Evidence of Inflammatory Network Disruption in Chronic Venous Disease: An Analysis of Circulating Cytokines and Chemokines
Abstract
1. Introduction
2. Patients and Methods
2.1. Study Design
2.2. Cytokine Determination
2.3. Statistical Analysis
2.3.1. Descriptive Section
2.3.2. Correlation Analysis
3. Results
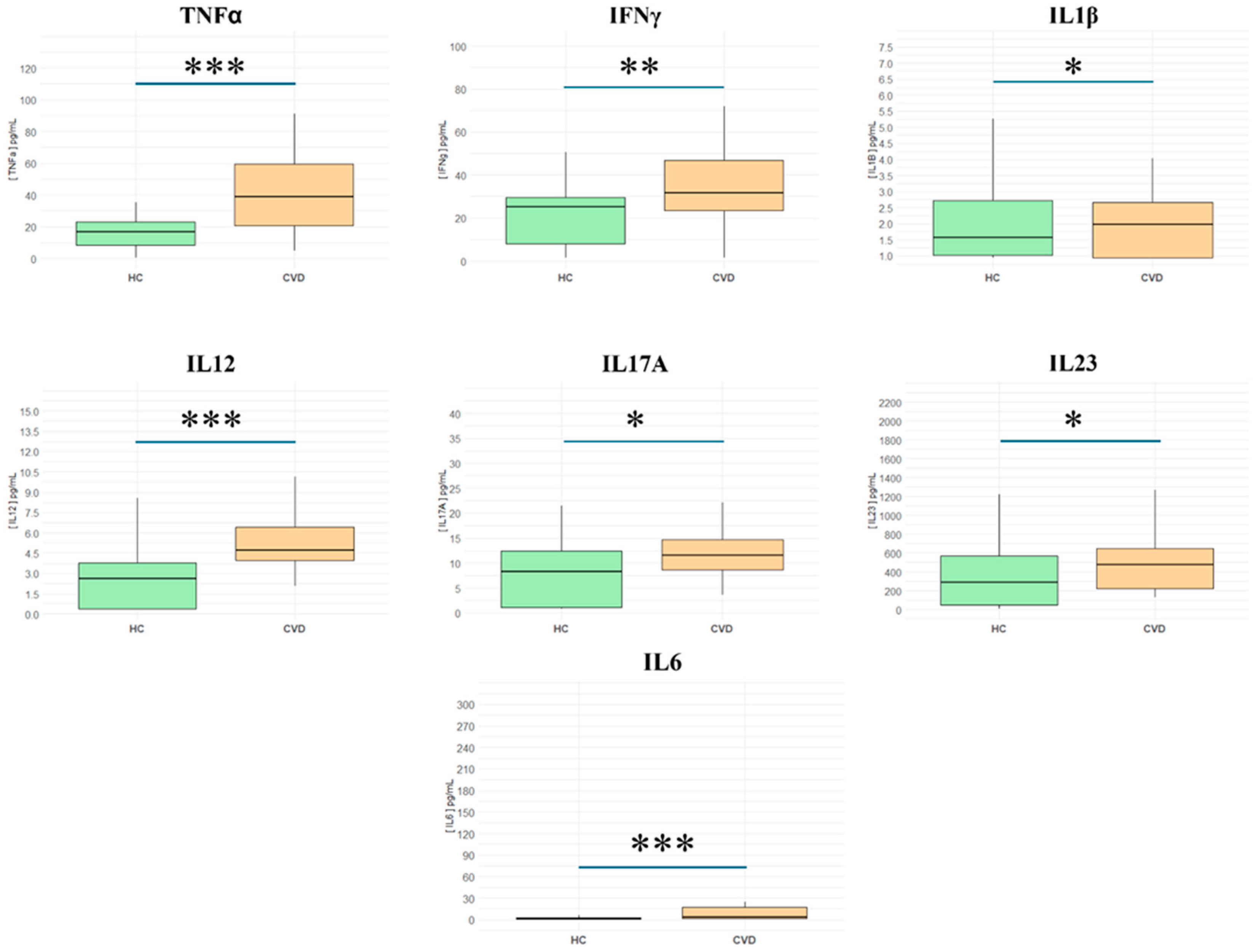
3.1. Serum of Patients with Chronic Venous Disease Exhibit Increased Levels of Pro-Inflammatory Cytokines
3.2. Serum of Patients with Chronic Venous Disease Displays a Marked Decreased Level of the Anti-Inflammatory Cytokine IL-13
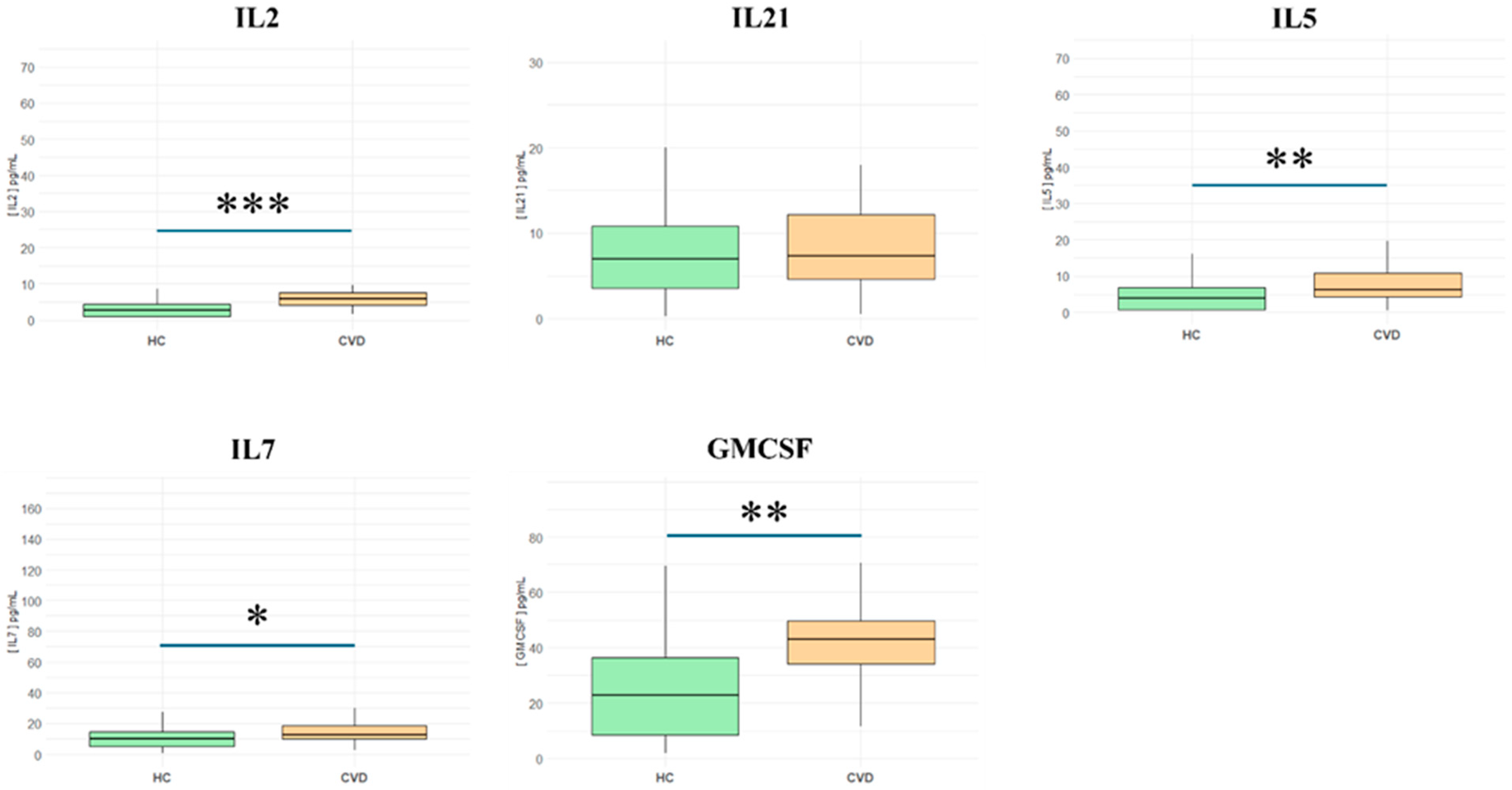
3.3. Serum of Patients with Chronic Venous Disease Exhibits Raised Levels of Cytokines Related to Immune Cell Growth and Differentiation
3.4. Serum of Patients with Chronic Venous Disease Exhibits Augmented Levels of the Chemokines IL-8, Fractalkine, and ITAC
3.5. Comparative Correlation Analysis of Inflammatory Cytokines and Chemokines in Chronic Venous Disease Patients and Healthy Controls
4. Discussion
4.1. Inflammatory Mediator Profiles in CVD: Insights from Previous Research and Comparative Contexts
4.2. Potential Pathogenic Role and Relevance of Altered Cytokines and Chemokines in CVD
4.3. Unaltered Cytokines and Chemokines
4.4. Interconnections and Correlation Patterns Among Inflammatory Mediators
4.5. Limitations of Our Study and Future Research Directions
5. Conclusions
Supplementary Materials
Author Contributions
Funding
Institutional Review Board Statement
Informed Consent Statement
Data Availability Statement
Conflicts of Interest
References
- Ligi, D.; Croce, L.; Mannello, F. Chronic Venous Disorders: The Dangerous, the Good, and the Diverse. Int. J. Mol. Sci. 2018, 19, 2544. [Google Scholar] [CrossRef]
- Rabe, E.; Régnier, C.; Goron, F.; Salmat, G.; Pannier, F. The Prevalence, Disease Characteristics and Treatment of Chronic Venous Disease: An International Web-Based Survey. J. Comp. Eff. Res. 2020, 9, 1205–1218. [Google Scholar] [CrossRef] [PubMed]
- Rabe, E.; Berboth, G.; Pannier, F. Epidemiology of Chronic Venous Diseases. Wien. Med. Wochenschr. 2016, 166, 260–263. [Google Scholar] [CrossRef] [PubMed]
- Criqui, M.H.; Denenberg, J.O.; Bergan, J.; Langer, R.D.; Fronek, A. Risk Factors for Chronic Venous Disease: The San Diego Population Study. J. Vasc. Surg. 2007, 46, 331–337. [Google Scholar] [CrossRef] [PubMed]
- Vuylsteke, M.E.; Thomis, S.; Guillaume, G.; Modliszewski, M.L.; Weides, N.; Staelens, I. Epidemiological Study on Chronic Venous Disease in Belgium and Luxembourg: Prevalence, Risk Factors, and Symptomatology. Eur. J. Vasc. Endovasc. Surg. 2015, 49, 432–439. [Google Scholar] [CrossRef] [PubMed]
- Salim, S.; Machin, M.; Patterson, B.O.; Onida, S.; Davies, A.H. Global Epidemiology of Chronic Venous Disease: A Systematic Review with Pooled Prevalence Analysis. Ann. Surg. 2021, 274, 971–976. [Google Scholar] [CrossRef]
- Robertson, L.; Evans, C.; Fowkes, F.G.R. Epidemiology of Chronic Venous Disease. Phlebology 2008, 23, 103–111. [Google Scholar] [CrossRef]
- Spiridon, M.; Corduneanu, D. Chronic Venous Insufficiency: A Frequently Underdiagnosed and Undertreated Pathology. Maedica 2017, 12, 59–61. [Google Scholar]
- Raffetto, J.D.; Mannello, F. Pathophysiology of Chronic Venous Disease. Int. Angiol. 2014, 33, 212–221. [Google Scholar]
- Eberhardt, R.T.; Raffetto, J.D. Chronic Venous Insufficiency. Circulation 2014, 130, 333–346. [Google Scholar] [CrossRef] [PubMed]
- Kumar, P.; Khan, I.A.; Das, A.; Shah, H. Chronic Venous Disease. Part 1: Pathophysiology and Clinical Features. Clin. Exp. Dermatol. 2022, 47, 1228–1239. [Google Scholar] [CrossRef] [PubMed]
- Ortega, M.A.; Fraile-Martínez, O.; García-Montero, C.; Álvarez-Mon, M.A.; Chaowen, C.; Ruiz-Grande, F.; Pekarek, L.; Monserrat, J.; Asúnsolo, A.; García-Honduvilla, N.; et al. Understanding Chronic Venous Disease: A Critical Overview of Its Pathophysiology and Medical Management. J. Clin. Med. 2021, 10, 3239. [Google Scholar] [CrossRef] [PubMed]
