] [CrossRef] [PubMed]
- The Global Asthma Report 2022. Int. J. Tuberc. Lung Dis. 2022, 26, 1–104. [CrossRef] [PubMed]
- Pybus, H.J.; Dangarh, P.; Ng, M.Y.M.; Lloyd, C.M.; Saglani, S.; Tanaka, R.J. Mechanistic modelling of allergen-induced airways disease in early life. Sci. Rep. 2025, 15, 368. [Google Scholar] [CrossRef] [PubMed]
- Xie, C.; Yang, J.; Gul, A.; Li, Y.; Zhang, R.; Yalikun, M.; Lv, X.; Lin, Y.; Luo, Q.; Gao, H. Immunologic aspects of asthma: From molecular mechanisms to disease pathophysiology and clinical translation. Front. Immunol. 2024, 15, 1478624. [Google Scholar] [CrossRef] [PubMed]
- Gohal, G.; Moni, S.S.; Bakkari, M.A.; Elmobark, M.E. A Review on Asthma and Allergy: Current Understanding on Molecular Perspectives. J. Clin. Med. 2024, 13, 5775. [Google Scholar] [CrossRef]
- Tang, W.; Dong, M.; Teng, F.; Cui, J.; Zhu, X.; Wang, W.; Wuniqiemu, T.; Qin, J.; Yi, L.; Wang, S.; et al. Environmental allergens house dust mite-induced asthma is associated with ferroptosis in the lungs. Exp. Ther. Med. 2021, 22, 1483. [Google Scholar] [CrossRef]
- Jimenez-Feijoo, R.; Pascal, M.; Moya, R.; Riggioni, C.; Dominguez, O.; Lozano, J.; Alvaro-Lozano, M.; Piquert, M.; Machinena, A.; Folque, M.; et al. Molecular Diagnosis in House Dust Mite-Allergic Patients Suggests That Der p 23 Is Clinically Relevant in Asthmatic Children. J. Investig. Allergol. Clin. Immunol. 2020, 30, 127–132. [Google Scholar] [CrossRef]
- Indolfi, C.; Dinardo, G.; Klain, A.; Salvatori, A.; Esposito, M.; Vela, V.; Decimo, F.; Ciprandi, G.; Miraglia Del Giudice, M. Evaluation of Der p 10 in a Cohort of European Children: Role of Molecular Diagnostics and Clinical Features. J. Immunol. Res. 2023, 2023, 5551305. [Google Scholar] [CrossRef] [PubMed]
- Santos da Silva, E.; Asam, C.; Lackner, P.; Hofer, H.; Wallner, M.; Silva Pinheiro, C.; Alcantara-Neves, N.M.; Ferreira, F. Allergens of Blomia tropicalis: An Overview of Recombinant Molecules. Int. Arch. Allergy Immunol. 2017, 172, 203–214. [Google Scholar] [CrossRef] [PubMed]
- Souza, T.M.O.; Fernandes, J.S.; Santana, C.V.N.; Lessa, M.M.; Cruz, A.A. Aeroallergen sensitization patterns among patients with chronic rhinitis with or without concomitant asthma. Braz. J. Otorhinolaryngol. 2024, 90, 101351. [Google Scholar] [CrossRef] [PubMed]
- Pinheiro, C.S.; Silva, E.S.; de Andrade Belitardo, E.M.M.; Pacheco, L.G.C.; Aguiar, E.; Alcantara-Neves, N.M.; Gadermaier, G.; Ferreira, F. En route to personalized medicine: Uncovering distinct IgE reactivity pattern to house dust mite components in Brazilian and Austrian allergic patients. Clin. Transl. Allergy 2021, 11, e12004. [Google Scholar] [CrossRef]
- Caraballo, L.; Lockey, R.; Puerta, L.; Zakzuk, J.; Acevedo, N.; Fernandez-Caldas, E. Blomia tropicalis: A 50-Year History. J. Allergy Clin. Immunol. Pract. 2025, 13, 1289–1297. [Google Scholar] [CrossRef]
- Galvan, C.A.; Duran, R.; Galan, T.; Abel-Fernandez, E.; Canal-Solis, K.; Gonzalez-Perez, R.; Pineda, F. Patterns of IgE-mediated molecule sensitization across Four Peruvian Cities: Exploring Relationships with Regional Climate Classifications. Int. Arch. Allergy Immunol. 2025, 1–19. [Google Scholar] [CrossRef]
- Yasir, M.; Goyal, A.; Sonthalia, S. Corticosteroid Adverse Effects. In StatPearls; StatPearls Publishing: Treasure Island, FL, USA, 2025. [Google Scholar]
- Bleecker, E.R.; Al-Ahmad, M.; Bjermer, L.; Caminati, M.; Canonica, G.W.; Kaplan, A.; Papadopoulos, N.G.; Roche, N.; Ryan, D.; Tohda, Y.; et al. Systemic corticosteroids in asthma: A call to action from World Allergy Organization and Respiratory Effectiveness Group. World Allergy Organ. J. 2022, 15, 100726. [Google Scholar] [CrossRef]
- Maspero, J.F.; Cruz, A.A.; Beltran, C.F.P.; Ali Munive, A.; Montero-Arias, F.; Hernandez Pliego, R.; Farouk, H. The use of systemic corticosteroids in asthma management in Latin American countries. World Allergy Organ. J. 2023, 16, 100760. [Google Scholar] [CrossRef]
- Diamant, Z.; van Maaren, M.; Muraro, A.; Jesenak, M.; Striz, I. Allergen immunotherapy for allergic asthma: The future seems bright. Respir. Med. 2023, 210, 107125. [Google Scholar] [CrossRef]
- Durham, S.R.; Shamji, M.H. Allergen immunotherapy: Past, present and future. Nat. Rev. Immunol. 2023, 23, 317–328. [Google Scholar] [CrossRef]
