SAMM50-rs2073082, -rs738491 and -rs3761472 Interactions Enhancement of Susceptibility to Non-Alcoholic Fatty Liver Disease
Abstract
:1. Introduction
2. Materials and Methods
2.1. Patients and Methods
2.2. Patient Selection and Enrollment Criteria
2.3. Data Collection
2.4. Definitions
2.5. Genomic DNA Extracting and Genotyping
2.6. Statistical Analysis
3. Results
3.1. Baseline Characteristics of Non-NAFLD Controls and NAFLD Patients
3.2. Genotypes and Allele Frequencies of rs2073082, rs738491 and rs3761472 in Non-NAFLD and NAFLD Groups
3.3. rs2073082, rs738491 and rs3761472 Polymorphism and NAFLD Susceptibility Adjusted by Age, Gender and BMI
3.4. Association of Three SAMM50 Gene Variants with Clinical Features
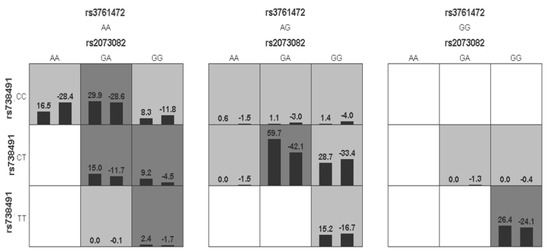
3.5. Analysis of SNP–SNP Interactions
4. Discussion
5. Conclusions
Supplementary Materials
Author Contributions
Funding
Institutional Review Board Statement
Informed Consent Statement
Data Availability Statement
Conflicts of Interest
References
- Zhou, J.; Zhou, F.; Wang, W.; Zhang, X.-J.; Ji, Y.-X.; Zhang, P.; She, Z.G.; Zhu, L.; Cai, J.; Li, H. Epidemiological Features of NAFLD from 1999 to 2018 in China. Hepatology 2020, 71, 1851–1864. [Google Scholar] [CrossRef]
- Lu, R.; Liu, Y.; Hong, T. Epidemiological characteristics and management of nonalcoholic fatty liver disease/nonalcoholic steatohepatitis in China: A narrative review. Diabetes Obes. Metab. 2023, 25 (Suppl. S1), 13–26. [Google Scholar] [CrossRef]
- Loomba, R.; Schork, N.; Chen, C.-H.; Bettencourt, R.; Bhatt, A.; Ang, B.; Nguyen, P.; Hernandez, C.; Richards, L.; Salotti, J.; et al. Heritability of hepatic fibrosis and steatosis based on a prospective twin study. Gastroenterology 2015, 149, 1784–1793. [Google Scholar] [CrossRef]
- Dongiovanni, P.; Romeo, S.; Valenti, L. Genetic factors in the pathogenesis of nonalcoholic fatty liver and steatohepatitis. BioMed Res. Int. 2015, 2015, 460190. [Google Scholar] [CrossRef]
- Kozlitina, J.; Smagris, E.; Stender, S.; Nordestgaard, B.G.; Zhou, H.H.; Tybjærg-Hansen, A.; Vogt, T.F.; Hobbs, H.H.; Cohen, J.C. Exome-wide association study identifies a TM6SF2 variant that confers susceptibility to nonalcoholic fatty liver disease. Nat. Genet. 2014, 46, 352–356. [Google Scholar] [CrossRef]
- Teo, K.; Abeysekera, K.W.; Adams, L.; Aigner, E.; Anstee, Q.M.; Banales, J.M.; Banerjee, R.; Basu, P.; Berg, T.; Bhatnagar, P.; et al. Rs641738C>T near MBOAT7 is associated with liver fat, ALT and fibrosis in NAFLD: A meta-analysis. J. Hepatol. 2021, 74, 20–30. [Google Scholar] [CrossRef]
- Longo, M.; Meroni, M.; Paolini, E.; Erconi, V.; Carli, F.; Fortunato, F.; Ronchi, D.; Piciotti, R.; Sabatini, S.; Macchi, C.; et al. TM6SF2/PNPLA3/MBOAT7 Loss-of-Function genetic variants impact on NAFLD development and progression both in patients and in in vitro models. Cell. Mol. Gastroenterol. Hepatol. 2022, 13, 759–788. [Google Scholar] [CrossRef] [PubMed]