- Castro-Ferreira, R.; Cardoso, R.; Leite-Moreira, A.; Mansilha, A. The Role of Endothelial Dysfunction and Inflammation in Chronic Venous Disease. Ann. Vasc. Surg. 2018, 46, 380–393. [Google Scholar] [CrossRef]
- Howlader, M.H.; Coleridge Smith, P.D. Symptoms of Chronic Venous Disease and Association with Systemic Inflammatory Markers. J. Vasc. Surg. 2003, 38, 950–954. [Google Scholar] [CrossRef] [PubMed]
- Ortega, M.A.; Romero, B.; Asúnsolo, Á.; Sola, M.; Álavrez-Rocha, M.J.; Sainz, F.; Álavrez-Mon, M.; Buján, J.; García-Honduvilla, N. Patients with Incompetent Valves in Chronic Venous Insufficiency Show Increased Systematic Lipid Peroxidation and Cellular Oxidative Stress Markers. Oxidative Med. Cell. Longev. 2019, 2019, 5164576. [Google Scholar] [CrossRef] [PubMed]
- Liu, C.; Chu, D.; Kalantar-Zadeh, K.; George, J.; Young, H.A.; Liu, G. Cytokines: From Clinical Significance to Quantification. Adv. Sci. 2021, 8, 2004433. [Google Scholar] [CrossRef] [PubMed]
- Ramani, T.; Auletta, C.S.; Weinstock, D.; Mounho-Zamora, B.; Ryan, P.C.; Salcedo, T.W.; Bannish, G. Cytokines: The Good, the Bad, and the Deadly–PubMed. Int. J. Toxicol. 2015, 34, 355–365. [Google Scholar] [CrossRef] [PubMed]
- Feldmann, M. Many Cytokines Are Very Useful Therapeutic Targets in Disease. J. Clin. Investig. 2008, 118, 3533–3536. [Google Scholar] [CrossRef]
- Grudzinska, E.; Lekstan, A.; Szliszka, E.; Czuba, Z.P. Cytokines Produced by Lymphocytes in the Incompetent Great Saphenous Vein. Mediat. Inflamm. 2018, 2018, 7161346. [Google Scholar] [CrossRef] [PubMed]
- Lattimer, C.R.; Kalodiki, E.; Geroulakos, G.; Hoppensteadt, D.; Fareed, J. Are Inflamm. Biomark. Increased Varicose Vein Blood? Clin. Appl. Thromb./Hemost. 2016, 22, 656–664. [Google Scholar] [CrossRef] [PubMed]
- Lurie, F.; Passman, M.; Meisner, M.; Dalsing, M.; Masuda, E.; Welch, H.; Bush, R.L.; Blebea, J.; Carpentier, P.H.; De Maeseneer, M.; et al. The 2020 Update of the CEAP Classification System and Reporting Standards. J. Vasc. Surg. Venous Lymphat Disord 2020, 8, 342–352. [Google Scholar] [CrossRef] [PubMed]
- Cushman, M.; Callas, P.W.; Allison, M.A.; Criqui, M.H. Inflammation and Peripheral Venous Disease. The San Diego Population Study. Thromb. Haemost. 2014, 112, 566–572. [Google Scholar] [CrossRef] [PubMed]
- Tkaczyk, J.; Przywara, S.; Iłżecka, J.; Iłżecki, M. The Influence of Compression Therapy on the Level of Inflammatory Biomarkers in Patients with Chronic Venous Disease. Acta Angiol. 2021, 27, 32–36. [Google Scholar] [CrossRef]
- Zieliński, A.; Jasińska-Sumińska, K.; Bręborowicz, A.; Kowalska, K.; Zabel, M.; Wysocka, T.; Khalil, R.A.; Raffetto, J.D.; Urbanek, T. Changes of the Serum Properties and Its Effect on the Endothelial Cells Restoration in Patients with Chronic Venous Disease Treated with Sulodexide. J. Vasc. Surg. Venous Lymphat. Disord. 2024, 12, 101941. [Google Scholar] [CrossRef]
- Tisato, V.; Zauli, G.; Gianesini, S.; Menegatti, E.; Brunelli, L.; Manfredini, R.; Zamboni, P.; Secchiero, P. Modulation of Circulating Cytokine-Chemokine Profile in Patients Affected by Chronic Venous Insufficiency Undergoing Surgical Hemodynamic Correction. J. Immunol. Res. 2014, 2014, 473765. [Google Scholar] [CrossRef]
- Fox, J.D.; Baquerizo-Nole, K.L.; Keegan, B.R.; Macquhae, F.; Escandon, J.; Espinosa, A.; Perez, C.; Romanelli, P.; Kirsner, R.S. Adalimumab Treatment Leads to Reduction of Tissue Tumor Necrosis Factor-Alpha Correlated with Venous Leg Ulcer Improvement: A Pilot Study. Int. Wound J. 2016, 13, 963–966. [Google Scholar] [CrossRef] [PubMed]
- Franklin, B.; Xie, B.; Assaf, E.; Vodovotz, L.; Zhang, Y.; Chaer, R.; Barclay, D.; Vodovotz, Y.; Zamora, R.; Sachdev, U. Elevated Cytokines in Varicose Veins But Not Venous Ulcers Suggest Immunologic Exhaustion in Venous Leg Ulcers. J. Vasc. Surg. 2023, 78, e122–e123. [Google Scholar] [CrossRef]
