Valvular Heart Disease in Non-Valvular Heart Failure Continuum: The Role of Cardiopulmonary Exercise Testing
Abstract
1. Introduction
2. Materials and Methods
2.1. Setting
2.2. Sample
2.3. Data Collection
2.4. Statistical Analysis
3. Results
3.1. Most Common Valvular Diseases in Patients with DCM vs. Patients with CAD-HF
3.2. Comparison of Valvular Disease Patterns in DCM Patients with HFpEF/HFmrEF Versus Those with HFrEF
3.3. Comparison of Valvular Disease Patterns in CAD-HF Patients with HFpEF/HFmrEF Versus Those with HFrEF
3.4. Correlation of CPET with Most Valvular Diseases in Patients with DCM and CAD-HF
3.5. Univariate and Multivariable Logistic Regression Analysis
4. Discussion
Strengths and Limitations of the Study
5. Conclusions
Author Contributions
Funding
Informed Consent Statement
Data Availability Statement
Conflicts of Interest
Abbreviations
| AFIB | Atrial fibrillation |
| AR | Aortic regurgitation |
| AS | Aortic stenosis |
| CAD-HF | Coronary artery disease-related HF |
| CI | Confidence interval |
| COPD | Chronic obstructive pulmonary disease |
| CPET | Cardiopulmonary exercise testing |
| DCM | Dilated cardiomyopathy |
| HF | Heart failure |
| HFmrEF | Heart failure mildly reduced ejection fraction |
| HFpEF | Heart failure preserved ejection fraction |
| HFrEF | Heart failure reduced ejection fraction |
| HR | Heart rate |
| METs | Metabolic equivalents |
| MR | Mitral regurgitation |
| MS | Mitral stenosis |
| OR | Odds ratio |
| OUES | Oxygen uptake efficiency slope |
| PETCO2 | End-tidal carbon dioxide pressure |
| PR | Pulmonary regurgitation |
| PS | Pulmonary stenosis |
| TR | Tricuspid regurgitation |
| TS | Tricuspid stenosis |
| VHD | Valvular heart disease |
| VO2max | Maximal oxygen uptake |
References
- Podlesnikar, T.; Delgado, V.; Bax, J.J. Imaging of Valvular Heart Disease in Heart Failure. Card. Fail. Rev. 2018, 4, 78–86. [Google Scholar] [CrossRef] [PubMed]
- Benfari, G.; Antoine, C.; Essayagh, B.; Batista, R.; Maalouf, J.; Rossi, A.; Grigioni, F.; Thapa, P.; Michelena, H.I.; Enriquez-Sarano, M. Functional Mitral Regurgitation Outcome and Grading in Heart Failure with Reduced Ejection Fraction. JACC Cardiovasc. Imaging 2021, 14, 2303–2315. [Google Scholar] [CrossRef] [PubMed]
- Iliakis, P.; Dimitriadis, K.; Pyrpyris, N.; Beneki, E.; Theofilis, P.; Tsioufis, P.; Kamperidis, V.; Aznaouridis, K.; Aggeli, K.; Tsioufis, K. Atrial Functional Mitral Regurgitation: From Diagnosis to Current Interventional Therapies. J. Clin. Med. 2024, 13, 5035. [Google Scholar] [CrossRef]
