Real-World Case Series of Efgartigimod for Japanese Generalized Myasthenia Gravis: Well-Tailored Treatment Cycle Intervals Contribute to Sustained Symptom Control
Abstract
1. Introduction
2. Case Description
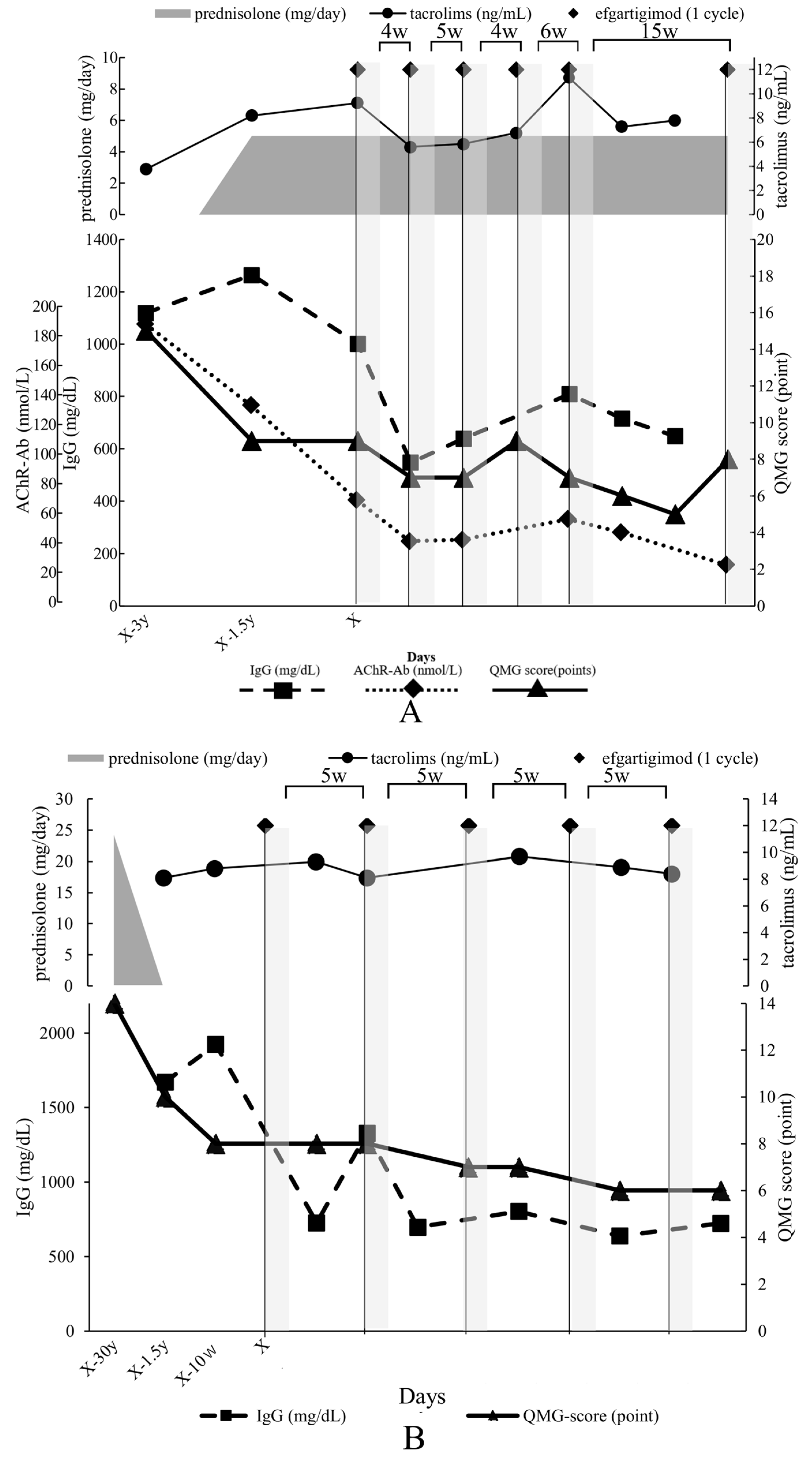
2.1. Case 1
2.2. Case 2
2.3. Case 3
2.4. Case 4
3. Discussion
Author Contributions
Funding
Institutional Review Board Statement
Informed Consent Statement
Data Availability Statement
Conflicts of Interest
Abbreviations
References
- Meriggioli, M.N.; Sanders, D.B. Autoimmune myasthenia gravis: Emerging clinical and biological heterogeneity. Lancet Neurol. 2009, 8, 475–490. [Google Scholar] [CrossRef]
- Akaishi, T.; Suzuki, Y.; Imai, T.; Tsuda, E.; Minami, N.; Nagane, Y.; Uzawa, A.; Kawaguchi, N.; Masuda, M.; Konno, S.; et al. Response to treatment of myasthenia gravis according to clinical subtype. BMC Neurol. 2016, 16, 225. [Google Scholar] [CrossRef]
- Narayanaswami, P.; Sanders, D.B.; Wolfe, G.; Benatar, M.; Cea, G.; Evoli, A.; Gilhus, N.E.; Illa, I.; Kuntz, N.L.; Massey, J.; et al. International Consensus Guidance for Management of Myasthenia Gravis: 2020 Update. Neurology 2021, 96, 114–122. [Google Scholar] [CrossRef]
- Alhaidar, M.K.; Abumurad, S.; Soliven, B.; Rezania, K. Current treatment of myasthenia gravis. J. Clin. Med. 2022, 11, 1597. [Google Scholar] [CrossRef] [PubMed]
- Murai, H. The Japanese Clinical Guidelines 2022 for Myasthenia Gravis and Lambert-Eaton Myasthenic Syndrome: An overview. Brain Nerve 2024, 76, 7–12. (In Japanese) [Google Scholar] [CrossRef]
- Hehir, M.K., 2nd; Li, Y. Diagnosis and management of myasthenia gravis. Continuum 2022, 28, 1615–1642. [Google Scholar] [CrossRef]
- Jordan, A.; Freimer, M. Recent advances in understanding and managing myasthenia gravis. F1000Res 2018, 7. [Google Scholar] [CrossRef] [PubMed]
- Utsugisawa, K.; Nagane, Y.; Akaishi, T.; Suzuki, Y.; Imai, T.; Tsuda, E.; Minami, N.; Uzawa, A.; Kawaguchi, N.; Masuda, M.; et al. Early fast-acting treatment strategy against generalized myasthenia gravis. Muscle Nerve 2017, 55, 794–801. [Google Scholar] [CrossRef] [PubMed]
- Uzawa, A.; Suzuki, S.; Kuwabara, S.; Akamine, H.; Onishi, Y.; Yasuda, M.; Ozawa, Y.; Kawaguchi, N.; Kubota, T.; Takahashi, M.P.; et al. Effectiveness of early cycles of fast-acting treatment in generalized myasthenia gravis. J. Neurol. Neurosurg. Psychiatry 2023, 94, 467–473. [Google Scholar] [CrossRef]
- Dos Santos, J.B.R.; Gomes, R.M.; da Silva, M.R.R. Abdeg technology for the treatment of myasthenia gravis: Efgartigimod drug experience. Expert. Rev. Clin. Immunol. 2022, 18, 879–888. [Google Scholar] [CrossRef]