- Guss, L.G.; Javvaji, S.; Case, J.; Barrick, B.; Schaefer, K.N. Differences in Inflammatory Cytokine Levels between Patients with Varying Severity of Chronic Venous Insufficiency. J. Vasc. Med. Surg. 2018, 6, 363. [Google Scholar] [CrossRef]
- Spath, P.; Tisato, V.; Gianesini, S.; Tessari, M.; Menegatti, E.; Manfredini, R.; Occhionorelli, S.; Secchiero, P.; Zamboni, P. The Calendar of Cytokines: Seasonal Variation of Circulating Cytokines in Chronic Venous Insufficiency. JRSM Cardiovasc. Dis. 2017, 6, 204800401772927. [Google Scholar] [CrossRef] [PubMed]
- Beidler, S.K.; Douillet, C.D.; Berndt, D.F.; Keagy, B.A.; Rich, P.B.; Marston, W.A. Inflammatory Cytokine Levels in Chronic Venous Insufficiency Ulcer Tissue before and after Compression Therapy. J. Vasc. Surg. 2009, 49, 1013. [Google Scholar] [CrossRef]
- Petrascu, F.M.; Matei, S.C.; Margan, M.M.; Ungureanu, A.M.; Olteanu, G.E.; Murariu, M.S.; Olariu, S.; Marian, C. The Impact of Inflammatory Markers and Obesity in Chronic Venous Disease. Biomedicines 2024, 12, 2524. [Google Scholar] [CrossRef]
- Pocock, E.S.; Alsaigh, T.; Mazor, R.; Schmid-Schönbein, G.W. Cellular and Molecular Basis of Venous Insufficiency. Vasc. Cell 2014, 6, 24. [Google Scholar] [CrossRef] [PubMed]
- Serra, R.; Grande, R.; Buffone, G.; Molinari, V.; Perri, P.; Perri, A.; Amato, B.; Colosimo, M.; de Franciscis, S. Extracellular Matrix Assessment of Infected Chronic Venous Leg Ulcers: Role of Metalloproteinases and Inflammatory Cytokines. Int. Wound J. 2016, 13, 53–58. [Google Scholar] [CrossRef] [PubMed]
- Moreno Rocha, O.Y.; Ulloa, J.H.; Pinto, P.; Monsalve, I.; Cifuentes, S.; Figueroa, A.; Solano, A.; Bravo, J.; Ramirez, J. Chronic Venous Disease Progression-Associated Biomarkers. J. Vasc. Surg. 2022, 75, e111. [Google Scholar] [CrossRef]
- Costa, D.; Andreucci, M.; Ielapi, N.; Serraino, G.F.; Mastroroberto, P.; Bracale, U.M.; Serra, R. Molecular Determinants of Chronic Venous Disease: A Comprehensive Review. Int. J. Mol. Sci. 2023, 24, 1928. [Google Scholar] [CrossRef] [PubMed]
- Ortega, M.A.; Fraile-Martínez, O.; García-Montero, C.; Sáez, M.A.; Álvarez-Mon, M.A.; Torres-Carranza, D.; Álvarez-Mon, M.; Bujan, J.; García-Honduvilla, N.; Bravo, C.; et al. The Pivotal Role of the Placenta in Normal and Pathological Pregnancies: A Focus on Preeclampsia, Fetal Growth Restriction, and Maternal Chronic Venous Disease. Cells 2022, 11, 568. [Google Scholar] [CrossRef]
- Ortega, M.A.; Gómez-Lahoz, A.M.; Sánchez-Trujillo, L.; Fraile-Martinez, O.; García-Montero, C.; Guijarro, L.G.; Bravo, C.; De Leon-Luis, J.A.; Saz, J.V.; Bujan, J.; et al. Chronic Venous Disease during Pregnancy Causes a Systematic Increase in Maternal and Fetal Proinflammatory Markers. Int. J. Mol. Sci. 2022, 23, 8976. [Google Scholar] [CrossRef]
- Mor, G.; Cardenas, I.; Abrahams, V.; Guller, S. Inflammation and Pregnancy: The Role of the Immune System at the Implantation Site. Ann. N. Y. Acad. Sci. 2011, 1221, 80. [Google Scholar] [CrossRef] [PubMed]
- Gwozdzinski, L.; Pieniazek, A.; Gwozdzinski, K. Factors Influencing Venous Remodeling in the Development of Varicose Veins of the Lower Limbs. Int. J. Mol. Sci. 2024, 25, 1560. [Google Scholar] [CrossRef]
- Slonková, V.; Vašků, A.; Vašků, V. Polymorphisms in Some Proinflammatory Genes (TNFα and β, IL-1β, IL-6, ADAM17) in Severe Chronic Venous Disease. J. Eur. Acad. Dermatol. Venereol. 2023, 37, 590–597. [Google Scholar] [CrossRef] [PubMed]
- Zhao, B.; Stavchansky, S.A.; Bowden, R.A.; Bowman, P.D. Effect of Interleukin-1beta and Tumor Necrosis Factor-Alpha on Gene Expression in Human Endothelial Cells. Am. J. Physiol. Cell Physiol. 2003, 284, C1577–C1583. [Google Scholar] [CrossRef]
- Ortega, M.A.; De Leon-Oliva, D.; García-Montero, C.; Fraile-Martinez, O.; Boaru, D.L.; de Castro, A.V.; Saez, M.A.; Lopez-Gonzalez, L.; Bujan, J.; Alvarez-Mon, M.A.; et al. Reframing the Link between Metabolism and NLRP3 Inflammasome: Therapeutic Opportunities. Front. Immunol. 2023, 14, 1232629. [Google Scholar] [CrossRef] [PubMed]
