Circulating Serum Micro-RNA as Non-Invasive Diagnostic Biomarkers of Endometriosis
Abstract
1. Introduction
2. Materials and Methods
2.1. Patients and Biological Samples
2.2. RNA Extraction
2.3. Serum miRNA Profiling by TaqMan OpenArray® System
2.4. Data Analysis
2.4.1. miRNA Preprocessing
2.4.2. miRNA Differential Expression Analysis
2.4.3. Pathway Analysis
3. Results
3.1. Serum miRNA Profiles
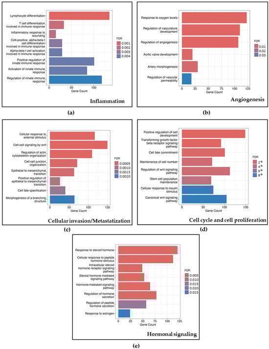
3.2. Identification and Functional Analysis of miRNA Target Genes
4. Discussion
5. Conclusions
Supplementary Materials
Author Contributions
Funding
Institutional Review Board Statement
Informed Consent Statement
Data Availability Statement
Acknowledgments
Conflicts of Interest
References
- Anastasiu, C.V.; Moga, M.A.; Neculau, A.E.; Bălan, A.; Scârneciu, I.; Dragomir, R.M.; Dull, A.M.; Chicea, L.M. Biomarkers for the Noninvasive Diagnosis of Endometriosis: State of the Art and Future Perspectives. Int. J. Mol. Sci. 2020, 21, 1750. [Google Scholar] [CrossRef]
- Chapron, C.; Marcellin, L.; Borghese, B.; Santulli, P. Rethinking Mechanisms, Diagnosis and Management of Endometriosis. Nat. Rev. Endocrinol. 2019, 15, 666–682. [Google Scholar] [CrossRef] [PubMed]
- Giudice, L.C.; Kao, L.C. Endometriosis. Lancet 2004, 364, 1789–1799. [Google Scholar] [CrossRef] [PubMed]
- Taylor, H.S.; Kotlyar, A.M.; Flores, V.A. Endometriosis Is a Chronic Systemic Disease: Clinical Challenges and Novel Innovations. Lancet 2021, 397, 839–852. [Google Scholar] [CrossRef] [PubMed]
- Dunselman, G.A.J.; Vermeulen, N.; Becker, C.; Calhaz-Jorge, C.; D’Hooghe, T.; De Bie, B.; Heikinheimo, O.; Horne, A.W.; Kiesel, L.; Nap, A.; et al. ESHRE Guideline: Management of Women with Endometriosis. Hum. Reprod. 2014, 29, 400–412. [Google Scholar] [CrossRef] [PubMed]
- Culley, L.; Law, C.; Hudson, N.; Denny, E.; Mitchell, H.; Baumgarten, M.; Raine-Fenning, N. The Social and Psychological Impact of Endometriosis on Women’s Lives: A Critical Narrative Review. Hum. Reprod. Update 2013, 19, 625–639. [Google Scholar] [CrossRef]
- Pascoal, E.; Wessels, J.M.; Aas-Eng, M.K.; Abrao, M.S.; Condous, G.; Jurkovic, D.; Espada, M.; Exacoustos, C.; Ferrero, S.; Guerriero, S.; et al. Strengths and Limitations of Diagnostic Tools for Endometriosis and Relevance in Diagnostic Test Accuracy Research. Ultrasound Obstet. Gynecol. 2022, 60, 309–327. [Google Scholar] [CrossRef]
- Smolarz, B.; Szyłło, K.; Romanowicz, H. Endometriosis: Epidemiology, Classification, Pathogenesis, Treatment and Genetics (Review of Literature). Int. J. Mol. Sci. 2021, 22, 10554. [Google Scholar] [CrossRef]
