Exploring the Impact of Cytogenetic Abnormalities on Treatment Responses and Survival Outcomes in Multiple Myeloma: A Single-Centre Experience of 13 Years of Follow-Up
Abstract
1. Introduction
2. Materials and Methods
2.1. Study Design and Participants
2.2. Inclusion and Exclusion Criteria
2.3. Risk Scale (R-ISS)
2.4. Cytogenetic Abnormalities Analyses
2.5. Treatment Response Assessment
2.6. Statistical Analysis
3. Results
Patient Characteristics
4. Discussion
5. Conclusions
Author Contributions
Funding
Institutional Review Board Statement
Informed Consent Statement
Data Availability Statement
Acknowledgments
Conflicts of Interest
References
- Heider, M.; Nickel, K.; Högner, M.; Bassermann, F. Multiple Myeloma: Molecular Pathogenesis and Disease Evolution. Oncol. Res. Treat 2021, 44, 672–681. [Google Scholar] [CrossRef] [PubMed]
- Padala, S.A.; Barsouk, A.; Barsouk, A.; Rawla, P.; Vakiti, A.; Kolhe, R.; Kota, V.; Ajebo, G.H. Epidemiology, Staging, and Management of Multiple Myeloma. Med. Sci. 2021, 9, 3. [Google Scholar] [CrossRef] [PubMed]
- Puertas, B.; González-Calle, V.; Sobejano-Fuertes, E.; Escalante, F.; Queizán, J.A.; Bárez, A.; Labrador, J.; Alonso-Alonso, J.M.; García de Coca, A.; Cantalapiedra, A.; et al. Novel Agents as Main Drivers for Continued Improvement in Survival in Multiple Myeloma. Cancers 2023, 15, 1558. [Google Scholar] [CrossRef] [PubMed]
- Rodriguez-Otero, P.; Paiva, B.; San-Miguel, J.F. Roadmap to cure multiple myeloma. Cancer Treat Rev. 2021, 100, 102284. [Google Scholar] [CrossRef] [PubMed]
- Binder, M.; Rajkumar, S.V.; Ketterling, R.P.; Greipp, P.T.; Dispenzieri, A.; Lacy, M.Q.; Gertz, M.A.; Buadi, F.K.; Hayman, S.R.; Hwa, Y.L.; et al. Prognostic implications of abnormalities of chromosome 13 and the presence of multiple cytogenetic high-risk abnormalities in newly diagnosed multiple myeloma. Blood Cancer J. 2017, 7, e600. [Google Scholar] [CrossRef] [PubMed]
- Rajkumar, S.V. Multiple myeloma: 2020 update on diagnosis, risk-stratification and management. Am. J. Hematol. 2020, 95, 548–567. [Google Scholar] [CrossRef] [PubMed]
- Burwick, N.; Sharma, S. Glucocorticoids in multiple myeloma: Past, present, and future. Ann. Hematol. 2019, 98, 19–28. [Google Scholar] [CrossRef] [PubMed]
- Poczta, A.; Rogalska, A.; Marczak, A. Treatment of Multiple Myeloma and the Role of Melphalan in the Era of Modern Therapies—Current Research and Clinical Approaches. J. Clin. Med. 2021, 10, 1841. [Google Scholar] [CrossRef] [PubMed]
- Firth, J. Haematology: Multiple myeloma. Clin. Med. 2019, 19, 58–60. [Google Scholar] [CrossRef]
- Hanamura, I. Multiple myeloma with high-risk cytogenetics and its treatment approach. Int. J. Hematol. 2022, 115, 762–777. [Google Scholar] [CrossRef]