- Sahiner, U.M.; Giovannini, M.; Escribese, M.M.; Paoletti, G.; Heffler, E.; Alvaro Lozano, M.; Barber, D.; Canonica, G.W.; Pfaar, O. Mechanisms of Allergen Immunotherapy and Potential Biomarkers for Clinical Evaluation. J. Pers. Med. 2023, 13, 845. [Google Scholar] [CrossRef]
- Fiala, S.; Fleit, H.B. Clinical and experimental treatment of allergic asthma with an emphasis on allergen immunotherapy and its mechanisms. Clin. Exp. Immunol. 2023, 212, 14–28. [Google Scholar] [CrossRef]
- Valenta, R.; Karaulov, A.; Niederberger, V.; Zhernov, Y.; Elisyutina, O.; Campana, R.; Focke-Tejkl, M.; Curin, M.; Namazova-Baranova, L.; Wang, J.Y.; et al. Allergen Extracts for In Vivo Diagnosis and Treatment of Allergy: Is There a Future? J. Allergy Clin. Immunol. Pract. 2018, 6, 1845–1855.e1842. [Google Scholar] [CrossRef]
- Lee, H.Y.; Lee, S.M.; Kang, S.Y.; Kim, K.; Kim, J.H.; Ryu, G.; Min, J.Y.; Park, K.H.; Park, S.Y.; Sung, M.; et al. KAAACI Guidelines for Allergen Immunotherapy. Allergy Asthma Immunol. Res. 2023, 15, 725–756. [Google Scholar] [CrossRef]
- Persaud, Y.; Memon, R.J.; Savliwala, M.N. Allergy Immunotherapy. In StatPearls; StatPearls Publishing: Treasure Island, FL, USA, 2025. [Google Scholar]
- Silva, E.S.D.; Pinheiro, C.S.; Pacheco, L.G.C.; Alcantara-Neves, N.M. Dermatophagoides spp. hypoallergens design: What has been achieved so far? Expert Opin. Ther. Pat. 2020, 30, 163–177. [Google Scholar] [CrossRef]
- Silva, E.S.; Pinheiro, C.S.; Quintella, C.M.; Ferreira, F.; LG, C.P.; Alcantara-Neves, N.M. Advances in patent applications related to allergen immunotherapy. Expert Opin. Ther. Pat. 2016, 26, 657–668. [Google Scholar] [CrossRef]
- Schulke, S.; Kuttich, K.; Wolfheimer, S.; Duschek, N.; Wangorsch, A.; Reuter, A.; Briza, P.; Pablos, I.; Gadermaier, G.; Ferreira, F.; et al. Conjugation of wildtype and hypoallergenic mugwort allergen Art v 1 to flagellin induces IL-10-DC and suppresses allergen-specific TH2-responses in vivo. Sci. Rep. 2017, 7, 11782. [Google Scholar] [CrossRef]
- Eichhorn, S.; Horschlager, A.; Steiner, M.; Laimer, J.; Jensen, B.M.; Versteeg, S.A.; Pablos, I.; Briza, P.; Jongejan, L.; Rigby, N.; et al. Rational Design, Structure-Activity Relationship, and Immunogenicity of Hypoallergenic Pru p 3 Variants. Mol. Nutr. Food Res. 2019, 63, e1900336. [Google Scholar] [CrossRef]
- Fernandes, A.M.S.; da Silva, E.S.; Silveira, E.F.; Belitardo, E.; Santiago, L.F.; Silva, R.C.; Dos Santos Alves, V.; Carneiro, D.M.; Ferreira, F.; Jacquet, A.; et al. Recombinant T-cell epitope conjugation: A new approach for Dermatophagoides hypoallergen design. Clin. Exp. Allergy 2023, 53, 198–209. [Google Scholar] [CrossRef]
- da Silva, E.S.; de Santana, M.B.R.; Silveira, E.F.; Torres, R.T.; Silva, R.C.; Fernandes, A.M.S.; Belitardo, E.; Garces, L.F.S.; Santiago, L.F.; Urrego, J.R.; et al. The hybrid protein BTH2 suppresses allergic airway inflammation in a murine model of HDM-specific immunotherapy. Clin. Exp. Allergy 2023, 53, 821–832. [Google Scholar] [CrossRef]
- da Silva, E.S.; Aglas, L.; Pinheiro, C.S.; de Andrade Belitardo, E.M.M.; Silveira, E.F.; Huber, S.; Torres, R.T.; Wallner, M.; Briza, P.; Lackner, P.; et al. A hybrid of two major Blomia tropicalis allergens as an allergy vaccine candidate. Clin. Exp. Allergy 2020, 50, 835–847. [Google Scholar] [CrossRef]
- Pichler, U.; Asam, C.; Weiss, R.; Isakovic, A.; Hauser, M.; Briza, P.; Ferreira, F.; Wallner, M. The fold variant BM4 is beneficial in a therapeutic Bet v 1 mouse model. Biomed. Res. Int. 2013, 2013, 832404. [Google Scholar] [CrossRef]
- Hofer, H.; Asam, C.; Hauser, M.; Nagl, B.; Laimer, J.; Himly, M.; Briza, P.; Ebner, C.; Lang, R.; Hawranek, T.; et al. Tackling Bet v 1 and associated food allergies with a single hybrid protein. J. Allergy Clin. Immunol. 2017, 140, 525–533.e510. [Google Scholar] [CrossRef]
- Rauber, M.M.; Mobs, C.; Campana, R.; Henning, R.; Schulze-Dasbeck, M.; Greene, B.; Focke-Tejkl, M.; Weber, M.; Valenta, R.; Pfutzner, W. Allergen immunotherapy with the hypoallergenic B-cell epitope-based vaccine BM32 modifies IL-10- and IL-5-secreting T cells. Allergy 2020, 75, 450–453. [Google Scholar] [CrossRef]