- Gou, W.; Wang, X.; Wang, L.; Wang, K.; Chen, S. Correlation of TNF-α, Cys C, and NLRP3 Inflammasomes with Venous Ulcers in Patients with Lower Extremity Varicose Veins. Am. J. Transl. Res. 2023, 15, 1186. [Google Scholar]
- Zhang, H.; Park, Y.; Wu, J.; Chen, X.P.; Lee, S.; Yang, J.; Dellsperger, K.C.; Zhang, C. Role of TNF-α in Vascular Dysfunction. Clin. Sci. 2009, 116, 219. [Google Scholar] [CrossRef] [PubMed]
- Wang, X.; Khalil, R.A. Matrix Metalloproteinases, Vascular Remodeling, and Vascular Disease. Adv. Pharmacol. 2017, 81, 241. [Google Scholar] [CrossRef] [PubMed]
- González-Carnicero, Z.; Hernanz, R.; Martínez-Casales, M.; Barrús, M.T.; Martín, Á.; Alonso, M.J. Regulation by Nrf2 of IL-1β-Induced Inflammatory and Oxidative Response in VSMC and Its Relationship with TLR4. Front. Pharmacol. 2023, 14, 1058488. [Google Scholar] [CrossRef]
- Sprague, A.H.; Khalil, R.A. Inflammatory Cytokines in Vascular Dysfunction and Vascular Disease. Biochem. Pharmacol. 2009, 78, 539. [Google Scholar] [CrossRef]
- Akdis, M.; Burgler, S.; Crameri, R.; Eiwegger, T.; Fujita, H.; Gomez, E.; Klunker, S.; Meyer, N.; O’Mahony, L.; Palomares, O.; et al. Interleukins, from 1 to 37, and Interferon-γ: Receptors, Functions, and Roles in Diseases. J. Allergy Clin. Immunol. 2011, 127, 701–721.e70. [Google Scholar] [CrossRef] [PubMed]
- Zhang, Y.; Zhang, Z.; Wei, R.; Miao, X.; Sun, S.; Liang, G.; Chu, C.; Zhao, L.; Zhu, X.; Guo, Q.; et al. IL (Interleukin)-6 Contributes to Deep Vein Thrombosis and Is Negatively Regulated by MiR-338-5p. Arterioscler. Thromb. Vasc. Biol. 2020, 40, 323–334. [Google Scholar] [CrossRef] [PubMed]
- Baylis, R.A.; Smith, N.L.; Klarin, D.; Fukaya, E. Epidemiology and Genetics of Venous Thromboembolism and Chronic Venous Disease. Circ. Res. 2021, 128, 1988. [Google Scholar] [CrossRef]
- McGettrick, A.F.; O’Neill, L.A.J. The Role of HIF in Immunity and Inflammation. Cell Metab. 2020, 32, 524–536. [Google Scholar] [CrossRef] [PubMed]
- Maddur, M.S.; Miossec, P.; Kaveri, S.V.; Bayry, J. Th17 Cells: Biology, Pathogenesis of Autoimmune and Inflammatory Diseases, and Therapeutic Strategies. Am. J. Pathol. 2012, 181, 8–18. [Google Scholar] [CrossRef] [PubMed]
- Chen, K.; Kolls, J.K. Interluekin-17A (IL17A). Gene 2017, 614, 8–14. [Google Scholar] [CrossRef]
- Rodrigues-Diez, R.R.; Tejera-Muñoz, A.; Orejudo, M.; Marquez-Exposito, L.; Santos, L.; Rayego-Mateos, S.; Cantero-Navarro, E.; Tejedor-Santamaria, L.; Marchant, V.; Ortiz, A.; et al. Interleukin-17A: Possible Mediator and Therapeutic Target in Hypertension. Nefrología 2021, 41, 244–257. [Google Scholar] [CrossRef] [PubMed]
- Vaillant, A.A.J.; Qurie, A. Interleukin; StatPearls: Petersburg, FL, USA, 2022. [Google Scholar]
- Krueger, J.G.; Eyerich, K.; Kuchroo, V.K.; Ritchlin, C.T.; Abreu, M.T.; Elloso, M.M.; Fourie, A.; Fakharzadeh, S.; Sherlock, J.P.; Yang, Y.W.; et al. IL-23 Past, Present, and Future: A Roadmap to Advancing IL-23 Science and Therapy. Front. Immunol. 2024, 15, 1331217. [Google Scholar] [CrossRef] [PubMed]
- Amato, R.; Dattilo, V.; Brescia, C.; D’antona, L.; Iuliano, R.; Trapasso, F.; Perrotti, N.; Costa, D.; Ielapi, N.; Aiello, F.; et al. Th17-Gene Expression Profile in Patients with Chronic Venous Disease and Venous Ulcers: Genetic Modulations and Preliminary Clinical Evidence. Biomolecules 2022, 12, 902. [Google Scholar] [CrossRef]
- Palomino, D.C.; Arolina, T.; Marti, L.C. Avalheiro Chemokines and Immunity. Einstein 2015, 13, 469. [Google Scholar] [CrossRef]
- Tokunaga, R.; Zhang, W.; Naseem, M.; Puccini, A.; Berger, M.D.; Soni, S.; McSkane, M.; Baba, H.; Lenz, H.J. CXCL9, CXCL10, CXCL11/CXCR3 Axis for Immune Activation—A Target for Novel Cancer Therapy. Cancer Treat. Rev. 2017, 63, 40. [Google Scholar] [CrossRef] [PubMed]