- Wang, P.H.; Yang, S.T.; Chang, W.H.; Liu, C.H.; Lee, F.K.; Lee, W.L. Endometriosis: Part I. Basic Concept. Taiwan. J. Obs. Gynecol. 2022, 61, 927–934. [Google Scholar] [CrossRef]
- Vanhie, A.; Dorien, O.; Peterse, D.; Beckers, A.; Cuéllar, A.; Fassbender, A.; Meuleman, C.; Mestdagh, P.; D’Hooghe, T. Plasma MiRNAs as Biomarkers for Endometriosis. Hum. Reprod. 2019, 34, 1650–1660. [Google Scholar] [CrossRef]
- Koninckx, P.R.; Fernandes, R.; Ussia, A.; Schindler, L.; Wattiez, A.; Al-Suwaidi, S.; Amro, B.; Al-Maamari, B.; Hakim, Z.; Tahlak, M. Pathogenesis Based Diagnosis and Treatment of Endometriosis. Front. Endocrinol. 2021, 12, 745548. [Google Scholar] [CrossRef] [PubMed]
- Nikanjam, M.; Kato, S.; Kurzrock, R. Liquid Biopsy: Current Technology and Clinical Applications. J. Hematol. Oncol. 2022, 15, 131. [Google Scholar] [CrossRef] [PubMed]
- Burghaus, S.; Drazic, P.; Wölfler, M.; Mechsner, S.; Zeppernick, M.; Meinhold-Heerlein, I.; Mueller, M.D.; Rothmund, R.; Vigano, P.; Becker, C.M.; et al. Multicenter Evaluation of Blood-Based Biomarkers for the Detection of Endometriosis and Adenomyosis: A Prospective Non-Interventional Study. Int. J. Gynecol. Obstet. 2023, 164, 305–314. [Google Scholar] [CrossRef]
- Ahn, S.H.; Singh, V.; Tayade, C. Biomarkers in Endometriosis: Challenges and Opportunities. Fertil. Steril. 2017, 107, 523–532. [Google Scholar] [CrossRef] [PubMed]
- Hammond, S.M. An Overview of MicroRNAs. Adv. Drug Deliv. Rev. 2015, 87, 3–14. [Google Scholar] [CrossRef] [PubMed]
- Santamaria, X.; Taylor, H. MicroRNA and Gynecological Reproductive Diseases. Fertil. Steril. 2014, 101, 1545–1551. [Google Scholar] [CrossRef]
- Bjorkman, S.; Taylor, H.S. MicroRNAs in Endometriosis: Biological Function and Emerging Biomarker Candidates. Biol. Reprod. 2019, 100, 1135–1146. [Google Scholar] [CrossRef]
- Bendifallah, S.; Dabi, Y.; Suisse, S.; Jornea, L.; Bouteiller, D.; Touboul, C.; Puchar, A.; Daraï, E. MicroRNome Analysis Generates a Blood-Based Signature for Endometriosis. Sci. Rep. 2022, 12, 4051. [Google Scholar] [CrossRef]
- Bendifallah, S.; Dabi, Y.; Suisse, S.; Delbos, L.; Poilblanc, M.; Descamps, P.; Golfier, F.; Jornea, L.; Bouteiller, D.; Touboul, C.; et al. Endometriosis Associated-MiRNome Analysis of Blood Samples: A Prospective Study. Diagnostics 2022, 12, 1150. [Google Scholar] [CrossRef]
- Bendifallah, S.; Suisse, S.; Puchar, A.; Delbos, L.; Poilblanc, M.; Descamps, P.; Golfier, F.; Jornea, L.; Bouteiller, D.; Touboul, C.; et al. Salivary MicroRNA Signature for Diagnosis of Endometriosis. J. Clin. Med. 2022, 11, 612. [Google Scholar] [CrossRef]