- Niederberger, V.; Neubauer, A.; Gevaert, P.; Zidarn, M.; Worm, M.; Aberer, W.; Malling, H.J.; Pfaar, O.; Klimek, L.; Pfutzner, W.; et al. Safety and efficacy of immunotherapy with the recombinant B-cell epitope-based grass pollen vaccine BM32. J. Allergy Clin. Immunol. 2018, 142, 497–509.e499. [Google Scholar] [CrossRef]
- Eckl-Dorna, J.; Weber, M.; Stanek, V.; Linhart, B.; Ristl, R.; Waltl, E.E.; Villazala-Merino, S.; Hummel, A.; Focke-Tejkl, M.; Froeschel, R.; et al. Two years of treatment with the recombinant grass pollen allergy vaccine BM32 induces a continuously increasing allergen-specific IgG(4) response. eBioMedicine 2019, 50, 421–432. [Google Scholar] [CrossRef]
- Santos, S.P.O.; Lisboa, A.B.P.; Silva, F.S.R.; Tiwari, S.; Azevedo, V.; Cruz, A.A.; Silva, E.S.; Pinheiro, C.S.; Alcantara-Neves, N.M.; Pacheco, L.G.C. Rationally designed hypoallergenic mutant variants of the house dust mite allergen Der p 21. Biochim. Biophys. Acta Gen. Subj. 2022, 1866, 130096. [Google Scholar] [CrossRef]
- Fernandes, A.M.S.; da Silva, E.S.; Silva, R.C.; Silveira, E.F.; Santiago, L.F.; de Andrade Belitardo, E.M.M.; Alves, V.D.S.; Boas, D.S.V.; de Freitas, L.A.R.; Ferreira, F.; et al. Therapeutic potential of a novel hybrid protein: Mitigating allergy and airway remodeling in chronic asthma models induced by Dermatophagoides pteronyssinus. Mol. Immunol. 2024, 175, 121–131. [Google Scholar] [CrossRef]
- Santos da Silva, E.; Marques Ponte, J.C.; Barbosa da Silva, M.; Silva Pinheiro, C.; Carvalho Pacheco, L.G.; Ferreira, F.; Briza, P.; Alcantara-Neves, N.M. Proteomic Analysis Reveals Allergen Variability among Breeds of the Dust Mite Blomia tropicalis. Int. Arch. Allergy Immunol. 2019, 180, 159–172. [Google Scholar] [CrossRef]
- Bradford, M.M. A rapid and sensitive method for the quantitation of microgram quantities of protein utilizing the principle of protein-dye binding. Anal. Biochem. 1976, 72, 248–254. [Google Scholar] [CrossRef]
- Kielkopf, C.L.; Bauer, W.; Urbatsch, I.L. Bradford Assay for Determining Protein Concentration. Cold Spring Harb. Protoc. 2020, 2020, 102269. [Google Scholar] [CrossRef]
- Alves, V.S.; Salazar-Garces, L.F.; Santiago, L.F.; Fonseca, P.L.C.; Fernandes, A.M.S.; Silva, R.C.; Souza, L.M.; Cunha, P.; Barbosa, M.F.C.; Aguiar, E.; et al. Identification of Glycycometus malaysiensis (for the first time in Brazil), Blomia tropicalis and Dermatophagoides pteronyssinus through multiplex PCR. Exp. Appl. Acarol. 2022, 86, 385–406. [Google Scholar] [CrossRef]
- da Silva, E.S.; Pacheco, L.G.C.; Fernandes, A.M.S.; Asam, C.; Silveira, E.F.; da Silva Pinheiro, C.; Alcantara-Neves, N.M. Purification and characterisation of the dimeric group 12 allergen from Blomia tropicalis heterologously expressed by Escherichia coli Top10F. Mol. Biol. Rep. 2021, 48, 3405–3416. [Google Scholar] [CrossRef]
- da Silva, E.S.; Huber, S.; Alcantara-Neves, N.M.; Asam, C.; Silveira, E.F.; de Andrade Belitardo, E.M.M.; Aglas, L.; Wallner, M.; Gadermaier, G.; Briza, P.; et al. N-terminal peptide deletion influences immunological and structural features of Blo t 5. Allergy 2020, 75, 1503–1507. [Google Scholar] [CrossRef]
- Schneider, C.A.; Rasband, W.S.; Eliceiri, K.W. NIH Image to ImageJ: 25 years of image analysis. Nat. Methods 2012, 9, 671–675. [Google Scholar] [CrossRef]
- Malyala, P.; Singh, M. Endotoxin limits in formulations for preclinical research. J. Pharm. Sci. 2008, 97, 2041–2044. [Google Scholar] [CrossRef]
- Brito, L.A.; Singh, M. Acceptable levels of endotoxin in vaccine formulations during preclinical research. J. Pharm. Sci. 2011, 100, 34–37. [Google Scholar] [CrossRef]
- Kumar, A. Evaluation of toxicological and behavioral symptoms on deltamethrin treated albino rats. MOJ Anat. Physiol. 2018, 5, 63–67. [Google Scholar] [CrossRef]
- Henning, R.; Neubauer, A.; Valenta, R. Study Protocol BM32; BIOMAY AG: Vienna, Austria, 2013. [Google Scholar]
- Gonzalez, Y.; Labrada, A.; Gonzalez, B.; Bada, A.M.; Mancebo, A.; Fuentes, D.; Leon, A.; Arteaga, M.E. Toxicity assay in repeated doses of Dermatophagoides siboney allergen extract in mice. Regul. Toxicol. Pharmacol. 2012, 63, 64–68. [Google Scholar] [CrossRef]