- Biran, N.; Gill, S.; Norden, A.D.; Vesole, D.H.; Stephen, W.G.; Nahum, K.D.; Siegel, D.S.; Goldberg, S.L. Multiple Myeloma Staging in Real World Clinical Practice Is Suboptimal: Absence of Beta-2-Microglobulin and Serum Lactase Dehydrogenase Testing Are Limiting Factors. Blood 2018, 132, 5587. [Google Scholar] [CrossRef]
- Palumbo, A.; Avet-Loiseau, H.; Oliva, S.; Lokhorst, H.M.; Goldschmidt, H.; Rosinol, L.; Richardson, P.; Caltagirone, S.; Lahuerta, J.J.; Facon, T.; et al. Revised International Staging System for Multiple Myeloma: A Report From International Myeloma Working Group. J. Clin. Oncol. 2015, 33, 2863–2869. [Google Scholar] [CrossRef]
- Kazandjian, D. Multiple myeloma epidemiology and survival: A unique malignancy. Semin. Oncol. 2016, 43, 676–681. [Google Scholar] [CrossRef]
- Basile, U.; Gulli, F.; Isgrò, M.A.; Napodano, C.; Pocino, K.; Santini, S.A.; Gragnani, L.; Conti, L.; Rossi, E.; Cordone, I.; et al. A novel biomarker score for the screening and management of patients with plasma cell proliferative disorders. Eur. Rev. Med. Pharmacol. Sci. 2019, 23, 4293–4302. [Google Scholar] [PubMed]
- Liu, Y.S.; Liu, X.B.; Qiu, Y.Y.; Lan, T.; Chen, Y. Molecular mechanism of Wnt signal pathway in multiple myeloma cell line H929 cell autophagy. Eur. Rev. Med. Pharmacol. Sci. 2018, 22, 3327–3332. [Google Scholar] [PubMed]
- Sonneveld, P.; Avet-Loiseau, H.; Lonial, S.; Usmani, S.; Siegel, D.; Anderson, K.C.; Chng, W.J.; Moreau, P.; Attal, M.; Kyle, R.A.; et al. Treatment of multiple myeloma with high-risk cytogenetics: A consensus of the International Myeloma Working Group. Blood 2016, 127, 2955–2962. [Google Scholar] [CrossRef]
- Painuly, U.; Ramakrishnan, V.; Kimlinger, T.; Wellik, L.; Haug, J.; Gonsalves, W.; Bi, L.; Huang, Z.; Rajkumar, S.V.; Kumar, S. Aurora kinase and FGFR3 inhibition results in significant apoptosis in molecular subgroups of multiple myeloma. Oncotarget 2018, 9, 34582–34594. [Google Scholar] [CrossRef] [PubMed][Green Version]
- Chakraborty, R.; Muchtar, E.; Kumar, S.K.; Buadi, F.K.; Dingli, D.; Dispenzieri, A.; Hayman, S.R.; Hogan, W.J.; Kapoor, P.; Lacy, M.Q.; et al. Outcomes of maintenance therapy with lenalidomide or bortezomib in multiple myeloma in the setting of early autologous stem cell transplantation. Leukemia 2018, 32, 712–718. [Google Scholar] [CrossRef] [PubMed]
- Jagannath, S.; Abonour, R.; Durie, B.G.M.; Narang, M.; Terebelo, H.R.; Gasparetto, C.J.; Toomey, K.; Hardin, J.W.; Wagner, L.; Agarwal, A.; et al. Impact of post-ASCT maintenance therapy on outcomes in patients with newly diagnosed multiple myeloma in Connect MM. Blood Adv. 2018, 2, 1608–1615. [Google Scholar] [CrossRef]