- Dabi, Y.; Suisse, S.; Jornea, L.; Bouteiller, D.; Touboul, C.; Puchar, A.; Daraï, E.; Bendifallah, S. Clues for Improving the Pathophysiology Knowledge for Endometriosis Using Serum Micro-RNA Expression. Diagnostics 2022, 12, 175. [Google Scholar] [CrossRef] [PubMed]
- Dabi, Y.; Suisse, S.; Puchar, A.; Delbos, L.; Poilblanc, M.; Descamps, P.; Haury, J.; Golfier, F.; Jornea, L.; Bouteiller, D.; et al. Endometriosis-Associated Infertility Diagnosis Based on Saliva MicroRNA Signatures. Reprod. Biomed. Online 2023, 46, 138–149. [Google Scholar] [CrossRef] [PubMed]
- Moustafa, S.; Burn, M.; Mamillapalli, R.; Nematian, S.; Flores, V.; Taylor, H.S. Accurate Diagnosis of Endometriosis Using Serum MicroRNAs. Am. J. Obs. Gynecol. 2020, 223, e1–e557. [Google Scholar] [CrossRef] [PubMed]
- Nisenblat, V.; Sharkey, D.J.; Wang, Z.; Evans, S.F.; Healey, M.; Ohlsson Teague, E.M.C.; Print, C.G.; Robertson, S.A.; Hull, M.L. Plasma MiRNAs Display Limited Potential as Diagnostic Tools for Endometriosis. J. Clin. Endocrinol. Metab. 2019, 104, 1999–2022. [Google Scholar] [CrossRef]
- Nothnick, W.B.; Falcone, T.; Joshi, N.; Fazleabas, A.T.; Graham, A. Serum MiR-451a Levels Are Significantly Elevated in Women With Endometriosis and Recapitulated in Baboons (Papio Anubis) With Experimentally-Induced Disease. Reprod. Sci. 2017, 24, 1195–1202. [Google Scholar] [CrossRef]
- Wang, F.; Wang, H.; Jin, D.; Zhang, Y. Serum MiR-17, IL-4, and IL-6 Levels for Diagnosis of Endometriosis. Medicine 2018, 97, e10853. [Google Scholar] [CrossRef]
- Langhe, R.; Norris, L.; Saadeh, F.A.; Blackshields, G.; Varley, R.; Harrison, A.; Gleeson, N.; Spillane, C.; Martin, C.; O’Donnell, D.M.; et al. A Novel Serum MicroRNA Panel to Discriminate Benign from Malignant Ovarian Disease. Cancer Lett. 2015, 356, 628–636. [Google Scholar] [CrossRef]
- Xie, F.; Wang, J.; Zhang, B. RefFinder: A Web-Based Tool for Comprehensively Analyzing and Identifying Reference Genes. Funct. Integr. Genom. 2023, 23, 125. [Google Scholar] [CrossRef]
- Berger, L.; Hsu, J.C.; Liu, J.; Chow, S.-C. Bioequivalence Trials, Intersection-Union Tests and Equivalence Confidence Sets; Institute of Mathematical Statistics: Brisbane, Australia, 1996; Volume 11, pp. 306–312. [Google Scholar]
- Tobin, J. Estimation of Relationships for Limited Dependent Variables; The Econometric Society: New York, NY, USA, 1958; Volume 26, pp. 24–36. [Google Scholar]
- Rao, X.; Huang, X.; Zhou, Z.; Lin, X. An Improvement of the 2ˆ(-Delta Delta CT) Method for Quantitative Real-Time Polymerase Chain Reaction Data Analysis. Biostat. Bioinf.Biomath. 2013, 3, 71–85. [Google Scholar]