- Alves, C.L.S.; Santiago, L.F.; Santana, M.B.R.; Figueiredo, B.C.P.; Morais, S.B.; Oliveira, S.C.; Pacheco, L.G.C.; Alcantara-Neves, N.M.; Pinheiro, C.S. Immunomodulatory properties of Schistosoma mansoni proteins Sm200 and SmKI-1 in vitro and in a murine model of allergy to the mite Blomia tropicalis. Mol. Immunol. 2020, 124, 91–99. [Google Scholar] [CrossRef] [PubMed]
- Baqueiro, T.; Russo, M.; Silva, V.M.; Meirelles, T.; Oliveira, P.R.; Gomes, E.; Barboza, R.; Cerqueira-Lima, A.T.; Figueiredo, C.A.; Pontes-de-Carvalho, L.; et al. Respiratory allergy to Blomia tropicalis: Immune response in four syngeneic mouse strains and assessment of a low allergen-dose, short-term experimental model. Respir. Res. 2010, 11, 51. [Google Scholar] [CrossRef]
- Liu, Y.; Li, C.; Wu, Z.; Zhao, Y.; Yin, T.; Liu, X.; Hui, J.; Wang, Q.; Pan, Y.; Shan, Y.; et al. Self-assembled epitope-based nanoparticles targeting the SARS-CoV-2 spike protein enhanced the immune response and induced potential broad neutralizing activity. Front. Cell. Infect. Microbiol. 2025, 15, 1560330. [Google Scholar] [CrossRef] [PubMed]
- Kamprom, W.; Tangporncharoen, R.; Vongthaiwan, N.; Tragoonlugkana, P.; Phetfong, J.; Pruksapong, C.; Supokawej, A. Enhanced potent immunosuppression of intracellular adipose tissue-derived stem cell extract by priming with three-dimensional spheroid formation. Sci. Rep. 2024, 14, 9084. [Google Scholar] [CrossRef] [PubMed]
- Aglas, L.; Bethanis, A.; Chrusciel, P.; Stolz, F.; Gruen, M.; Jaakkola, U.M.; Jongejan, L.; Yatkin, E.; Van Ree, R. In vivo Induction of Functional Inhibitory IgG Antibodies by a Hypoallergenic Bet v 1 Variant. Front. Immunol. 2020, 11, 2118. [Google Scholar] [CrossRef]
- Banerjee, S.; Weber, M.; Blatt, K.; Swoboda, I.; Focke-Tejkl, M.; Valent, P.; Valenta, R.; Vrtala, S. Conversion of Der p 23, a new major house dust mite allergen, into a hypoallergenic vaccine. J. Immunol. 2014, 192, 4867–4875. [Google Scholar] [CrossRef]
- Martinez, D.; Cantillo, J.F.; Herazo, H.; Wortmann, J.; Keller, W.; Caraballo, L.; Puerta, L. Characterization of a hybrid protein designed with segments of allergens from Blomia tropicalis and Dermatophagoides pteronyssinus. Immunol. Lett. 2018, 196, 103–112. [Google Scholar] [CrossRef]
- Shamji, M.H.; Larson, D.; Eifan, A.; Scadding, G.W.; Qin, T.; Lawson, K.; Sever, M.L.; Macfarlane, E.; Layhadi, J.A.; Wurtzen, P.A.; et al. Differential induction of allergen-specific IgA responses following timothy grass subcutaneous and sublingual immunotherapy. J. Allergy Clin. Immunol. 2021, 148, 1061–1071.e1011. [Google Scholar] [CrossRef]
- Eguiluz-Gracia, I.; Parkin, R.V.; Layhadi, J.A.; Palmer, E.; Meng, X.; Zhu, R.; Sahiner, U.; Durham, S.R.; Torres, M.J.; Mayorga, C.; et al. Nasal allergen-neutralizing antibodies correlate closely with tolerated intranasal allergen challenge dose following grass pollen subcutaneous immunotherapy in patients with local allergic rhinitis. Allergy 2024, 79, 2197–2206. [Google Scholar] [CrossRef]
- Nikolov, G.; Todordova, Y.; Emilova, R.; Hristova, D.; Nikolova, M.; Petrunov, B. Allergen-Specific IgE and IgG4 as Biomarkers for Immunologic Changes during Subcutaneous Allergen Immunotherapy. Antibodies 2021, 10, 49. [Google Scholar] [CrossRef]
- Babayeva, M.; Tabynov, K.; Nurpeisov, T.; Fomin, G.; Renukaradhya, G.J.; Petrovsky, N.; Tabynov, K. A recombinant Artemisia vulgaris pollen adjuvanted Art v 1 protein-based vaccine treats allergic rhinitis and bronchial asthma using pre- and co-seasonal ultrashort immunotherapy regimens in sensitized mice. Front. Immunol. 2022, 13, 983621. [Google Scholar] [CrossRef]
- Hong, C.C.; Yao, S.; McCann, S.E.; Dolnick, R.Y.; Wallace, P.K.; Gong, Z.; Quan, L.; Lee, K.P.; Evans, S.S.; Repasky, E.A.; et al. Pretreatment levels of circulating Th1 and Th2 cytokines, and their ratios, are associated with ER-negative and triple negative breast cancers. Breast Cancer Res. Treat. 2013, 139, 477–488. [Google Scholar] [CrossRef]
- Silva-Santana, G.; Bax, J.C.; Fernandes, D.C.S.; Bacellar, D.T.L.; Hooper, C.; Dias, A.; Silva, C.B.; de Souza, A.M.; Ramos, S.; Santos, R.A.; et al. Clinical hematological and biochemical parameters in Swiss, BALB/c, C57BL/6 and B6D2F1 Mus musculus. Anim. Models Exp. Med. 2020, 3, 304–315. [Google Scholar] [CrossRef]