- Suzuki, S.; Uzawa, A.; Murai, H. Efgartigimod for generalized myasthenia gravis with or without anti-acetylcholine receptor antibodies: A worldwide and Japanese perspective. Exp. Rev. Clin. Immunol. 2022, 18, 1207–1215. [Google Scholar] [CrossRef] [PubMed]
- Howard, J.F., Jr.; Bril, V.; Vu, T.; Karam, C.; Peric, S.; Margania, T.; Murai, H.; Bilinska, M.; Shakarishvili, R.; Smilowski, M.; et al. Safety, efficacy, and tolerability of efgartigimod in patients with randomized myasthenia gravis (ADAPT): A multicentre, randomized, placebo-controlled, phase 3 trial. Lancet Neurol. 2021, 20, 526–536. [Google Scholar] [CrossRef] [PubMed]
- Ulrichts, P.; Guglietta, A.; Dreier, T.; van Bragt, T.; Hanssens, V.; Hofman, E.; Vankerckhoven, B.; Verheesen, P.; Ongenae, N.; Lykhopiy, V.; et al. Neonatal Fc receptor antagonist efgartigimod safely and sustainably reduces IgGs in humans. J. Clin. Investig. 2018, 128, 4372–4386. [Google Scholar] [CrossRef] [PubMed]
- Howard, J.F., Jr.; Bril, V.; Vu, T.; Karam, C.; Peric, S.; De Bleecker, J.L.; Murai, H.; Meisel, A.; Beydoun, S.R.; Pasnoor, M.; et al. Long-term safety, tolerability, and efficacy of efgartigimod (ADAPT+): Interim results from a phase 3 open label extension study in participants with generalized myasthenia gravis. Front. Neurol. 2024, 14, 1284444. [Google Scholar] [CrossRef]
- Howard, J.; Bril, V.; Vu, T.; Karam, C.; Peric, S.; De Bleecker, J.; Murai, H.; Meisel, A.; Beydoun, S.; Pasnoor, M.; et al. Long-term safety, tolerability and efficacy of efgartigimod in patients with generalized myasthenia gravis: Interim results of the ADAPT + study. In Proceedings of the AANEM 2022, Nashville, TN, USA, 21–24 September 2022. Abstract 108. [Google Scholar]
- Law, N.; Davio, K.; Blunck, M.; Lobban, D.; Seddik, K. The lived experience of myasthenia gravis: A patient-led analysis. Neurol. Ther. 2021, 10, 1103–1125. [Google Scholar] [CrossRef] [PubMed]
- Jaretzki, A., 3rd; Barohn, R.J.; Ernstoff, R.M.; Kaminski, H.J.; Keesey, J.C.; Penn, A.S.; Sanders, D.B. Myasthenia gravis: Recommendations for clinical research standards. Neurology 2000, 55, 16–23. [Google Scholar] [PubMed]
- Sivadasan, A.; Bril, V. Clinical efficacy and safety of efgartigimod for treatment of myasthenia gravis. Immunotherapy 2023, 15, 553–563. [Google Scholar] [CrossRef]
- Broome, C.M.; McDonald, V.; Miyakawa, Y.; Carpenedo, M.; Kuter, D.J.; Al-Samkari, H.; Bussel, J.B.; Godar, M.; Ayguasanosa, J.; De Beuf, K.; et al. Efficacy and safety of the neonatal Fc receptor inhibitor efgartigimod in adults with primary immune thrombocytopenia (ADVANCE IV): A multicenter, randomized, placebo-controlled, phase 3 trial. Lancet 2023, 402, 1648–1659. [Google Scholar] [CrossRef] [PubMed]