- Ru, Y.; Kechris, K.J.; Tabakoff, B.; Hoffman, P.; Radcliffe, R.A.; Bowler, R.; Mahaffey, S.; Rossi, S.; Calin, G.A.; Bemis, L.; et al. The MultiMiR R Package and Database: Integration of MicroRNA–Target Interactions along with Their Disease and Drug Associations. Nucleic Acids Res. 2014, 42, e133. [Google Scholar] [CrossRef]
- Kutmon, M.; Riutta, A.; Nunes, N.; Hanspers, K.; Willighagen, E.L.; Bohler, A.; Mélius, J.; Waagmeester, A.; Sinha, S.R.; Miller, R.; et al. WikiPathways: Capturing the Full Diversity of Pathway Knowledge. Nucleic Acids Res. 2016, 44, D488–D494. [Google Scholar] [CrossRef] [PubMed]
- Fan, Y.; Siklenka, K.; Arora, S.K.; Ribeiro, P.; Kimmins, S.; Xia, J. MiRNet—Dissecting MiRNA-Target Interactions and Functional Associations through Network-Based Visual Analysis. Nucleic Acids Res. 2016, 44, W135–W141. [Google Scholar] [CrossRef] [PubMed]
- Bendifallah, S.; Dabi, Y.; Suisse, S.; Delbos, L.; Spiers, A.; Poilblanc, M.; Golfier, F.; Jornea, L.; Bouteiller, D.; Fernandez, H.; et al. Validation of a Salivary MiRNA Signature of Endometriosis—Interim Data. NEJM Evid. 2023, 2, 7. [Google Scholar] [CrossRef] [PubMed]
- Rolla, E. Endometriosis: Advances and Controversies in Classification, Pathogenesis, Diagnosis, and Treatment [version 1; peer review: 4 approved]. F1000Res 2019, 8, F1000. [Google Scholar] [CrossRef]
- Neuhausser, W.M.; Faure-Kumar, E.; Mahurkar-Joshi, S.; Iliopoulos, D.; Sakkas, D. Identification of MiR-34-3p as a Candidate Follicular Phase Serum Marker for Endometriosis: A Pilot Study. F S Sci. 2022, 3, 269–278. [Google Scholar] [CrossRef]
- Cosar, E.; Mamillapalli, R.; Ersoy, G.S.; Cho, S.Y.; Seifer, B.; Taylor, H.S. Serum MicroRNAs as Diagnostic Markers of Endometriosis: A Comprehensive Array-Based Analysis. Fertil. Steril. 2016, 106, 402–409. [Google Scholar] [CrossRef]
- Yang, R.Q.; Teng, H.; Xu, X.H.; Liu, S.Y.; Wang, Y.H.; Guo, F.J.; Liu, X.J. Microarray Analysis of MicroRNA Deregulation and Angiogenesis-Related Proteins in Endometriosis. Genet. Mol. Res. 2016, 15, 15027826. [Google Scholar] [CrossRef]
- Chen, Y.; Wang, K.; Xu, Y.; Guo, P.; Hong, B.; Cao, Y.; Wei, Z.; Xue, R.; Wang, C.; Jiang, H. Alteration of Myeloid-Derived Suppressor Cells, Chronic Inflammatory Cytokines, and Exosomal MiRNA Contribute to the Peritoneal Immune Disorder of Patients With Endometriosis. Reprod. Sci. 2019, 26, 1130–1138. [Google Scholar] [CrossRef]
- Marí-Alexandre, J.; Barceló-Molina, M.; Belmonte-López, E.; García-Oms, J.; Estellés, A.; Braza-Boïls, A.; Gilabert-Estellés, J. Micro-RNA Profile and Proteins in Peritoneal Fluid from Women with Endometriosis: Their Relationship with Sterility. Fertil. Steril. 2018, 109, 675–684.e2. [Google Scholar] [CrossRef]