- Otto, G.P.; Rathkolb, B.; Oestereicher, M.A.; Lengger, C.J.; Moerth, C.; Micklich, K.; Fuchs, H.; Gailus-Durner, V.; Wolf, E.; Hrabe de Angelis, M. Clinical Chemistry Reference Intervals for C57BL/6J, C57BL/6N, and C3HeB/FeJ Mice (Mus musculus). J. Am. Assoc. Lab. Anim. Sci. 2016, 55, 375–386. [Google Scholar] [PubMed]
- Lee, H.Y.; Rhee, C.K.; Kang, J.Y.; Park, C.K.; Lee, S.Y.; Kwon, S.S.; Kim, Y.K.; Yoon, H.K. Effect of intranasal rosiglitazone on airway inflammation and remodeling in a murine model of chronic asthma. Korean J. Intern. Med. 2016, 31, 89–97. [Google Scholar] [CrossRef]
- Kang, H.S.; Rhee, C.K.; Lee, H.Y.; Yoon, H.K.; Kwon, S.S.; Lee, S.Y. Different anti-remodeling effect of nilotinib and fluticasone in a chronic asthma model. Korean J. Intern. Med. 2016, 31, 1150–1158. [Google Scholar] [CrossRef]
- Kumar, R.K.; Herbert, C.; Foster, P.S. The “classical” ovalbumin challenge model of asthma in mice. Curr. Drug Targets 2008, 9, 485–494. [Google Scholar] [CrossRef]
- Swirski, F.K.; D’Sa, A.; Kianpour, S.; Inman, M.D.; Stampfli, M.R. Prolonged ovalbumin exposure attenuates airway hyperresponsiveness and T cell function in mice. Int. Arch. Allergy Immunol. 2006, 141, 130–140. [Google Scholar] [CrossRef]
- Carroll, O.R.; Pillar, A.L.; Brown, A.C.; Feng, M.; Chen, H.; Donovan, C. Advances in respiratory physiology in mouse models of experimental asthma. Front. Physiol. 2023, 14, 1099719. [Google Scholar] [CrossRef]
- Triester, S.L.; Douglas, D.D. Development of macro-aspartate aminotransferase in a patient undergoing specific allergen injection immunotherapy. Am. J. Gastroenterol. 2005, 100, 243–245. [Google Scholar] [CrossRef]
- Tsai, C.H.; Lai, A.C.; Lin, Y.C.; Chi, P.Y.; Chen, Y.C.; Yang, Y.H.; Chen, C.H.; Shen, S.Y.; Hwang, T.L.; Su, M.W.; et al. Neutrophil extracellular trap production and CCL4L2 expression influence corticosteroid response in asthma. Sci. Transl. Med. 2023, 15, eadf3843. [Google Scholar] [CrossRef]
- Yamasaki, A.; Okazaki, R.; Harada, T. Neutrophils and Asthma. Diagnostics 2022, 12, 1175. [Google Scholar] [CrossRef] [PubMed]
- Hussain, M.; Liu, G. Eosinophilic Asthma: Pathophysiology and Therapeutic Horizons. Cells 2024, 13, 384. [Google Scholar] [CrossRef]
- Siddiqui, S.; Bachert, C.; Bjermer, L.; Buchheit, K.M.; Castro, M.; Qin, Y.; Rupani, H.; Sagara, H.; Howarth, P.; Taille, C. Eosinophils and tissue remodeling: Relevance to airway disease. J. Allergy Clin. Immunol. 2023, 152, 841–857. [Google Scholar] [CrossRef]
- Hammad, H.; Lambrecht, B.N. The basic immunology of asthma. Cell 2021, 184, 1469–1485. [Google Scholar] [CrossRef]
- Vissers, J.L.; van Esch, B.C.; Jeurink, P.V.; Hofman, G.A.; van Oosterhout, A.J. Stimulation of allergen-loaded macrophages by TLR9-ligand potentiates IL-10-mediated suppression of allergic airway inflammation in mice. Respir. Res. 2004, 5, 21. [Google Scholar] [CrossRef] [PubMed]
- Liu, J.; Xiao, X.; Liao, Y.; Xu, X.; Liu, Y.; Tang, A.; Zeng, X.; Yang, P. Allergen specific immunotherapy regulates macrophage property in the airways. Arch. Biochem. Biophys. 2024, 755, 109984. [Google Scholar] [CrossRef] [PubMed]
- Alberca-Custodio, R.W.; Faustino, L.D.; Gomes, E.; Nunes, F.P.B.; de Siqueira, M.K.; Labrada, A.; Almeida, R.R.; Camara, N.O.S.; da Fonseca, D.M.; Russo, M. Allergen-Specific Immunotherapy With Liposome Containing CpG-ODN in Murine Model of Asthma Relies on MyD88 Signaling in Dendritic Cells. Front. Immunol. 2020, 11, 692. [Google Scholar] [CrossRef]
- Matsuda, M.; Morie, Y.; Oze, H.; Doi, K.; Tsutsumi, T.; Hamaguchi, J.; Inaba, M.; Nabe, T. Phenotype analyses of IL-10-producing Foxp3(-) CD4(+) T cells increased by subcutaneous immunotherapy in allergic airway inflammation. Int. Immunopharmacol. 2018, 61, 297–305. [Google Scholar] [CrossRef]
- Boonpiyathad, T.; van de Veen, W.; Wirz, O.; Sokolowska, M.; Ruckert, B.; Tan, G.; Sangasapaviliya, A.; Pradubpongsa, P.; Fuengthong, R.; Thantiworasit, P.; et al. Role of Der p 1-specific B cells in immune tolerance during 2 years of house dust mite-specific immunotherapy. J. Allergy Clin. Immunol. 2019, 143, 1077–1086.e1010. [Google Scholar] [CrossRef] [PubMed]