- Rasche, L.; Kortüm, K.M.; Raab, M.S.; Weinhold, N. The Impact of Tumor Heterogeneity on Diagnostics and Novel Therapeutic Strategies in Multiple Myeloma. Int. J. Mol. Sci. 2019, 20, 1248. [Google Scholar] [CrossRef]
- Manier, S.; Salem, K.Z.; Park, J.; Landau, D.A.; Getz, G.; Ghobrial, I.M. Genomic complexity of multiple myeloma and its clinical implications. Nat. Rev. Clin. Oncol. 2017, 14, 100–113. [Google Scholar] [CrossRef]
- Srour, S.A.; Saliba, R.M.; Bashir, Q.; Popat, U.R.; Ahmed, S.; Mehta, R.S.; Delgado, R.; Rondon, G.; Parmar, S.; Kebriaei, P.; et al. Influence of Overlapping Genetic Abnormalities on Treatment Outcomes of Multiple Myeloma. Transplant. Cell. Ther. 2021, 27, 243.e1–243.e6. [Google Scholar] [CrossRef]
- Chawla, S.S.; Kumar, S.K.; Dispenzieri, A.; Greenberg, A.J.; Larson, D.R.; Kyle, R.A.; Lacy, M.Q.; Gertz, M.A.; Rajkumar, S.V. Clinical course and prognosis of non-secretory multiple myeloma. Eur. J. Haematol. 2015, 95, 57–64. [Google Scholar] [CrossRef]
- Rajkumar, S.V. Multiple myeloma: 2022 update on diagnosis, risk stratification, and management. Am. J. Hematol. 2022, 97, 1086–1107. [Google Scholar] [CrossRef] [PubMed]
- Jackson, G.H.; Davies, F.E.; Pawlyn, C.; Cairns, D.A.; Striha, A.; Collett, C.; Hockaday, A.; Jones, J.R.; Kishore, B.; Garg, M.; et al. Lenalidomide maintenance versus observation for patients with newly diagnosed multiple myeloma (Myeloma XI): A multicentre, open-label, randomised, phase 3 trial. Lancet Oncol. 2019, 20, 57–73. [Google Scholar] [CrossRef] [PubMed]
- Rosiñol, L.; Oriol, A.; Rios, R.; Sureda, A.; Blanchard, M.J.; Hernández, M.T.; Martínez-Martínez, R.; Moraleda, J.M.; Jarque, I.; Bargay, J.; et al. Bortezomib, lenalidomide, and dexamethasone as induction therapy prior to autologous transplant in multiple myeloma. Blood 2019, 134, 1337–1345. [Google Scholar] [CrossRef]
- Pasvolsky, O.; Gaballa, M.R.; Milton, D.R.; Masood, A.; Sami, S.S.; Tanner, M.R.; Bashir, Q.; Srour, S.; Saini, N.; Ramdial, J.; et al. Autologous Stem Cell Transplantation for Patients with Multiple Myeloma with Translocation (4;14): The MD Anderson Cancer Center Experience. Transplant. Cell. Ther. 2023, 29, 260.e1–260.e6. [Google Scholar] [CrossRef]
- El-Ghammaz, A.M.S.; Abdelwahed, E. Bortezomib-based induction improves progression-free survival of myeloma patients harboring 17p deletion and/or t(4;14) and overcomes their adverse prognosis. Ann. Hematol. 2016, 95, 1315–1321. [Google Scholar] [CrossRef] [PubMed]
- Zhuang, Z.; Tian, Y.; Shi, L.; Zou, D.; Feng, R.; Tian, W.W.; Yu, H.; Dong, F.; Liao, A.; Ma, Y.; et al. Lenalidomide or bortezomib as maintenance treatment remedy the inferior impact of high-risk cytogenetic abnormalities in non-transplant patients with newly diagnosed multiple myeloma: A real-world multi-centered study in China. Front. Oncol. 2023, 13, 1028571. [Google Scholar] [CrossRef]