- Baldus, S.; Doenst, T.; Pfister, R.; Gummert, J.; Kessler, M.; Boekstegers, P.; Lubos, E.; Schröder, J.; Thiele, H.; Walther, T.; et al. Transcatheter Repair versus Mitral-Valve Surgery for Secondary Mitral Regurgitation. N. Engl. J. Med. 2024, 391, 1787–1798. [Google Scholar] [CrossRef]
- Stone, G.W.; Lindenfeld, J.; Abraham, W.T.; Kar, S.; Lim, D.S.; Mishell, J.M.; Whisenant, B.; Grayburn, P.A.; Rinaldi, M.; Kapadia, S.R.; et al. Transcatheter Mitral-Valve Repair in Patients with Heart Failure. N. Engl. J. Med. 2018, 379, 2307–2318. [Google Scholar] [CrossRef]
- Sorajja, P.; Whisenant, B.; Hamid, N.; Naik, H.; Makkar, R.; Tadros, P.; Price, M.J.; Singh, G.; Fam, N.; Kar, S.; et al. Transcatheter Repair for Patients with Tricuspid Regurgitation. N. Engl. J. Med. 2023, 388, 1833–1842. [Google Scholar] [CrossRef]
- Dimitriadis, K.; Pyrpyris, N.; Aznaouridis, K.; Iliakis, P.; Valatsou, A.; Tsioufis, P.; Beneki, E.; Mantzouranis, E.; Aggeli, K.; Tsiamis, E.; et al. Transcatheter Tricuspid Valve Interventions: A Triumph for Transcatheter Procedures? Life 2023, 13, 1417. [Google Scholar] [CrossRef]
- Corrà, U.; Piepoli, M.F.; Adamopoulos, S.; Agostoni, P.; Coats, A.J.S.; Conraads, V.; Lambrinou, E.; Pieske, B.; Piotrowicz, E.; Schmid, J.-P.; et al. Cardiopulmonary Exercise Testing in Systolic Heart Failure in 2014: The Evolving Prognostic Role: A Position Paper from the Committee on Exercise Physiology and Training of the Heart Failure Association of the ESC. Eur. J. Heart Fail 2014, 16, 929–941. [Google Scholar] [CrossRef]
- Cumitini, L.; Giubertoni, A.; Patti, G. The Usefulness of Cardiopulmonary Exercise Testing to Detect Functional Improvement after Transcatheter Valve Procedures: What Do We Know So Far? Rev. Cardiovasc. Med. 2024, 25, 336. [Google Scholar] [CrossRef]
- Dunlay, S.M.; Roger, V.L.; Killian, J.M.; Weston, S.A.; Schulte, P.J.; Subramaniam, A.V.; Blecker, S.B.; Redfield, M.M. Advanced Heart Failure Epidemiology and Outcomes. JACC Heart Fail. 2021, 9, 722–732. [Google Scholar] [CrossRef]
- Lala, A.; Shah, K.B.; Lanfear, D.E.; Thibodeau, J.T.; Palardy, M.; Ambardekar, A.V.; McNamara, D.M.; Taddei-Peters, W.C.; Baldwin, J.T.; Jeffries, N.; et al. Predictive Value of Cardiopulmonary Exercise Testing Parameters in Ambulatory Advanced Heart Failure. JACC Heart Fail. 2021, 9, 226–236. [Google Scholar] [CrossRef]