- Boonpiyathad, T.; Sokolowska, M.; Morita, H.; Ruckert, B.; Kast, J.I.; Wawrzyniak, M.; Sangasapaviliya, A.; Pradubpongsa, P.; Fuengthong, R.; Thantiworasit, P.; et al. Der p 1-specific regulatory T-cell response during house dust mite allergen immunotherapy. Allergy 2019, 74, 976–985. [Google Scholar] [CrossRef]
- Pelaia, C.; Paoletti, G.; Puggioni, F.; Racca, F.; Pelaia, G.; Canonica, G.W.; Heffler, E. Interleukin-5 in the Pathophysiology of Severe Asthma. Front. Physiol. 2019, 10, 1514. [Google Scholar] [CrossRef]
- Xu, L.; Huang, X.; Chen, Z.; Yang, M.; Deng, J. Eosinophil peroxidase promotes bronchial epithelial cells to secrete asthma-related factors and induces the early stage of airway remodeling. Clin. Immunol. 2024, 263, 110228. [Google Scholar] [CrossRef]
- Wang, Z.; DiDonato, J.A.; Buffa, J.; Comhair, S.A.; Aronica, M.A.; Dweik, R.A.; Lee, N.A.; Lee, J.J.; Thomassen, M.J.; Kavuru, M.; et al. Eosinophil Peroxidase Catalyzed Protein Carbamylation Participates in Asthma. J. Biol. Chem. 2016, 291, 22118–22135. [Google Scholar] [CrossRef]
- Tang, M.; Charbit, A.R.; Johansson, M.W.; Jarjour, N.N.; Denlinger, L.C.; Raymond, W.W.; Peters, M.C.; Dunican, E.M.; Castro, M.; Sumino, K.; et al. Utility of eosinophil peroxidase as a biomarker of eosinophilic inflammation in asthma. J. Allergy Clin. Immunol. 2024, 154, 580–591.e586. [Google Scholar] [CrossRef]
- Bartholazzi, M.G.B.; Lodi, T.M.; Mello, E.S.; Carvalho, A.O.; Beirao, B.C.B.; Machado, O.L.T. Production of a Ric c3 hypo-allergen with no IgE binding or anaphylactogenic activity. Braz. J. Biol. 2024, 83, e274260. [Google Scholar] [CrossRef]
- Tabynov, K.; Tailakova, E.; Rakhmatullayeva, G.; Bolatbekov, T.; Lim, Y.H.; Fomin, G.; Babayeva, M.; Valenta, R.; Tabynov, K. Comparison of rArt v 1-based sublingual and subcutaneous immunotherapy in a murine model of asthma. NPJ Vaccines 2025, 10, 66. [Google Scholar] [CrossRef]
- Kulis, M.; Saba, K.; Kim, E.H.; Bird, J.A.; Kamilaris, N.; Vickery, B.P.; Staats, H.; Burks, A.W. Increased peanut-specific IgA levels in saliva correlate with food challenge outcomes after peanut sublingual immunotherapy. J. Allergy Clin. Immunol. 2012, 129, 1159–1162. [Google Scholar] [CrossRef]
- Pilette, C.; Nouri-Aria, K.T.; Jacobson, M.R.; Wilcock, L.K.; Detry, B.; Walker, S.M.; Francis, J.N.; Durham, S.R. Grass pollen immunotherapy induces an allergen-specific IgA2 antibody response associated with mucosal TGF-beta expression. J. Immunol. 2007, 178, 4658–4666. [Google Scholar] [CrossRef]
- Devine, A.; Raskopf, E.; Parkin, R.; Palmer, E.; Radtke, L.; Casanovas, M.; Cuevas, M.; Mösges, R.; Shamji, M. Induction of Allergen-Neutralizing IgG4 and IgA Blocking Antibodies Following Subcutaneous Immunotherapy with Mannan-Conjugated Birch Pollen Allergoid. J. Allergy Clin. Immunol. 2022, 149, AB72. [Google Scholar] [CrossRef]
- Tran, D.Q. TGF-beta: The sword, the wand, and the shield of FOXP3(+) regulatory T cells. J. Mol. Cell Biol. 2012, 4, 29–37. [Google Scholar] [CrossRef] [PubMed]
- Plichta, J.; Panek, M. Role of the TGF-beta cytokine and its gene polymorphisms in asthma etiopathogenesis. Front. Allergy 2025, 6, 1529071. [Google Scholar] [CrossRef] [PubMed]
- Jutel, M.; Akdis, M.; Budak, F.; Aebischer-Casaulta, C.; Wrzyszcz, M.; Blaser, K.; Akdis, C.A. IL-10 and TGF-beta cooperate in the regulatory T cell response to mucosal allergens in normal immunity and specific immunotherapy. Eur. J. Immunol. 2003, 33, 1205–1214. [Google Scholar] [CrossRef] [PubMed]
- Keskin, O.; Ozkars, M.Y.; Gogebakan, B.; Kucukosmanoglu, E.; Keskin, M.; Bayram, H. Exhaled TGF-beta1 levels before and after an exercise challenge in asthmatic and healthy children, and during exacerbation. J. Asthma 2021, 58, 316–325. [Google Scholar] [CrossRef]
- Kraik, K.; Tota, M.; Laska, J.; Lacwik, J.; Pazdzierz, L.; Sedek, L.; Gomulka, K. The Role of Transforming Growth Factor-beta (TGF-beta) in Asthma and Chronic Obstructive Pulmonary Disease (COPD). Cells 2024, 13, 1271. [Google Scholar] [CrossRef]
- Galli, S.J.; Tsai, M.; Piliponsky, A.M. The development of allergic inflammation. Nature 2008, 454, 445–454. [Google Scholar] [CrossRef]