- Hawkins, S.M.; Creighton, C.J.; Han, D.Y.; Zariff, A.; Anderson, M.L.; Gunaratne, P.H.; Matzuk, M.M. Functional MicroRNA Involved in Endometriosis. Mol. Endocrinol. 2011, 25, 821–832. [Google Scholar] [CrossRef]
- Chen, K.; Wang, Q.; Liu, X.; Wang, F.; Yang, Y.; Tian, X. Hypoxic Pancreatic Cancer Derived Exosomal MiR-30b-5p Promotes Tumor Angiogenesis by Inhibiting GJA1 Expression. Int. J. Biol. Sci. 2022, 18, 1220–1237. [Google Scholar] [CrossRef] [PubMed]
- Liu, E.; Sun, H.; Wu, J.; Kuang, Y. MiR-92b-3p Regulates Oxygen and Glucose Deprivation–Reperfusion-Mediated Apoptosis and Inflammation by Targeting TRAF3 in PC12 Cells. Exp. Physiol. 2020, 105, 1792–1801. [Google Scholar] [CrossRef] [PubMed]
- Perez-Sanchez, C.; Barbera Betancourt, A.; Lyons, P.A.; Zhang, Z.; Suo, C.; Lee, J.C.; McKinney, E.F.; Modis, L.K.; Ellson, C.; Smith, K.G.C. MiR-374a-5p Regulates Inflammatory Genes and Monocyte Function in Patients with Inflammatory Bowel Disease. J. Exp. Med. 2022, 219, e20211366. [Google Scholar] [CrossRef] [PubMed]
- Sun, H.; Tian, J.; Li, J. MiR-92b-3p Ameliorates Inflammation and Autophagy by Targeting TRAF3 and Suppressing MKK3-P38 Pathway in Caerulein-Induced AR42J Cells. Int. Immunopharmacol. 2020, 88, 106691. [Google Scholar] [CrossRef] [PubMed]
- Tang, G.-X.; Yang, M.-S.; Xiang, K.-M.; Yang, B.-C.; Liu, Z.-L.; Zhao, S.-P. MiR-20b-5p Modulates Inflammation, Apoptosis and Angiogenesis in Severe Acute Pancreatitis through Autophagy by Targeting AKT3. Autoimmunity 2021, 54, 460–470. [Google Scholar] [CrossRef]
- Wang, J.; Wang, C.; Li, Y.; Li, M.; Zhu, T.; Shen, Z.; Wang, H.; Lv, W.; Wang, X.; Cheng, X.; et al. Potential of Peptide-Engineered Exosomes with Overexpressed MiR-92b-3p in Anti-Angiogenic Therapy of Ovarian Cancer. Clin. Transl. Med. 2021, 11, e425. [Google Scholar] [CrossRef]
- Yang, P.; Wu, Z.; Ma, C.; Pan, N.; Wang, Y.; Yan, L. Endometrial MiR-543 Is Downregulated During the Implantation Window in Women With Endometriosis-Related Infertility. Reprod. Sci. 2019, 26, 900–908. [Google Scholar] [CrossRef]
- Khalaj, K.; Miller, J.E.; Lingegowda, H.; Fazleabas, A.T.; Young, S.L.; Lessey, B.A.; Koti, M.; Tayade, C. Extracellular Vesicles from Endometriosis Patients Are Characterized by a Unique MiRNA-LncRNA Signature. JCI Insight 2019, 4, 128846. [Google Scholar] [CrossRef]
- Gu, C.-L.; Zhang, Z.; Fan, W.-S.; Li, L.-A.; Ye, M.-X.; Zhang, Q.; Zhang, N.-N.; Li, Z.; Meng, Y.-G. Identification of MicroRNAs as Potential Biomarkers in Ovarian Endometriosis. Reprod Sci. 2020, 27, 1715–1723. [Google Scholar] [CrossRef]