- Aluru, J.S.; Barsouk, A.; Saginala, K.; Rawla, P.; Barsouk, A. Valvular Heart Disease Epidemiology. Med. Sci. 2022, 10, 32. [Google Scholar] [CrossRef] [PubMed]
- Zhang, S.; Liu, C.; Zhang, Y.; Wu, Z.; Feng, K.; Lai, Y.; Pei, J.; Guan, T. Different Heart Failure Phenotypes of Valvular Heart Disease: The Role of Mitochondrial Dysfunction. Front. Cardiovasc. Med. 2023, 10, 1135938. [Google Scholar] [CrossRef] [PubMed]
- Eveborn, G.W.; Schirmer, H.; Heggelund, G.; Lunde, P.; Rasmussen, K. The Evolving Epidemiology of Valvular Aortic Stenosis. the Tromsø Study. Heart 2013, 99, 396–400. [Google Scholar] [CrossRef] [PubMed]
- Krishnaswamy, A.; Marc Gillinov, A.; Griffin, B.P. Ischemic Mitral Regurgitation: Pathophysiology, Diagnosis, and Treatment. Coron. Artery Dis. 2011, 22, 359–370. [Google Scholar] [CrossRef]
- McAllister, R.G.; Friesinger, G.C.; Sinclair-Smith, B.C. Tricuspid Regurgitation Following Inferior Myocardial Infarction. Arch. Intern. Med. 1976, 136, 95–99. [Google Scholar] [CrossRef]
- Buber, J.; Robertson, H.T. Cardiopulmonary Exercise Testing for Heart Failure: Pathophysiology and Predictive Markers. Heart 2023, 109, 256–263. [Google Scholar] [CrossRef]
- Malhotra, R.; Bakken, K.; D’Elia, E.; Lewis, G.D. Cardiopulmonary Exercise Testing in Heart Failure. JACC Heart Fail. 2016, 4, 607–616. [Google Scholar] [CrossRef]
- Coisne, A.; Aghezzaf, S.; Galli, E.; Mouton, S.; Richardson, M.; Dubois, D.; Delsart, P.; Domanski, O.; Bauters, C.; Charton, M.; et al. Prognostic Values of Exercise Echocardiography and Cardiopulmonary Exercise Testing in Patients with Primary Mitral Regurgitation. Eur. Heart J. Cardiovasc. Imaging 2022, 23, 1552–1561. [Google Scholar] [CrossRef]
- Lau, D.H.; Shenasa, H.A.; Shenasa, M. Hypertension, Prehypertension, Hypertensive Heart Disease, and Atrial Fibrillation. Card. Electrophysiol. Clin. 2021, 13, 37–45. [Google Scholar] [CrossRef]
- Si, J.; Ding, Z.; Chen, X.; Bai, L.; Sun, Y.; Zhang, X.; Zhang, Y.; Xia, Y.; Liu, Y. Effects of Rhythm Control for Atrial Fibrillation on Cardiac Remodeling and Valvular Regurgitation in Patients with Heart Failure. Cardiovasc. Drugs Ther. 2025, 39, 85–96. [Google Scholar] [CrossRef]
- Papakonstantinou, P.E.; Rivera-Caravaca, J.M.; Chiarito, M.; Ehrlinder, H.; Iliakis, P.; Gąsecka, A.; Romiti, G.F.; Parker, W.A.E.; Lip, G.Y.H. Atrial Fibrillation versus Atrial Myopathy in Thrombogenesis: Two Sides of the Same Coin? Trends Cardiovasc. Med. 2025, 35, 271–281. [Google Scholar] [CrossRef]