- Nur Husna, S.M.; Md Shukri, N.; Tuan Sharif, S.E.; Tan, H.T.T.; Mohd Ashari, N.S.; Wong, K.K. IL-4/IL-13 Axis in Allergic Rhinitis: Elevated Serum Cytokines Levels and Inverse Association With Tight Junction Molecules Expression. Front. Mol. Biosci. 2022, 9, 819772. [Google Scholar] [CrossRef]
- Pelaia, C.; Heffler, E.; Crimi, C.; Maglio, A.; Vatrella, A.; Pelaia, G.; Canonica, G.W. Interleukins 4 and 13 in Asthma: Key Pathophysiologic Cytokines and Druggable Molecular Targets. Front. Pharmacol. 2022, 13, 851940. [Google Scholar] [CrossRef]
- Gandhi, N.A.; Pirozzi, G.; Graham, N.M.H. Commonality of the IL-4/IL-13 pathway in atopic diseases. Expert Rev. Clin. Immunol. 2017, 13, 425–437. [Google Scholar] [CrossRef]
- Campion, N.J.; Villazala-Merino, S.; Thwaites, R.S.; Stanek, V.; Killick, H.; Pertsinidou, E.; Zghaebi, M.; Toth, J.; Froschl, R.; Perkmann, T.; et al. Nasal IL-13 production identifies patients with late-phase allergic responses. J. Allergy Clin. Immunol. 2023, 152, 1167–1178.e1112. [Google Scholar] [CrossRef]
- Bachert, C.; Hicks, A.; Gane, S.; Peters, A.T.; Gevaert, P.; Nash, S.; Horowitz, J.E.; Sacks, H.; Jacob-Nara, J.A. The interleukin-4/interleukin-13 pathway in type 2 inflammation in chronic rhinosinusitis with nasal polyps. Front. Immunol. 2024, 15, 1356298. [Google Scholar] [CrossRef]
- Wang, H.R.; Wei, S.Z.; Song, X.Y.; Wang, Y.; Zhang, W.B.; Ren, C.; Mou, Y.K.; Song, X.C. IL-1β and Allergy: Focusing on Its Role in Allergic Rhinitis. Mediat. Inflamm. 2023, 2023, 1265449. [Google Scholar] [CrossRef] [PubMed]
- Han, M.W.; Kim, S.H.; Oh, I.; Kim, Y.H.; Lee, J. Serum IL-1beta can be a biomarker in children with severe persistent allergic rhinitis. Allergy Asthma Clin. Immunol. 2019, 15, 58. [Google Scholar] [CrossRef] [PubMed]
- Mahajan, B.; Vijayan, V.K.; Agarwal, M.K.; Bansal, S.K. Serum interleukin-1β as a marker for differentiation of asthma and chronic obstructive pulmonary disease. Biomarkers 2008, 13, 713–727. [Google Scholar] [CrossRef] [PubMed]
- Mahmutovic Persson, I.; Menzel, M.; Ramu, S.; Cerps, S.; Akbarshahi, H.; Uller, L. IL-1beta mediates lung neutrophilia and IL-33 expression in a mouse model of viral-induced asthma exacerbation. Respir. Res. 2018, 19, 16. [Google Scholar] [CrossRef]
- Burbank, A.J.; Schworer, S.A.; Sood, A.; Almond, M.; Chason, K.; Bean, N.; Zhou, H.; Hernandez, M.L. Airway IL-1beta associates with IL-5 production following dust mite allergen inhalation in humans. Respir. Res. 2021, 22, 309. [Google Scholar] [CrossRef]
- Ahmad, S.; Azid, N.A.; Boer, J.C.; Lim, J.; Chen, X.; Plebanski, M.; Mohamud, R. The Key Role of TNF-TNFR2 Interactions in the Modulation of Allergic Inflammation: A Review. Front. Immunol. 2018, 9, 2572. [Google Scholar] [CrossRef]
- Yang, S.; Wang, J.; Brand, D.D.; Zheng, S.G. Role of TNF-TNF Receptor 2 Signal in Regulatory T Cells and Its Therapeutic Implications. Front. Immunol. 2018, 9, 784. [Google Scholar] [CrossRef]
- Yang, S.; Xie, C.; Chen, Y.; Wang, J.; Chen, X.; Lu, Z.; June, R.R.; Zheng, S.G. Differential roles of TNFalpha-TNFR1 and TNFalpha-TNFR2 in the differentiation and function of CD4(+)Foxp3(+) induced Treg cells in vitro and in vivo periphery in autoimmune diseases. Cell Death Dis. 2019, 10, 27. [Google Scholar] [CrossRef]
- Teixeira, L.K.; Fonseca, B.P.; Barboza, B.A.; Viola, J.P. The role of interferon-gamma on immune and allergic responses. Mem. Inst. Oswaldo Cruz 2005, 100 (Suppl. 1), 137–144. [Google Scholar] [CrossRef]
- Huang, T.J.; MacAry, P.A.; Eynott, P.; Moussavi, A.; Daniel, K.C.; Askenase, P.W.; Kemeny, D.M.; Chung, K.F. Allergen-specific Th1 cells counteract efferent Th2 cell-dependent bronchial hyperresponsiveness and eosinophilic inflammation partly via IFN-gamma. J. Immunol. 2001, 166, 207–217. [Google Scholar] [CrossRef] [PubMed]
- Wallner, M.; Hauser, M.; Himly, M.; Zaborsky, N.; Mutschlechner, S.; Harrer, A.; Asam, C.; Pichler, U.; van Ree, R.; Briza, P.; et al. Reshaping the Bet v 1 fold modulates T(H) polarization. J. Allergy Clin. Immunol. 2011, 127, 1571–1578.e1579. [Google Scholar] [CrossRef] [PubMed]
- Aglas, L.; Tannert, L.K.; Versteeg, S.A.; Smith, S.A.; Bartko, E.A.; Wenger, M.; Kraiem, A.; Widauer, H.; Nunes, N.; Sinkunaite, S.; et al. Subcutaneous Allergen Immunotherapy With Hypoallergenic Bet v 1 Compared to Conventional Extract: Poorer Blocking Antibody Capacity Dominated by IgG(1) Instead of IgG(4). Allergy 2025, 80, 2018–2030. [Google Scholar] [CrossRef]