- Qiao, M.; Yang, J.-H.; Zhu, Y.B.; Hu, J.-P. Association of sorting and assembly machinery component 50 homolog gene polymorphisms with nonalcoholic fatty liver disease susceptibility. Medicine 2022, 101, e29958. [Google Scholar] [CrossRef]
- Lee, K.J.; Moon, J.S.; Kim, N.Y.; Ko, J.S. Effects of PNPLA3, TM6SF2 and SAMM50 on the development and severity of non-alcoholic fatty liver disease in children. Pediatr. Obes. 2022, 17, e12852. [Google Scholar] [CrossRef] [PubMed]
- Li, Z.; Shen, W.; Wu, G.; Qin, C.; Zhang, Y.; Wang, Y.; Song, G.; Xiao, C.; Zhang, X.; Deng, G.; et al. The role of SAMM50 in non-alcoholic fatty liver disease: From genetics to mechanisms. FEBS Open Bio 2021, 11, 1893–1906. [Google Scholar] [CrossRef] [PubMed]
- Ott, C.; Ross, K.; Straub, S.; Thiede, B.; Götz, M.; Goosmann, C.; Krischke, M.; Mueller, M.J.; Krohne, G.; Rudel, T.; et al. Sam50 functions in mitochondrial intermembrane space bridging and biogenesis of respiratory complexes. Mol. Cell. Biol. 2012, 32, 1173–1188. [Google Scholar] [CrossRef] [PubMed]
- Kitamoto, T.; Kitamoto, A.; Yoneda, M.; Hyogo, H.; Ochi, H.; Nakamura, T.; Teranishi, H.; Mizusawa, S.; Ueno, T.; Chayama, K.; et al. Genome-wide scan revealed that polymorphisms in the PNPLA3, SAMM50, and PARVB genes are associated with development and progression of nonalcoholic fatty liver disease in Japan. Hum. Genet. 2013, 132, 783–792. [Google Scholar] [CrossRef]
- Chen, L.; Lin, Z.; Jiang, M.; Lu, L.; Zhang, H.; Xin, Y.; Jiang, X.; Xuan, S. Genetic variants in the SAMM50 gene create susceptibility to nonalcoholic fatty liver disease in a chinese han population. Hepat. Mon. 2015, 15, e31076. [Google Scholar] [CrossRef]
- Xu, K.; Zheng, K.I.; Zhu, P.-W.; Liu, W.-Y.; Ma, H.-L.; Li, G.; Tang, L.-J.; Rios, R.S.; Targher, G.; Byrne, C.D.; et al. Interaction of SAMM50-rs738491, PARVB-rs5764455 and PNPLA3-rs738409 increases susceptibility to nonalcoholic steatohepatitis. J. Clin. Transl. Hepatol. 2022, 10, 219–229. [Google Scholar] [CrossRef]
- Hu, Y.-Y.; Dong, N.-L.; Qu, Q.; Zhao, X.-F.; Yang, H.-J. The correlation between controlled attenuation parameter and metabolic syndrome and its components in middle-aged and elderly nonalcoholic fatty liver disease patients. Medicine 2018, 97, e12931. [Google Scholar] [CrossRef]
- de Melo, P.C.; de Carvalho, S.H.; Pereira, D.M.M.; Ferreira, C.A.; Maia, P.F.; Machado, A.S. Nutritional status, diet and non-alcoholic fatty liver disease in elders. Nutr. Hosp. 2015, 32, 2038–2045. [Google Scholar] [CrossRef]