- Kong, X.; Wu, S.; Dai, X.; Yu, W.; Wang, J.; Sun, Y.; Ji, Z.; Ma, L.; Dai, X.; Chen, H.; et al. A Comprehensive Profile of Chemokines in the Peripheral Blood and Vascular Tissue of Patients with Takayasu Arteritis. Arthritis Res. Ther. 2022, 24, 49. [Google Scholar] [CrossRef] [PubMed]
- Hedayati-Moghadam, M.; Hosseinian, S.; Paseban, M.; Shabgah, A.G.; Gholizadeh, J.; Jamialahmadi, T.; Sathyapalan, T.; Sahebkar, A. The Role of Chemokines in Cardiovascular Diseases and the Therapeutic Effect of Curcumin on CXCL8 and CCL2 as Pathological Chemokines in Atherosclerosis. Adv. Exp. Med. Biol. 2021, 1328, 155–170. [Google Scholar] [CrossRef]
- del Rio Solá, L.; Aceves, M.; Dueñas, A.I.; González-Fajardo, J.A.; Vaquero, C.; Sanchez Crespo, M.; García-Rodríguez, C. Varicose Veins Show Enhanced Chemokine Expression. Eur. J. Vasc. Endovasc. Surg. 2009, 38, 635–641. [Google Scholar] [CrossRef]
- Kuboi, Y.; Nishimura, M.; Ikeda, W.; Nakatani, T.; Seki, Y.; Yamaura, Y.; Ogawa, K.; Hamaguchi, A.; Muramoto, K.; Mizuno, K.; et al. Blockade of the Fractalkine-CX3CR1 Axis Ameliorates Experimental Colitis by Dislodging Venous Crawling Monocytes. Int. Immunol. 2019, 31, 287–302. [Google Scholar] [CrossRef] [PubMed]
- Kameda, M.; Otsuka, M.; Chiba, H.; Kuronuma, K.; Hasegawa, T.; Takahashi, H.; Takahashi, H. CXCL9, CXCL10, and CXCL11; Biomarkers of Pulmonary Inflammation Associated with Autoimmunity in Patients with Collagen Vascular Diseases-Associated Interstitial Lung Disease and Interstitial Pneumonia with Autoimmune Features. PLoS ONE 2020, 15, e0241719. [Google Scholar] [CrossRef]
- Radonjic-Hoesli, S.; Valent, P.; Klion, A.D.; Wechsler, M.E.; Simon, H.U. Novel Targeted Therapies for Eosinophil-Associated Diseases and Allergy. Annu. Rev. Pharmacol. Toxicol. 2014, 55, 633. [Google Scholar] [CrossRef] [PubMed]
- Griseri, T.; Arnold, I.C.; Pearson, C.; Krausgruber, T.; Schiering, C.; Franchini, F.; Schulthess, J.; McKenzie, B.S.; Crocker, P.R.; Powrie, F. Granulocyte Macrophage Colony-Stimulating Factor-Activated Eosinophils Promote Interleukin-23 Driven Chronic Colitis. Immunity 2015, 43, 187. [Google Scholar] [CrossRef]
- Arnold, I.C.; Artola-Boran, M.; Gurtner, A.; Bertram, K.; Bauer, M.; Frangez, Z.; Becher, B.; Kopf, M.; Yousefi, S.; Simon, H.U.; et al. The GM-CSF-IRF5 Signaling Axis in Eosinophils Promotes Antitumor Immunity through Activation of Type 1 T Cell Responses. J. Exp. Med. 2020, 217, e20190706. [Google Scholar] [CrossRef] [PubMed]
- Jacobsen, E.A.; Helmers, R.A.; Lee, J.J.; Lee, N.A. The Expanding Role(s) of Eosinophils in Health and Disease. Blood 2012, 120, 3882–3890. [Google Scholar] [CrossRef] [PubMed]
- Rimkunas, A.; Januskevicius, A.; Vasyle, E.; Palacionyte, J.; Malakauskas, K. Effect of IL-3, IL-5 and GM-CSF on Adhesion and Chemotaxis of Blood Eosinophil Subtypes in Allergic Asthma. Eur. Respir. J. 2022, 60 (Suppl. S66), 2842. [Google Scholar] [CrossRef]
- Grudzińska, E.; Grzegorczyn, S.; Czuba, Z.P. Chemokines and Growth Factors Produced by Lymphocytes in the Incompetent Great Saphenous Vein. Mediat. Inflamm. 2019, 2019, 7057303. [Google Scholar] [CrossRef] [PubMed]
- Sachdev, U.; Vodovotz, L.; Bitner, J.; Barclay, D.; Zamora, R.; Yin, J.; Simmons, R.L.; Vodovotz, Y. Suppressed Networks of Inflammatory Mediators Characterize Chronic Venous Insufficiency. J. Vasc. Surg. Venous Lymphat. Disord. 2018, 6, 358–366. [Google Scholar] [CrossRef]
- Tisato, V.; Secchiero, P.; Rimondi, E.; Gianesini, S.; Menegatti, E.; Casciano, F.; Zamboni, P.; Zauli, G. GM-CSF Exhibits Anti-Inflammatory Activity on Endothelial Cells Derived from Chronic Venous Disease Patients. Mediat. Inflamm. 2013, 2013, 561689. [Google Scholar] [CrossRef] [PubMed][Green Version]
- Coppola, C.; Hopkins, B.; Huhn, S.; Du, Z.; Huang, Z.; Kelly, W.J. Investigation of the Impact from IL-2, IL-7, and IL-15 on the Growth and Signaling of Activated CD4+ T Cells. Int. J. Mol. Sci. 2020, 21, 7814. [Google Scholar] [CrossRef] [PubMed]