- Puertas, B.; González-Calle, V.; Sobejano-Fuertes, E.; Escalante, F.; Rey-Bua, B.; Padilla, I.; García-Sanz, R.; Puig, N.; Gutiérrez, N.C.; Mateos, M.-V. Multiple myeloma with t(11;14): Impact of novel agents on outcome. Blood Cancer J. 2023, 13, 40. [Google Scholar] [CrossRef]


| Age Median (Min–Max) | 59.0 (29–84) | ||
|---|---|---|---|
| n | % | ||
| Sex | Female Male | 25 43 | 36.8 63.2 |
| Age groups | <65 years ≥65 years | 22 46 | 32.4 67.6 |
| Light-chain status | Kappa Lambda | 55 13 | 80.9 19.1 |
| Ig type | Ig A Ig G Negative | 13 35 20 | 19.1 51.5 29.4 |
| ISS stage | Stage 1 Stage 2 Stage 3 | 2 42 24 | 2.9 61.8 35.3 |
| Cytogenetic Abnormalities | t(4;14) t(11;14) del(13q14) t(11;14) + del(13q14) | 9 12 12 4 | 13.2 17.6 17.6 5.9 |
| Chemotherapies | VD VCD VRD VAD | 10 32 10 16 | 14.7 47.1 14.7 23.5 |
| Responses | Response No response | 41 27 | 60.3 39.7 |
| Survival Function | Alive Deceased | 24 44 | 35.3 64.7 |
| Treatment Response n (%) | p | |||
|---|---|---|---|---|
| Present n: 27 | Absent n: 41 | |||
| Gender | Female Male | 8(29.6) 19(70.4) | 17(41.5) 24(58.5) | 0.322 |
| Light-Chain Status | Kappa Lambda | 21(77.8) 6(22.2) | 34(82.9) 7(17.1) | 0.597 |
| IG Type | IgA IgG Negative | 5(18.5) 18(66.7) 4(14.8) | 8(19.5) 17(41.5) 16(39.0) | 0.072 |
| Age Subgroup at Diagnosis | <65 years ≥65 years | 18(66.7) 9(33.3) | 28(68.3) 13(31.7) | 0.88 |
| ISS Stage | Stage 1 Stage 2 Stage 3 | 1(3.7) 19(70.4) 7(25.9) | 1(2.4) 23(56.1) 17(41.5) | 0.407 * |
| Genetic Abnormalities | p53 t(4;14) t(11;14) del(13q14) t(11;14) + del(13q14) | 15(55.6) 3(11.1) 2(7.4) 6(22.2) 1(3.7) | 16(39.0) 6(14.6) 10(24.4) 6(14.6) 3(7.3) | 0.322 * |
| Treatment Initiated | VD VCD VRD VAD | 5(18.5) 11(40.7) 5(18.5) 6(22.2) | 5(12.2) 21(51.2) 5(12.2) 10(24.4) | 0.729 * |
| Follow-up Period | 78.5 months | 51.6 months | 0.046 | |
| Mortality n (%) | ||||
|---|---|---|---|---|
| No n: 24 | Yes n: 44 | p | ||
| Age groups | <65 years ≥65 years | 7(29.2) 17(70.8) | 15(34.1) 29(65.9) | 0.886 |
| Sex | Female Male | 9(37.5) 15(62.5) | 16(36.4) 28(63.6) | 1.000 |
| Light-Chain Status | Kappa Lambda | 19(79.2) 5(21.8) | 36(81.8) 8(18.2) | 1.000 |
| IG Type | Ig A Ig G Negative | 5(20.8) 11(45.8) 8(33.3) | 8(18.2) 24(54.5) 12(27.3) | 0.787 |
| ISS Stage | Stage 1 Stage 2 Stage 3 | 1(4.2) 15(62.5) 8(33.3) | 1(2.3) 27(61.4) 16(36.4) | 1.000 |
| Genetic Abnormalities | P53 t(4;14) t(11;14) 13q14 del t(11;14) + del(13q14) | 12(50.0) 4(16.7) 5(20.8) 2(8.3) 1(4.2) | 19(43.2) 5(11.4) 7(15.9) 10(22.7) 3(6.8) | 0.637 |
| Treatment | VD VCD VRD VAD | 3(12.5) 10(41.7) 8(33.3) 24(100.0) | 7(15.9) 22(50.0) 2(4.6) 44(100.0) | 0.014 |
| Treatment Response | Response No response | 13(54.2) 11(45.8) | 14(31.8) 30(68.2) | 0.123 |