- Heo, Y.A. Efgartigimod: First approval. Drugs 2022, 82, 341–348, Erratum in Drugs 2022, 82, 611. [Google Scholar] [CrossRef]
- Furst, D.E. Serum immunoglobulins and risk of infection: How low can you go? Semin. Arthritis Rheum. 2009, 39, 18–29. [Google Scholar] [CrossRef]
- Desar, I.M.E.; Van Deuren, M.; Sprong, T.; Jansen, J.B.M.J.; Namavar, F.; Vandenbroucke-Grauls, C.M.; Van Der Meer, J.W.M. Serum bactericidal activity against Helicobacter pylori in patients with hypogammaglobulinaemia. Clin. Exp. Immunol. 2009, 156, 434–439. [Google Scholar] [CrossRef] [PubMed]
- Aromaa, A.; Kosunen, T.U.; Knekt, P.; Maatela, J.; Teppo, L.; Heinonen, O.P.; Nen, M.H.R.; Hakama, M.K. Circulating anti-Helicobacter pylori immunoglobulin A antibodies and low serum pepsinogen I level are associated with increased risk of gastric cancer. Am. J. Epidemiol. 1996, 144, 142–149. [Google Scholar] [CrossRef] [PubMed]
- Frangiamore, R.; Rinaldi, E.; Vanoli, F.; Andreetta, F.; Ciusani, E.; Bonanno, S.; Maggi, L.; Gallone, A.; Colasuonno, A.; Tramacere, I.; et al. Efgartigimod in generalized myasthenia gravis: A real-life experience at a national reference center. Eur. J. Neurol. 2024, 31, e16189. [Google Scholar] [CrossRef] [PubMed]
- Suzuki, S.; Murai, H.; Imai, T.; Nagane, Y.; Masuda, M.; Tsuda, E.; Konno, S.; Oji, S.; Nakane, S.; Motomura, M.; et al. Quality of life in purely ocular myasthenia in Japan. BMC Neurol. 2014, 14, 142. [Google Scholar] [CrossRef]
- Bril, V.; Howard, J.F., Jr.; Karam, C.; De Bleecker, J.L.; Murai, H.; Utsugisawa, K.; Ulrichts, P.; Brauer, E.; Zhao, S.; Mantegazza, R.; et al. Effect of efgartigimod on muscle group subdomains in participants with generalized myasthenia gravis: Post hoc analyses of the phase 3 pivotal ADAPT study. Eur. J. Neurol. 2024, 31, e16098. [Google Scholar] [CrossRef]
- Watanabe, K.; Ohashi, S.; Watanabe, T.; Kakinuma, Y.; Kinno, R. Case report: Recovery from refractory myasthenic crisis to minimal symptom expression after add-on treatment with efgartigimod. Front. Neurol. 2024, 15, 1321058. [Google Scholar] [CrossRef]
- Suzuki, S.; Uzawa, A.; Nagane, Y.; Masuda, M.; Konno, S.; Kubota, T.; Samukawa, M.; Ishizuchi, K.; Tokuyasu, D.; Handa, H.; et al. Therapeutic Responses to Efgartigimod for Generalized Myasthenia Gravis in Japan. Neurol. Clin. Pract. 2024, 14, e200276. [Google Scholar] [CrossRef]
- Cella, D.; Lai, J.S.; Nowinski, C.J.; Victorson, D.; Peterman, A.; Miller, D.; Bethoux, F.; Heinemann, A.; Rubin, S.; Cavazos, J.E.; et al. Neuro-QOL: Brief measures of health-related quality of life for clinical research in neurology. Neurology 2012, 78, 1860–1867. [Google Scholar] [CrossRef]