- Hamaguchi, M.; Kojima, T.; Takeda, N.; Nakagawa, T.; Taniguchi, H.; Fujii, K.; Omatsu, T.; Nakajima, T.; Sarui, H.; Shimazaki, M.; et al. The metabolic syndrome as a predictor of nonalcoholic fatty liver disease. Ann. Intern. Med. 2005, 143, 722–728. [Google Scholar] [CrossRef]
- Amarapurkar, D.; Kamani, P.; Patel, N.; Gupte, P.; Kumar, P.; Agal, S.; Baijal, R.; Lala, S.; Chaudhary, D.; Deshpande, A. Prevalence of non-alcoholic fatty liver disease: Population based study. Ann. Hepatol. 2007, 6, 161–163. [Google Scholar] [CrossRef] [PubMed]
- Frith, J.; Day, C.P.; Henderson, E.; Burt, A.D.; Newton, J.L. Non-alcoholic fatty liver disease in older people. Gerontology 2009, 55, 607–613. [Google Scholar] [CrossRef] [PubMed]
- Ong, J.P.; Pitts, A.; Younossi, Z.M. Increased overall mortality and liver-related mortality in non-alcoholic fatty liver disease. J. Hepatol. 2008, 49, 608–612. [Google Scholar] [CrossRef]
- Chalasani, N.; Younossi, Z.; LaVine, J.E.; Charlton, M.; Cusi, K.; Rinella, M.; Harrison, S.A.; Brunt, E.M.; Sanyal, A.J. The diagnosis and management of nonalcoholic fatty liver disease: Practice guidance from the American Association for the Study of Liver Diseases. Hepatology 2018, 67, 328–357. [Google Scholar] [CrossRef] [PubMed]
- Jang, H.R.; Kang, D.; Sinn, D.H.; Gu, S.; Cho, S.J.; Lee, J.E.; Huh, W.; Paik, S.W.; Ryu, S.; Chang, Y.; et al. Nonalcoholic fatty liver disease accelerates kidney function decline in patients with chronic kidney disease: A cohort study. Sci. Rep. 2018, 8, 4718. [Google Scholar] [CrossRef] [PubMed]
- Alberti, K.G.; Zimmet, P.; Shaw, J. The metabolic syndrome—A new worldwide definition. Lancet 2005, 366, 1059–1062. [Google Scholar] [CrossRef]
- Kruger, F.C.; Daniels, C.R.; Kidd, M.; Swart, G.; Brundyn, K.; Van Rensburg, C.; Kotze, M. APRI: A simple bedside marker for advanced fibrosis that can avoid liver biopsy in patients with NAFLD/NASH. S. Afr. Med. J. 2011, 101, 477–480. [Google Scholar] [PubMed]
- Eddowes, P.J.; Sasso, M.; Allison, M.; Tsochatzis, E.; Anstee, Q.M.; Sheridan, D.; Guha, I.N.; Cobbold, J.F.; Deeks, J.J.; Paradis, V.; et al. Accuracy of FibroScan controlled attenuation parameter and liver stiffness measurement in assessing steatosis and fibrosis in patients with nonalcoholic fatty liver disease. Gastroenterology 2019, 156, 1717–1730. [Google Scholar] [CrossRef]
- Ritchie, M.D.; Hahn, L.W.; Roodi, N.; Bailey, L.R.; Dupont, W.D.; Parl, F.F.; Moore, J.H. Multifactor-dimensionality reduction reveals high-order interactions among estrogen-metabolism genes in sporadic breast cancer. Am. J. Hum. Genet. 2001, 69, 138–147. [Google Scholar] [CrossRef]
- Xu, H.-M.; Xu, L.-F.; Hou, T.-T.; Luo, L.-F.; Chen, G.-B.; Sun, X.-W.; Lou, X.-Y. GMDR: Versatile software for detecting Gene-Gene and Gene-Environ- ment interactions underlying complex traits. Curr. Genom. 2016, 17, 396–402. [Google Scholar] [CrossRef]