- Papari, E.; Noruzinia, M.; Kashani, L.; Foster, W.G. Identification of Candidate MicroRNA Markers of Endometriosis with the Use of Next-Generation Sequencing and Quantitative Real-Time Polymerase Chain Reaction. Fertil. Steril. 2020, 113, 1232–1241. [Google Scholar] [CrossRef]
- Bahramy, A.; Zafari, N.; Izadi, P.; Soleymani, F.; Kavousi, S.; Noruzinia, M. The Role of MiRNAs 340-5p, 92a-3p, and 381-3p in Patients with Endometriosis: A Plasma and Mesenchymal Stem-Like Cell Study. Biomed. Res. Int. 2021, 2021, 5298006. [Google Scholar] [CrossRef] [PubMed]
- Becker, V.; Yuan, X.; Boewe, A.S.; Ampofo, E.; Ebert, E.; Hohneck, J.; Bohle, R.M.; Meese, E.; Zhao, Y.; Menger, M.D.; et al. Hypoxia-Induced Downregulation of MicroRNA-186-5p in Endothelial Cells Promotes Non-Small Cell Lung Cancer Angiogenesis by Upregulating Protein Kinase C Alpha. Mol. Ther. Nucleic Acids 2023, 31, 421–436. [Google Scholar] [CrossRef] [PubMed]
- Huang, W.; Wu, X.; Xiang, S.; Qiao, M.; Cen, X.; Pan, X.; Huang, X.; Zhao, Z. Regulatory Mechanism of MiR-20a-5p Expression in Cancer. Cell Death Discov. 2022, 8, 262. [Google Scholar] [CrossRef] [PubMed]
- Wang, Y.; Nicholes, K.; Shih, I.-M. The Origin and Pathogenesis of Endometriosis. Annu. Rev. Pathol. Mech. Dis. 2020, 15, 71–95. [Google Scholar] [CrossRef]
- Geng, R.; Huang, X.; Li, L.; Guo, X.; Wang, Q.; Zheng, Y.; Guo, X. Gene Expression Analysis in Endometriosis: Immunopathology Insights, Transcription Factors and Therapeutic Targets. Front. Immunol. 2022, 13, 1037504. [Google Scholar] [CrossRef]
- Teague, E.M.C.O.; Van Der Hoek, K.H.; Van Der Hoek, M.B.; Perry, N.; Wagaarachchi, P.; Robertson, S.A.; Print, C.G.; Hull, M.L. MicroRNA-Regulated Pathways Associated with Endometriosis. Mol. Endocrinol. 2009, 23, 265–275. [Google Scholar] [CrossRef]
- Tian, J.; Liu, X. Understanding the Molecular Landscape of Endometriosis: A Bioinformatics Approach to Uncover Signaling Pathways and Hub Genes. Iran. J. Pharm. Res. 2024, 23, e144266. [Google Scholar] [CrossRef]
- García-Gómez, E.; Vázquez-Martínez, E.R.; Reyes-Mayoral, C.; Cruz-Orozco, O.P.; Camacho-Arroyo, I.; Cerbón, M. Regulation of Inflammation Pathways and Inflammasome by Sex Steroid Hormones in Endometriosis. Front. Endocrinol. 2020, 10, 935. [Google Scholar] [CrossRef]
- Monnaka, V.U.; Hernandes, C.; Heller, D.; Podgaec, S. Overview of MiRNAs for the Non-Invasive Diagnosis of Endometriosis: Evidence, Challenges and Strategies. A Systematic Review. Einstein 2021, 19, eRW5704. [Google Scholar] [CrossRef]
- Garcia-Elias, A.; Alloza, L.; Puigdecanet, E.; Nonell, L.; Tajes, M.; Curado, J.; Enjuanes, C.; Díaz, O.; Bruguera, J.; Martí-Almor, J.; et al. Defining Quantification Methods and Optimizing Protocols for Microarray Hybridization of Circulating MicroRNAs. Sci. Rep. 2017, 7, 7725. [Google Scholar] [CrossRef]