- Boonpiyathad, T.; Satitsuksanoa, P.; Akdis, M.; Akdis, C.A. Il-10 producing T and B cells in allergy. Semin. Immunol. 2019, 44, 101326. [Google Scholar] [CrossRef]
- Pavon-Romero, G.F.; Parra-Vargas, M.I.; Ramirez-Jimenez, F.; Melgoza-Ruiz, E.; Serrano-Perez, N.H.; Teran, L.M. Allergen Immunotherapy: Current and Future Trends. Cells 2022, 11, 212. [Google Scholar] [CrossRef]
- Kucuksezer, U.C.; Ozdemir, C.; Cevhertas, L.; Ogulur, I.; Akdis, M.; Akdis, C.A. Mechanisms of allergen-specific immunotherapy and allergen tolerance. Allergol. Int. 2020, 69, 549–560. [Google Scholar] [CrossRef] [PubMed]








| Parameter | Mean ± SD 1 | p-Values | 
|---|---|---|
| Alanine aminotransferase (U/L) 2 | ||
| Control | 63.05 ± 0.34 | -- | 
| Sham | 60.41 ± 9.77 | 0.9498 #. | 
| BTH2 | 60.23 ± 11.15 | 0.9429 #; 0.9997 *. | 
| Aspartate aminotransferase (U/L) 3 | ||
| Control | 148.21 ± 1.72 | -- | 
| Sham | 149.54 ± 4.29 | 0.9089 #. | 
| BTH2 | 96.05 ± 3.13 | 0.0011 #; 0.0010 *. | 
| Uric acid (mg/dL) 4 | ||
| Control | 4.26 ± 0.60 | -- | 
| Sham | 5.14 ± 1.17 | 0.5405 #. | 
| BTH2 | 3.20 ± 0.29 | 0.4433 #; 0.1575 *. | 
| Liver weight (mg) | ||
| Control | 994.72 ± 135.67 | -- | 
| Sham | 1035.12 ± 229.73 | 0.9071 #. | 
| BTH2 | 1157.92 ± 101.96 | 0.2362 #; 0.4265 *. | 
| Spleen weight (mg) | ||
| Control | 108.33 ± 33.35 | -- | 
| Sham | 126.78 ± 59.82 | 0.7326 #. | 
| BTH2 | 85.83 ± 23.49 | 0.6290 #; 0.2405 *. | 
| Kidneys weight (mg) | ||
| Control | 338.03 ± 21.83 | -- | 
| Sham | 293.83 ± 29.33 | 0.0757 #. | 
| BTH2 | 322.85 ± 42.15 | 0.6995 #; 0.2929 *. | 
| Lungs weight (mg) | ||
| Control | 53.50 ± 22.83 | -- | 
| Sham | 76.50 ± 44.40 | 0.4704 #. | 
| BTH2 | 62.33 ± 28.39 | 0.8901 #; 0.7441 *. | 
| Disclaimer/Publisher’s Note: The statements, opinions and data contained in all publications are solely those of the individual author(s) and contributor(s) and not of MDPI and/or the editor(s). MDPI and/or the editor(s) disclaim responsibility for any injury to people or property resulting from any ideas, methods, instructions or products referred to in the content. | 
© 2025 by the authors. Licensee MDPI, Basel, Switzerland. This article is an open access article distributed under the terms and conditions of the Creative Commons Attribution (CC BY) license (https://creativecommons.org/licenses/by/4.0/).
Share and Cite
da Silva, E.S.; Fernandes, A.M.S.; Silva, R.C.; de Souza, L.M.; Sousa, J.E.A.; Orrico-Ferreira, C.M.; Alcântara-Neves, N.M.; Pacheco, L.G.C.; Pinheiro, C.d.S. Long-Term Administration of BTH2 Hypoallergenic Vaccine Candidate Induces Hallmarks of Allergen Immunotherapy in Murine Model of Blomia tropicalis-Induced Asthma. Biomedicines 2025, 13, 2657. https://doi.org/10.3390/biomedicines13112657
da Silva ES, Fernandes AMS, Silva RC, de Souza LM, Sousa JEA, Orrico-Ferreira CM, Alcântara-Neves NM, Pacheco LGC, Pinheiro CdS. Long-Term Administration of BTH2 Hypoallergenic Vaccine Candidate Induces Hallmarks of Allergen Immunotherapy in Murine Model of Blomia tropicalis-Induced Asthma. Biomedicines. 2025; 13(11):2657. https://doi.org/10.3390/biomedicines13112657
Chicago/Turabian Styleda Silva, Eduardo Santos, Antônio Márcio Santana Fernandes, Raphael Chagas Silva, Lorena Miranda de Souza, Jennifer Emily Anunciação Sousa, Carolina Melo Orrico-Ferreira, Neuza Maria Alcântara-Neves, Luis Gustavo Carvalho Pacheco, and Carina da Silva Pinheiro. 2025. "Long-Term Administration of BTH2 Hypoallergenic Vaccine Candidate Induces Hallmarks of Allergen Immunotherapy in Murine Model of Blomia tropicalis-Induced Asthma" Biomedicines 13, no. 11: 2657. https://doi.org/10.3390/biomedicines13112657
APA Styleda Silva, E. S., Fernandes, A. M. S., Silva, R. C., de Souza, L. M., Sousa, J. E. A., Orrico-Ferreira, C. M., Alcântara-Neves, N. M., Pacheco, L. G. C., & Pinheiro, C. d. S. (2025). Long-Term Administration of BTH2 Hypoallergenic Vaccine Candidate Induces Hallmarks of Allergen Immunotherapy in Murine Model of Blomia tropicalis-Induced Asthma. Biomedicines, 13(11), 2657. https://doi.org/10.3390/biomedicines13112657
 
        





 
                         
       