| Cytogenetic abnormality risk | High risk Low risk | 16(66.7) 8(33.3) | 24(54.5) 20(45.5) | 0.476 |
| Survival rate according to treatment | With bortezomib Without bortezomib | 21(87.5) 3(12.5) | 31(70.5) 13(29.5) | 0.199 |
| With cylophosphamide Without cylophosphamide | 10(41.7) 14(58.3) | 22(50.0) 22(50.0) | 0.686 | |
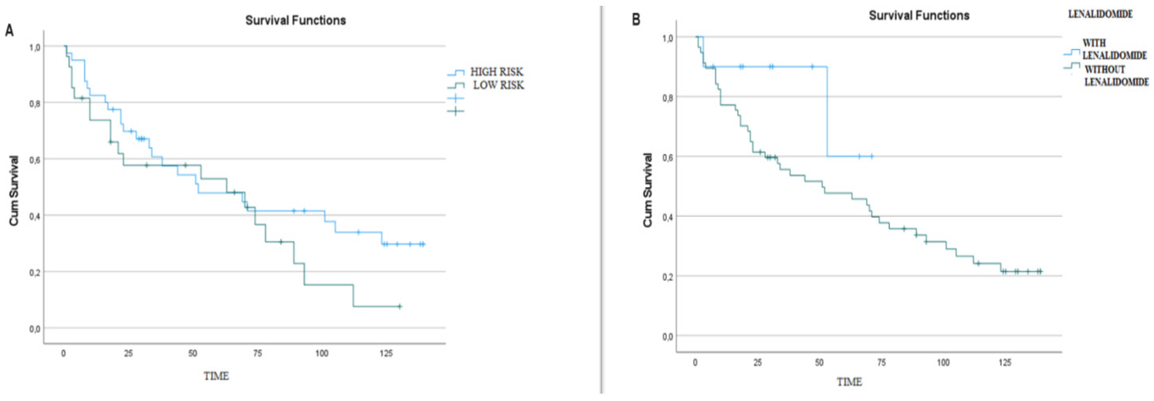
| With lenalidomide Without lenalidomide | 8(33.3) 16(66.7) | 2(4.5) 42(95.5) | 0.003 | |
| Mean Survival Time | p-Value | ||||
|---|---|---|---|---|---|
| Estimate | S.D. | %95 CI | |||
| Lower Bound | Upper Bound | ||||
| Lenalidomide (+) | 58.800 | 7.351 | 44.392 | 73.208 | 0.197 |
| Lenalidomide (−) | 63.262 | 6.978 | 49.586 | 76.939 | |
Disclaimer/Publisher’s Note: The statements, opinions and data contained in all publications are solely those of the individual author(s) and contributor(s) and not of MDPI and/or the editor(s). MDPI and/or the editor(s) disclaim responsibility for any injury to people or property resulting from any ideas, methods, instructions or products referred to in the content. |
© 2024 by the authors. Licensee MDPI, Basel, Switzerland. This article is an open access article distributed under the terms and conditions of the Creative Commons Attribution (CC BY) license (https://creativecommons.org/licenses/by/4.0/).
Share and Cite
Kazgı, M.A.; Bayram, E.; Kosecı, T.; Mete, B.; Toyran, T.; Ergin, M.; Kara, I.O. Exploring the Impact of Cytogenetic Abnormalities on Treatment Responses and Survival Outcomes in Multiple Myeloma: A Single-Centre Experience of 13 Years of Follow-Up. Biomedicines 2024, 12, 1014. https://doi.org/10.3390/biomedicines12051014
Kazgı MA, Bayram E, Kosecı T, Mete B, Toyran T, Ergin M, Kara IO. Exploring the Impact of Cytogenetic Abnormalities on Treatment Responses and Survival Outcomes in Multiple Myeloma: A Single-Centre Experience of 13 Years of Follow-Up. Biomedicines. 2024; 12(5):1014. https://doi.org/10.3390/biomedicines12051014
Chicago/Turabian StyleKazgı, Mehmet Ali, Ertugrul Bayram, Tolga Kosecı, Burak Mete, Tugba Toyran, Melek Ergin, and Ismail Oguz Kara. 2024. "Exploring the Impact of Cytogenetic Abnormalities on Treatment Responses and Survival Outcomes in Multiple Myeloma: A Single-Centre Experience of 13 Years of Follow-Up" Biomedicines 12, no. 5: 1014. https://doi.org/10.3390/biomedicines12051014
APA StyleKazgı, M. A., Bayram, E., Kosecı, T., Mete, B., Toyran, T., Ergin, M., & Kara, I. O. (2024). Exploring the Impact of Cytogenetic Abnormalities on Treatment Responses and Survival Outcomes in Multiple Myeloma: A Single-Centre Experience of 13 Years of Follow-Up. Biomedicines, 12(5), 1014. https://doi.org/10.3390/biomedicines12051014