- Edgar, R. Gene Expression Omnibus: NCBI Gene Expression and Hybridization Array Data Repository. Nucleic Acids Res. 2002, 30, 207–210. [Google Scholar] [CrossRef]


| Controls | Endometriosis | |
|---|---|---|
| Mean (SD) | Mean (SD) | |
| Age–in years | 36.3 (9.0) | 36.2 (7.7) |
| BMI | 23.6 (5.0) | 21.9 (3.5) |
| N. (%) | N. (%) | |
| Smoking | 16 (30.2) | 21 (38.9) |
| Dysmenorrhea | 60 (100) | 67 (100) |
| DIE | 27 (40.3) | |
| OMA | 40 (59.7) | |
| Cystadenoma | 25 (41.7) | |
| Teratoma | 13 (21.7) | |
| Dermoid cysts | 4 (6.6) | |
| Leiomyoma | 4 (6.6) | |
| Other gynecological disorders | 4 (6.6) | |
| No abnormality | 10 (16.7) |
| miRNA Name | FC (END/CNT) | p-Value | FC (OMA/CNT) | p-Value | FC (DIE/CNT) | p-Value |
|---|---|---|---|---|---|---|
| miR-30b-5p | 16.440 | 0.0038 | 39.742 | <0.001 | - | - |
| miR-26a-5p | 10.002 | 0.0048 | 14.435 | 0.0042 | 5.764 | 0.0984 |
| miR-335-5p | 7.194 | 0.0482 | 8.944 | 0.0551 | - | - |
| miR-20b-5p | 6.691 | 0.0035 | 5.501 | 0.0223 | 8.921 | 0.0096 |
| miR-1249-3p | 6.162 | 0.0062 | 5.096 | 0.0320 | 8.127 | 0.0145 |
| miR-485-3p | 3.664 | 0.0202 | 3.305 | 0.0616 | 4.258 | 0.0446 |
| miR-338-3p | 3.091 | 0.0034 | 3.646 | 0.0034 | 2.418 | 0.0777 |
| miR-548a-3p | 3.010 | 0.0431 | - | - | 3.372 | 0.0846 |
| miR-625-3p | 2.563 | 0.0372 | 2.888 | 0.0403 | - | - |
| miR-374a-3p | 2.372 | 0.0292 | - | - | - | - |
| miR-145-5p | 2.370 | 0.0219 | 2.256 | 0.0596 | 2.548 | 0.0564 |
| miR-486-5p | 1.208 | 0.0331 | - | - | 1.354 | 0.0081 |
| miR-652-3p | 0.798 | 0.0152 | - | - | 0.709 | 0.0043 |
| miR-23a-3p | 0.511 | 0.0368 | - | - | 0.242 | <0.001 |
| miR-374a-5p | 0.393 | 0.0175 | 2.552 | 0.0385 | 0.118 | <0.001 |
| miR-92b-3p | 0.046 | <0.001 | 0.176 | 0.0859 | 0.006 | <0.001 |
| miR-133a-3p | - | - | 4.724 | 0.0239 | - | - |
| miR-142-5p | - | - | 10.464 | 0.0298 | - | - |
| miR-374b-5p | - | - | 0.655 | 0.0314 | - | - |
| miR-598-3p | - | - | 3.230 | 0.0328 | - | - |
| miR-363-3p | - | - | 3.918 | 0.0364 | - | - |
| miR-409-3p | - | - | 3.909 | 0.0416 | - | - |
| miR-339-5p | - | - | 2.797 | 0.0433 | - | - |
| miR-328-3p | - | - | 5.524 | 0.0452 | - | - |
| miR-106b-3p | - | - | 4.042 | 0.0453 | - | - |
| miR-361-3p | - | - | 2.971 | 0.0456 | - | - |
| miR-30c-5p | - | - | 4.273 | 0.0490 | - | - |
| miR-125a-5p | - | - | 1.775 | 0.0507 | - | - |
| miR-30d-5p | - | - | - | - | 0.091 | 0.0038 |
| miR-29a-3p | - | - | - | - | 0.197 | 0.0178 |
| miR-186-5p | - | - | - | - | 0.738 | 0.0187 |
| hsa-let-7i-5p | - | - | - | - | 0.045 | 0.0241 |
| miR-421 | - | - | - | - | 5.846 | 0.0397 |