- Weiss, M.D.; Freimer, M.; Leite, M.I.; Maniaol, A.; Utsugisawa, K.; Bloemers, J.; Boroojerdi, B.; Howard, E.; Savic, N.; Howard, J.F. Improvement of fatigue in generalised myasthenia gravis with zilucoplan. J. Neurol. 2024, 271, 2758–2767. [Google Scholar] [CrossRef]
- Di Stefano, V.; Alonge, P.; Rini, N.; Militello, M.; Lupica, A.; Torrente, A.; Brighina, F. Efgartigimod beyond myasthenia gravis: The role of FcRn-targeting therapies in stiff-person syndrome. J. Neurol. 2024, 27, 254–262. [Google Scholar] [CrossRef]
- Di Stefano, V.; Iacono, S.; Militello, M.; Leone, O.; Rispoli, M.G.; Ferri, L.; Ajdinaj, P.; Lanza, P.; Lupica, A.; Crescimanno, G.; et al. Comorbidity in myasthenia gravis: Multi-centric, hospital-based, and controlled study of 178 Italian patients. Neurol. Sci. 2024, 22. [Google Scholar] [CrossRef] [PubMed]



Disclaimer/Publisher’s Note: The statements, opinions and data contained in all publications are solely those of the individual author(s) and contributor(s) and not of MDPI and/or the editor(s). MDPI and/or the editor(s) disclaim responsibility for any injury to people or property resulting from any ideas, methods, instructions or products referred to in the content. |
© 2024 by the authors. Licensee MDPI, Basel, Switzerland. This article is an open access article distributed under the terms and conditions of the Creative Commons Attribution (CC BY) license (https://creativecommons.org/licenses/by/4.0/).
Share and Cite
Konno, S.; Uchi, T.; Kihara, H.; Sugimoto, H. Real-World Case Series of Efgartigimod for Japanese Generalized Myasthenia Gravis: Well-Tailored Treatment Cycle Intervals Contribute to Sustained Symptom Control. Biomedicines 2024, 12, 1214. https://doi.org/10.3390/biomedicines12061214
Konno S, Uchi T, Kihara H, Sugimoto H. Real-World Case Series of Efgartigimod for Japanese Generalized Myasthenia Gravis: Well-Tailored Treatment Cycle Intervals Contribute to Sustained Symptom Control. Biomedicines. 2024; 12(6):1214. https://doi.org/10.3390/biomedicines12061214
Chicago/Turabian StyleKonno, Shingo, Takafumi Uchi, Hideo Kihara, and Hideki Sugimoto. 2024. "Real-World Case Series of Efgartigimod for Japanese Generalized Myasthenia Gravis: Well-Tailored Treatment Cycle Intervals Contribute to Sustained Symptom Control" Biomedicines 12, no. 6: 1214. https://doi.org/10.3390/biomedicines12061214
APA StyleKonno, S., Uchi, T., Kihara, H., & Sugimoto, H. (2024). Real-World Case Series of Efgartigimod for Japanese Generalized Myasthenia Gravis: Well-Tailored Treatment Cycle Intervals Contribute to Sustained Symptom Control. Biomedicines, 12(6), 1214. https://doi.org/10.3390/biomedicines12061214