- Gaffen, S.L.; Liu, K.D. Overview of Interleukin-2 Function, Production and Clinical Applications. Cytokine 2004, 28, 109–123. [Google Scholar] [CrossRef]
- Winer, H.; Rodrigues, G.O.L.; Hixon, J.A.; Aiello, F.B.; Hsu, T.C.; Wachter, B.T.; Li, W.; Durum, S.K. IL-7: Comprehensive Review. Cytokine 2022, 160, 156049. [Google Scholar] [CrossRef]
- Chen, D.; Tang, T.X.; Deng, H.; Yang, X.P.; Tang, Z.H. Interleukin-7 Biology and Its Effects on Immune Cells: Mediator of Generation, Differentiation, Survival, and Homeostasis. Front. Immunol. 2021, 12, 747324. [Google Scholar] [CrossRef] [PubMed]
- Melencio, L.; McKallip, R.J.; Guan, H.; Ramakrishnan, R.; Jain, R.; Nagarkatti, P.S.; Nagarkatti, M. Role of CD4+CD25+ T Regulatory Cells in IL-2-Induced Vascular Leak. Int. Immunol. 2006, 18, 1461–1471. [Google Scholar] [CrossRef] [PubMed]
- Li, B.; Shaikh, F.; Zamzam, A.; Syed, M.H.; Abdin, R.; Qadura, M. The Identification and Evaluation of Interleukin-7 as a Myokine Biomarker for Peripheral Artery Disease Prognosis. J. Clin. Med. 2024, 13, 3583. [Google Scholar] [CrossRef]
- Li, R.; Paul, A.; Ko, K.W.S.; Sheldon, M.; Rich, B.E.; Terashima, T.; Dieker, C.; Cormier, S.; Li, L.; Nour, E.A.; et al. Interleukin-7 Induces Recruitment of Monocytes/Macrophages to Endothelium. Eur. Heart J. 2012, 33, 3114–3123. [Google Scholar] [CrossRef]
- Smeltz, R.B.; Chen, J.; Ehrhardt, R.; Shevach, E.M. Role of IFN-Gamma in Th1 Differentiation: IFN-Gamma Regulates IL-18R Alpha Expression by Preventing the Negative Effects of IL-4 and by Inducing/Maintaining IL-12 Receptor Beta 2 Expression. J. Immunol. 2002, 168, 6165–6172. [Google Scholar] [CrossRef]
- Okamura, H.; Kashiwamura, S.I.; Tsutsui, H.; Yoshimoto, T.; Nakanishi, K. Regulation of Interferon-Gamma Production by IL-12 and IL-18. Curr. Opin. Immunol. 1998, 10, 259–264. [Google Scholar] [CrossRef]
- Vodovotz, L.; Zamora, R.; Barclay, D.A.; Vodovotz, Y.; Yin, J.; Bitner, J.; Florida, J.; Avgerinos, E.D.; Sachdev, U. Inflammatory Signals and Network Connections Implicate Cell-Mediated Immunity in Chronic Venous Insufficiency. Ann. Transl. Med. 2021, 9, 1643. [Google Scholar] [CrossRef]
- Ng, C.T.; Fong, L.Y.; Abdullah, M.N.H. Interferon-Gamma (IFN-γ): Reviewing Its Mechanisms and Signaling Pathways on the Regulation of Endothelial Barrier Function. Cytokine 2023, 166, 156208. [Google Scholar] [CrossRef] [PubMed]
- Raffetto, J.D.; Gram, C.H.; Overman, K.C.; Menzoian, J.O. Mitogen-Activated Protein Kinase P38 Pathway in Venous Ulcer Fibroblasts. Vasc. Endovasc. Surg. 2008, 42, 367–374. [Google Scholar] [CrossRef] [PubMed]
- Ortega, M.A.; Asúnsolo, Á.; Romero, B.; Álvarez-Rocha, M.J.; Sainz, F.; Leal, J.; Álvarez-Mon, M.; Buján, J.; García-Honduvilla, N. Unravelling the Role of Mapks (Erk1/2) in Venous Reflux in Patients with Chronic Venous Disorder. Cells Tissues Organs 2019, 206, 272–281. [Google Scholar] [CrossRef] [PubMed]
- Haviarová, Z.; Janegová, A.; Janega, P.; Durdík, Š.; Kováč, P.; Štvrtinová, V.; Mráz, P. Expression of Constitutive Nitric Oxide Synthase Isoforms in Varicose Vein Wall; Preliminary Results. Int. J. Vasc. Med. 2011, 2011, 204723. [Google Scholar] [CrossRef][Green Version]
- Bao, K.; Reinhardt, R.L. The Differential Expression of IL-4 and IL-13 and Its Impact on Type-2 Immunity. Cytokine 2015, 75, 25–37. [Google Scholar] [CrossRef] [PubMed]
- Roeb, E. Interleukin-13 (IL-13)-A Pleiotropic Cytokine Involved in Wound Healing and Fibrosis. Int. J. Mol. Sci. 2023, 24, 12884. [Google Scholar] [CrossRef]
- Farmer, D.G.; Ke, B.; Shen, X.D.; Kaldas, F.M.; Gao, F.; Watson, M.J.; Busuttil, R.W.; Kupiec-Weglinski, J.W. IL-13 Protects Mouse Intestine from Ischemia and Reperfusion Injury through Regulation of Innate and Adaptive Immunity. Transplantation 2011, 91, 737. [Google Scholar] [CrossRef]
- Couper, K.N.; Blount, D.G.; Riley, E.M. IL-10: The Master Regulator of Immunity to Infection. J. Immunol. 2008, 180, 5771–5777. [Google Scholar] [CrossRef] [PubMed]