| DCM (n = 101) | CAD-HF (n = 195) | Other (n = 65) | p-Value | |
|---|---|---|---|---|
| HFrEF, n (%) | 68 (67.3%) | 140 (71.8%) | 43 (66.2%) | 0.6 |
| HFmrEF, n (%) | 9 (8.9%) | 15 (7.7%) | 6 (9.2%) | 0.9 |
| HFpEF, n (%) | 24 (23.8%) | 40 (20.5%) | 16 (24.6%) | 0.6 |
| Age (mean ± SD) | 72 ± 4 | 73 ± 2 | 69 ± 5 | 0.04 |
| Female, n (%) | 28 (27.7%) | 43 (22.1%) | 16 (24.6%) | 0.5 |
| Male, n (%) | 73 (72.3%) | 152 (77.9%) | 49 (75.4%) | 0.5 |
| DM, n (%) | 28 (27.7%) | 79 (40.5%) | 13 (20%) | 0.03 |
| Hypertension, n (%) | 30 (29.7%) | 146 (74.9%) | 50 (76.9%) | 0.001 |
| Dyslipidemia, n (%) | 20 (19.8%) | 140 (71.8%) | 40 (61.5%) | 0.001 |
| AF, n (%) | 27 (26.7%) | 43 (22.1%) | 19 (29.2%) | 0.3 |
| COPD, n (%) | 13 (12.9%) | 35 (17.9%) | 8 (12.3%) | 0.4 |
| DCM (n = 101) | CAD-HF (n = 195) | OTHER (n = 65) | p-Value | |
|---|---|---|---|---|
| Mild AR, n (%) | 15 (14.9%) | 46 (23.6%) | 14 (21.5%) | 0.2 |
| Moderate AR, n (%) | 5 (5%) | 11 (5.6%) | 1 (1.5%) | 0.3 |
| Severe AR, n (%) | 0 | 0 | 0 | |
| Mild MR, n (%) | 57 (56.4%) | 115 (59%) | 38 (58.5%) | 0.8 |
| Moderate MR, n (%) | 18 (17.8%) | 40 (20.5%) | 6 (9.2%) | 0.1 |
| Severe MR, n (%) | 1 (1%) | 1 (0.5%) | 0 | 0.6 |
| Mild TR, n (%) | 32 (32%) | 79 (40.5%) | 27 (41.5%) | 0.6 |
| Moderate TR, n (%) | 8 (8%) | 17 (8.7%) | 4 (6.2%) | 0.4 |
| Severe TR, n (%) | 5 (5%) | 9 (4.7%) | 1 (1.5%) | 0.5 |
| Mild PR, n (%) | 0 | 2 (1%) | 0 | 0.2 |
| Moderate PR, n (%) | 0 | 0 | 0 | |
| Severe PR, n (%) | 0 | 0 | 0 | |
| Mild AS, n (%) | 0 | 4 (2.1%) | 2 (3.1%) | 0.06 |
| Moderate AS, n (%) | 0 | 5 (2.6%) | 4 (6.2%) | 0.05 |
| Severe AS, n (%) | 0 | 0 | 0 | |
| Mild MS, n (%) | 0 | 2 (1%) | 1 (1.5%) | 0.56 |
| Moderate MS, n (%) | 0 | 0 | 0 | |
| Severe MS, n (%) | 0 | 0 | 0 | |
| Mild TS, n (%) | 0 | 0 | 0 | |
| Moderate TS, n (%) | 0 | 0 | 0 | |
| Severe TS, n (%) | 0 | 0 | 0 | |
| Mild PS, n (%) | 0 | 0 | 0 | |
| Moderate PS, n (%) | 0 | 0 | 0 | |
| Severe PS, n (%) | 0 | 0 | 0 |
| DCM (n = 19) | CAD-HF (n = 22) | (n = 41) | |
|---|---|---|---|
| Mild AR, n (%) | 5 (26.3%) | 3 (13.6%) | 8 |
| Moderate AR, n (%) | 1 (5.3%) | 0 | 1 |
| Severe AR, n (%) | 0 | 0 | 0 |
| Mild MR, n (%) | 9 (47.4%) | 16 (72.7%) | 25 |
| Moderate MR, n (%) | 3 (15.8%) | 1 (4.5%) | 4 |
| Severe MR, n (%) | 1 (5.3%) | 0 | 1 |
| Mild TR, n (%) | 6 (31.6%) | 9 (40.9%) | 15 |
| Univariate Analysis | Multivariate Analysis | |||||||
|---|---|---|---|---|---|---|---|---|
| OR | 95% C.I. | OR | 95% C.I. | |||||