- Lou, X.-Y.; Chen, G.-B.; Yan, L.; Ma, J.Z.; Zhu, J.; Elston, R.C.; Li, M.D. A generalized combinatorial approach for detecting gene-by-gene and gene-by-environment interactions with application to nicotine dependence. Am. J. Hum. Genet. 2007, 80, 1125–1137. [Google Scholar] [CrossRef]
- Vilar-Gomez, E.; Pirola, C.J.; Sookoian, S.; Wilson, L.A.; Liang, T.; Chalasani, N. PNPLA3 rs738409 and risk of fibrosis in NAFLD: Exploring mediation pathways through intermediate histological features. Hepatology 2022, 76, 1482–1494. [Google Scholar] [CrossRef]
- KKovalic, A.J.; Banerjee, P.; Tran, Q.T.; Singal, A.K.; Satapathy, S.K. Genetic and epigenetic culprits in the pathogenesis of nonalcoholic fatty liver disease. J. Clin. Exp. Hepatol. 2018, 8, 390–402. [Google Scholar] [CrossRef]
- Sohal, A.; Chaudhry, H.; Kowdley, K.V. Genetic markers predisposing to nonalcoholic steatohepatitis. Clin. Liver Dis. 2023, 27, 333–352. [Google Scholar] [CrossRef]
- Jonas, W.; Schürmann, A. Genetic and epigenetic factors determining NAFLD risk. Mol. Metab. 2021, 50, 101111. [Google Scholar] [CrossRef] [PubMed]
- Li, Z.; Zhang, Z.; Ren, Y.; Wang, Y.; Fang, J.; Yue, H.; Ma, S.; Guan, F. Aging and age-related diseases: From mechanisms to therapeutic strategies. Biogerontology 2021, 22, 165–187. [Google Scholar] [CrossRef]
- Gieseler, R.K.; Schreiter, T.; Canbay, A. The aging human liver: The weal and woe of evolutionary legacy. Z. Gastroenterol. 2023, 61, 83–94. [Google Scholar] [CrossRef]
- Zhang, X.; Wong, G.L.; Yip, T.C.; Cheung, J.T.K.; Tse, Y.; Hui, V.W.; Lin, H.; Lai, J.C.; Chan, H.L.; Kong, A.P.; et al. Risk of liver-related events by age and diabetes duration in patients with diabetes and nonalcoholic fatty liver disease. Hepatology 2022, 76, 1409–1422. [Google Scholar] [CrossRef] [PubMed]
- Miyaaki, H.; Ichikawa, T.; Nakao, K.; Yatsuhashi, H.; Furukawa, R.; Ohba, K.; Omagari, K.; Kusumoto, Y.; Yanagi, K.; Inoue, O.; et al. Clinicopathological study of nonalcoholic fatty liver disease in Japan: The risk factors for fibrosis. Liver Int. 2008, 28, 519–524. [Google Scholar] [CrossRef] [PubMed]
- Jian, F.; Chen, D.; Chen, L.; Yan, C.; Lu, B.; Zhu, Y.; Chen, S.; Shi, A.; Chan, D.C.; Song, Z. Sam50 regulates PINK1-Parkin-Mediated mitophagy by controlling PINK1 stability and mitochondrial morphology. Cell Rep. 2018, 23, 2989–3005. [Google Scholar] [CrossRef]
- Sun, N.; Youle, R.J.; Finkel, T. The mitochondrial basis of aging. Mol. Cell 2016, 61, 654–666. [Google Scholar] [CrossRef]