- Shbeer, A.M.; Ahmed Robadi, I. The Role of Interleukin-21 in Autoimmune Diseases: Mechanisms, Therapeutic Implications, and Future Directions. Cytokine 2024, 173, 156437. [Google Scholar] [CrossRef] [PubMed]
- Heeschen, C.; Dimmeler, S.; Hamm, C.W.; Fichtlscherer, S.; Boersma, E.; Simoons, M.L.; Zeiher, A.M. Serum Level of the Antiinflammatory Cytokine Interleukin-10 Is an Important Prognostic Determinant in Patients with Acute Coronary Syndromes. Circulation 2003, 107, 2109–2114. [Google Scholar] [CrossRef]
- Haybar, H.; Bandar, B.; Torfi, E.; Mohebbi, A.; Saki, N. Cytokines and Their Role in Cardiovascular Diseases. Cytokine 2023, 169, 156261. [Google Scholar] [CrossRef] [PubMed]
- Mesas-Fernández, A.; Bodner, E.; Hilke, F.J.; Meier, K.; Ghoreschi, K.; Solimani, F. Interleukin-21 in Autoimmune and Inflammatory Skin Diseases. Eur. J. Immunol. 2023, 53, 2250075. [Google Scholar] [CrossRef] [PubMed]
- Schall, T.J.; Bacon, K.; Camp, R.D.; Kaspari, J.W.; Goeddel, D. V Human Macrophage Inflammatory Protein Alpha (MIP-1 Alpha) and MIP-1 Beta Chemokines Attract Distinct Populations of Lymphocytes. J. Exp. Med. 1993, 177, 1821–1826. [Google Scholar] [CrossRef] [PubMed]
- Broxmeyer, H.E.; Sherry, B.; Cooper, S.; Ruscetti, F.W.; Williams, D.E.; Arosio, P.; Kwon, B.S.; Cerami, A. Macrophage Inflammatory Protein (MIP)-1 Beta Abrogates the Capacity of MIP-1 Alpha to Suppress Myeloid Progenitor Cell Growth. J. Immunol. 1991, 147, 2586–2594. [Google Scholar] [CrossRef]
- Aziz, N.; Detels, R.; Chang, C.; Butch, A.W.; Geffen, D. Macrophage Inflammatory Protein-3 Alpha (MIP-3α)/CCL20 in HIV-1-Infected Individuals. J. AIDS Clin. Res. 2016, 7, 587. [Google Scholar] [CrossRef]






| CVD (n = 40) | HCs (n = 38) | |
|---|---|---|
| Female sex (%) | 27 (65.85%) | 21 (55.26%) |
| Median age [Q1–Q3] | 46 [44–55] | 55.0 [45.5–59] |
| Body mass index | 23.01 ± 1.16 | 22.97 ± 1.05 |
| Smoking habits Yes No | 15 (37.50%)/ 25 (62.50%) | 11(28.94%)/ 27(71.05%) |
| Alcohol consumption Yes No | 17 (42.50%)/ 23 (57.50%) | 15 (40.00%)/ 23 (60.52%) |
| Sedentary lifestyle | 24 (60.00%) | 20 (52.63%) |
| CEAP classification | C1 = 18 (45.00%) C2 = 22 (55.00%) | N/A |
| Family history of CVD | 31(77.50%) | 15 (39.47%) |
| Cytokines/Chemokines | Status in CVD in Our Study | Mechanisms of Action | Potential Implications in CVD | References |
|---|---|---|---|---|
| IL-1β | Increased | Pro-inflammatory; central mediator in inflammatory cascade, promotes endothelial activation and increases vascular permeability | Enhances immune cell infiltration, contributing to endothelial dysfunction and vascular wall damage | [40,41,42,43,44,45,46,47] |
| TNF-α | Increased | Pro-inflammatory; works synergistically with IL-1β in inflammatory responses | Increases immune cell recruitment and endothelial activation, exacerbating vascular inflammation | [40,41,42,43,44,45,46,47] |
| IL-6 | Increased | Induces acute inflammation proteins, directs leukocyte trafficking, promotes T-cell and B-cell responses | Linked to CVD-related changes like hemodynamic shifts, hypoxia, oxidative stress, and endothelial dysfunction | [40,48,49,50,51] |
| IL-17A | Increased | Drives inflammation by inducing other pro-inflammatory cytokines, recruits neutrophils and macrophages | Th17 pathway activation, associated with chronic inflammation and tissue damage in vascular walls | [52,53,54,55,56,57] |
| IL-23 | Increased | Supports Th17 cell survival and differentiation, amplifying inflammatory responses | Th17 pathway activation, associated with chronic inflammation and tissue damage in vascular walls | [52,53,54,55,56,57] |
| IL-8 (CXCL8) | Increased | Neutrophil migration and recruitment, inflammatory mediator | Increases leukocyte recruitment, contributing to venous inflammation and vascular remodeling | [58,59,60,61,62,63,64] |