| Lower | Upper | p-Value | Lower | Upper | p-Value | |||
| Gender | 1.00 | 0.96 | 1.023 | 0.826 | ||||
| Age | 1.00 | 0.993 | 1.009 | 0.8 | ||||
| Diabetes Mellitus | 1.322 | 0.770 | 2.255 | 0.306 | ||||
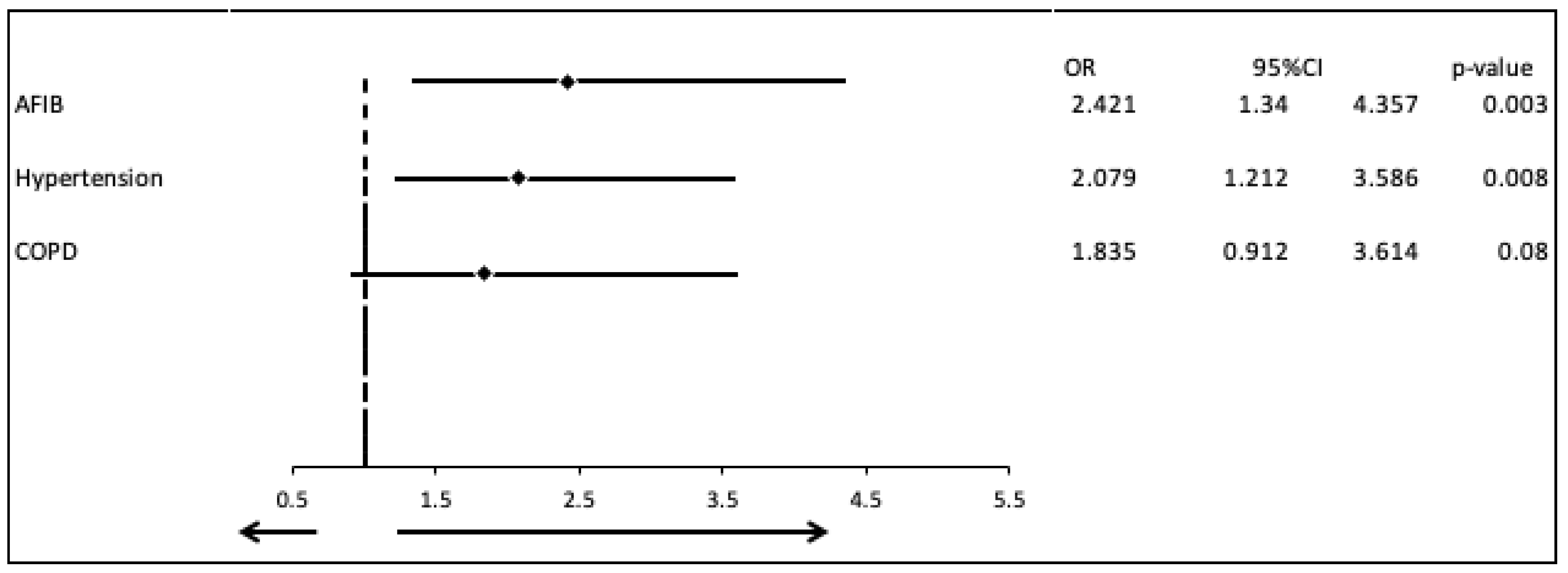
| Hypertension | 2.118 | 1.249 | 3.609 | 0.005 | 2.079 | 1.212 | 3.586 | 0.00801 |
| Dyslipidemia | 0.809 | 0.480 | 1.367 | 0.429 | ||||
| COPD | 1.747 | 0.888 | 3.350 | 0.097 | 1.835 | 0.912 | 3.614 | 0.08229 |
| Atrial Fibrillation | 2.458 | 1.378 | 4.364 | 0.002 | 2.421 | 1.340 | 4.357 | 0.00318 |
Disclaimer/Publisher’s Note: The statements, opinions and data contained in all publications are solely those of the individual author(s) and contributor(s) and not of MDPI and/or the editor(s). MDPI and/or the editor(s) disclaim responsibility for any injury to people or property resulting from any ideas, methods, instructions or products referred to in the content. |
© 2025 by the authors. Licensee MDPI, Basel, Switzerland. This article is an open access article distributed under the terms and conditions of the Creative Commons Attribution (CC BY) license (https://creativecommons.org/licenses/by/4.0/).
Share and Cite
Mavromoustakou, K.; Botis, M.; Iliakis, P.; Leontsinis, I.; Xydis, P.; Dimitriadis, K.; Chrysohoou, C.; Tsioufis, K. Valvular Heart Disease in Non-Valvular Heart Failure Continuum: The Role of Cardiopulmonary Exercise Testing. Biomedicines 2025, 13, 2415. https://doi.org/10.3390/biomedicines13102415
Mavromoustakou K, Botis M, Iliakis P, Leontsinis I, Xydis P, Dimitriadis K, Chrysohoou C, Tsioufis K. Valvular Heart Disease in Non-Valvular Heart Failure Continuum: The Role of Cardiopulmonary Exercise Testing. Biomedicines. 2025; 13(10):2415. https://doi.org/10.3390/biomedicines13102415
Chicago/Turabian StyleMavromoustakou, Kiriaki, Michail Botis, Panagiotis Iliakis, Ioannis Leontsinis, Panagiotis Xydis, Kyriakos Dimitriadis, Christina Chrysohoou, and Konstantinos Tsioufis. 2025. "Valvular Heart Disease in Non-Valvular Heart Failure Continuum: The Role of Cardiopulmonary Exercise Testing" Biomedicines 13, no. 10: 2415. https://doi.org/10.3390/biomedicines13102415
APA StyleMavromoustakou, K., Botis, M., Iliakis, P., Leontsinis, I., Xydis, P., Dimitriadis, K., Chrysohoou, C., & Tsioufis, K. (2025). Valvular Heart Disease in Non-Valvular Heart Failure Continuum: The Role of Cardiopulmonary Exercise Testing. Biomedicines, 13(10), 2415. https://doi.org/10.3390/biomedicines13102415