| miR-20a-5p | - | - | - | - | 1.224 | 0.0400 |
| miR-340-5p | - | - | - | - | 0.198 | 0.0494 |
| miRNA Name | FC (DIE/OMA) | p-Value |
|---|---|---|
| miR-20a-5p | 1.260 | 0.0289 |
| miR-93-5p | 0.818 | 0.0774 |
| miR-191-5p | 0.739 | 0.0068 |
| miR-186-5p | 0.730 | 0.0235 |
| miR-22-3p | 0.547 | 0.0775 |
| miR-598-3p | 0.331 | 0.0995 |
| miR-29a-3p | 0.297 | 0.0991 |
| miR-23a-3p | 0.287 | 0.0043 |
| miR-103a-3p | 0.158 | 0.0273 |
| miR-126-3p | 0.143 | 0.0803 |
| miR-30d-5p | 0.134 | 0.0235 |
| miR-374a-5p | 0.133 | <0.001 |
| miR-30b-5p | 0.104 | 0.0870 |
| miR-17-3p | 0.099 | 0.0374 |
| miR-92b-3p | 0.034 | 0.0075 |
| let-7i-5p | 0.032 | 0.0192 |
Disclaimer/Publisher’s Note: The statements, opinions and data contained in all publications are solely those of the individual author(s) and contributor(s) and not of MDPI and/or the editor(s). MDPI and/or the editor(s) disclaim responsibility for any injury to people or property resulting from any ideas, methods, instructions or products referred to in the content. |
© 2024 by the authors. Licensee MDPI, Basel, Switzerland. This article is an open access article distributed under the terms and conditions of the Creative Commons Attribution (CC BY) license (https://creativecommons.org/licenses/by/4.0/).
Share and Cite
Ravaggi, A.; Bergamaschi, C.; Galbiati, C.; Zanotti, L.; Fabricio, A.S.C.; Gion, M.; Cappelletto, E.; Leon, A.E.; Gennarelli, M.; Romagnolo, C.; et al. Circulating Serum Micro-RNA as Non-Invasive Diagnostic Biomarkers of Endometriosis. Biomedicines 2024, 12, 2393. https://doi.org/10.3390/biomedicines12102393
Ravaggi A, Bergamaschi C, Galbiati C, Zanotti L, Fabricio ASC, Gion M, Cappelletto E, Leon AE, Gennarelli M, Romagnolo C, et al. Circulating Serum Micro-RNA as Non-Invasive Diagnostic Biomarkers of Endometriosis. Biomedicines. 2024; 12(10):2393. https://doi.org/10.3390/biomedicines12102393
Chicago/Turabian StyleRavaggi, Antonella, Cosetta Bergamaschi, Chiara Galbiati, Laura Zanotti, Aline S. C. Fabricio, Massimo Gion, Elia Cappelletto, Antonette E. Leon, Massimo Gennarelli, Cesare Romagnolo, and et al. 2024. "Circulating Serum Micro-RNA as Non-Invasive Diagnostic Biomarkers of Endometriosis" Biomedicines 12, no. 10: 2393. https://doi.org/10.3390/biomedicines12102393
APA StyleRavaggi, A., Bergamaschi, C., Galbiati, C., Zanotti, L., Fabricio, A. S. C., Gion, M., Cappelletto, E., Leon, A. E., Gennarelli, M., Romagnolo, C., Ciravolo, G., Calza, S., Bignotti, E., & Odicino, F. (2024). Circulating Serum Micro-RNA as Non-Invasive Diagnostic Biomarkers of Endometriosis. Biomedicines, 12(10), 2393. https://doi.org/10.3390/biomedicines12102393