| Fractalkine (CX3CL1) | Increased | Facilitates NK, monocyte, and T-cell trafficking within vascular tissues | Favors monocyte accumulation, which may drive vascular inflammation and remodeling | [58,59,60,61,62,63,64] |
| ITAC (CXCL11) | Increased | Attracts activated T cells and macrophages, involved in Th1 response | Promotes immune cell recruitment to vascular lesions, potentially accelerating CVD progression | [58,59,60,61,62,63,64] |
| IL-5 | Increased | Supports B-cell differentiation and eosinophil activation | Promotes eosinophilic inflammation and tissue remodeling within venous structures | [65,66,67,68,69,70,71,72] |
| GM-CSF | Increased | Eosinophil activation | Promotes eosinophilic inflammation and tissue remodeling within venous structures | [65,66,67,68,69,70,71,72] |
| IL-2 | Increased | Expands T-cell populations, maintains immune regulation, influences Treg cells | May contribute to T cell-driven vascular inflammation and endothelial dysfunction | [19,73,74,75,76,77,78,79] |
| IL-7 | Increased | Promotes T- and B-cell development and NK cell homeostasis | Involved in macrophage recruitment, potentially intensifies inflammation in the venous wall | [19,73,74,75,76,77,78,79] |
| IFN-γ | Increased | Activates Th1 response | Drives vascular inflammation and endothelial impairment, and possibly decreases nitric oxide, contributing to CVD progression | [15,80,81,82,83,84,85,86] |
| IL-12 | Increased | Promotes Th1 cell differentiation and IFN-γ production | Supports chronic Th1 responses and endothelial dysfunction | [15,80,81,82,83,84,85,86] |
| IL-13 | Decreased | Anti-inflammatory; promotes tissue repair and fibrosis | Diminished repair, possibly contributes to vascular wall degradation | [47,87,88,89] |
Disclaimer/Publisher’s Note: The statements, opinions and data contained in all publications are solely those of the individual author(s) and contributor(s) and not of MDPI and/or the editor(s). MDPI and/or the editor(s) disclaim responsibility for any injury to people or property resulting from any ideas, methods, instructions or products referred to in the content. |
© 2025 by the authors. Licensee MDPI, Basel, Switzerland. This article is an open access article distributed under the terms and conditions of the Creative Commons Attribution (CC BY) license (https://creativecommons.org/licenses/by/4.0/).
Share and Cite
Fraile-Martinez, O.; García-Montero, C.; Gomez-Lahoz, A.M.; Sainz, F.; Bujan, J.; Barrena-Blázquez, S.; López-González, L.; Díaz-Pedrero, R.; Álvarez-Mon, M.; García-Honduvilla, N.; et al. Evidence of Inflammatory Network Disruption in Chronic Venous Disease: An Analysis of Circulating Cytokines and Chemokines. Biomedicines 2025, 13, 150. https://doi.org/10.3390/biomedicines13010150
Fraile-Martinez O, García-Montero C, Gomez-Lahoz AM, Sainz F, Bujan J, Barrena-Blázquez S, López-González L, Díaz-Pedrero R, Álvarez-Mon M, García-Honduvilla N, et al. Evidence of Inflammatory Network Disruption in Chronic Venous Disease: An Analysis of Circulating Cytokines and Chemokines. Biomedicines. 2025; 13(1):150. https://doi.org/10.3390/biomedicines13010150
Chicago/Turabian StyleFraile-Martinez, Oscar, Cielo García-Montero, Ana María Gomez-Lahoz, Felipe Sainz, Julia Bujan, Silvestra Barrena-Blázquez, Laura López-González, Raul Díaz-Pedrero, Melchor Álvarez-Mon, Natalio García-Honduvilla, and et al. 2025. "Evidence of Inflammatory Network Disruption in Chronic Venous Disease: An Analysis of Circulating Cytokines and Chemokines" Biomedicines 13, no. 1: 150. https://doi.org/10.3390/biomedicines13010150
APA StyleFraile-Martinez, O., García-Montero, C., Gomez-Lahoz, A. M., Sainz, F., Bujan, J., Barrena-Blázquez, S., López-González, L., Díaz-Pedrero, R., Álvarez-Mon, M., García-Honduvilla, N., Saez, M. A., Monserrat, J., & Ortega, M. A. (2025). Evidence of Inflammatory Network Disruption in Chronic Venous Disease: An Analysis of Circulating Cytokines and Chemokines. Biomedicines, 13(1), 150. https://doi.org/10.3390/biomedicines13010150