- Passos, J.F.; Saretzki, G.; Ahmed, S.; Nelson, G.; Richter, T.; Peters, H.; Wappler, I.; Birket, M.J.; Harold, G.; Schaeuble, K.; et al. Mitochondrial dysfunction accounts for the stochastic heterogeneity in telomere-dependent senescence. PLoS Biol. 2007, 5, e110. [Google Scholar] [CrossRef]
- Miwa, S.; Kashyap, S.; Chini, E.; von Zglinicki, T. Mitochondrial dysfunction in cell senescence and aging. J. Clin. Investig. 2022, 132, e158447. [Google Scholar] [CrossRef]
- Peng, K.-Y.; Watt, M.J.; Rensen, S.S.; Greve, J.W.; Huynh, K.; Jayawardana, K.S.; Meikle, P.J.; Meex, R.C.R. Mitochondrial dysfunction-related lipid changes occur in nonalcoholic fatty liver disease progression. J. Lipid Res. 2018, 59, 1977–1986. [Google Scholar] [CrossRef] [PubMed]
- Durand, M.; Coué, M.; Croyal, M.; Moyon, T.; Tesse, A.; Atger, F.; Ouguerram, K.; Jacobi, D. Changes in key mitochondrial lipids accompany mitochondrial dysfunction and oxidative stress in NAFLD. Oxid. Med. Cell. Longev. 2021, 2021, 9986299. [Google Scholar] [CrossRef] [PubMed]
- Vamecq, J.; Dessein, A.-F.; Fontaine, M.; Briand, G.; Porchet, N.; Latruffe, N.; Andreolotti, P.; Cherkaoui-Malki, M. Mitochondrial dysfunction and lipid homeostasis. Curr. Drug Metab. 2012, 13, 1388–1400. [Google Scholar] [CrossRef] [PubMed]
- Allen, A.M.; Graham, A. Mitochondrial function is involved in regulation of cholesterol efflux to apolipoprotein (apo)A-I from murine RAW 264.7 macrophages. Lipids Health Dis. 2012, 11, 169. [Google Scholar] [CrossRef] [PubMed]




| Non-NAFLD (N = 463) | NAFLD (N = 590) | p-Value | |
|---|---|---|---|
| Age (year) | 70.00 [67.00~75.00] | 69.00 [66.75~73.00] | <0.001 |
| Male, n (%) | 154 (33.26) | 149 (25.25) | 0.004 |
| Weight (kg) | 62.39 ± 9.09 | 68.31 ± 10.32 | <0.001 |
| BMI (kg/m2) | 24.44 ± 2.77 | 26.89 ± 3.06 | <0.001 |
| Waist circumference (cm) | 85.75 ± 7.69 | 91.12 ± 7.91 | <0.001 |
| Hip circumference (cm) | 96.07 ± 7.02 | 100.33 ± 7.16 | <0.001 |
| WHR | 0.89 ± 0.05 | 0.91 ± 0.05 | <0.001 |
| TBIL (μmol/L) | 15.24 ± 5.50 | 15.65 ± 7.47 | 0.322 |
| TG (mmol/L) | 1.33 ± 0.80 | 1.78 ± 1.16 | <0.001 |
| TC (mmol/L) | 4.82 ± 1.17 | 4.82 ± 1.27 | 0.939 |
| HDL (mmol/L) | 1.21 ± 0.28 | 1.12 ± 0.22 | <0.001 |
| LDL (mmol/L) | 3.34 ± 1.07 | 3.34 ± 1.16 | 0.980 |
| ALT (U/L) | 17.54 ± 7.64 | 21.47 ± 10.14 | <0.001 |
| AST (U/L) | 17.40 ± 5.62 | 19.36 ± 8.57 | <0.001 |
| GLU (mmol/L) | 6.93 ± 3.82 | 7.27 ± 2.46 | 0.078 |
| HbA1C (%) | 6.36 ± 1.21 | 6.70 ± 1.32 | <0.001 |
| Insulin | 7.80 [5.49~11.05] | 10.96 [7.59~15.16] | <0.001 |
| HOMA-IR | 2.18 [1.48~3.40] | 3.31 [2.25~4.91] | <0.001 |
| CAP (dB/m) | 242.93 ± 43.24 | 295.22 ± 41.11 | <0.001 |
| LSM (kPa) | 4.51 ± 1.77 | 5.44 ± 1.99 | <0.001 |
| NFS | −0.79 [−1.53~0.03] | −0.73 [−1.40~0.05] | 0.870 |
| Hypertension, n (%) | 345 (74.51) | 465 (78.81) | 0.035 |
| Mets, n (%) | 356 (76.89) | 537 (91.02) | <0.001 |
| T2DM, n (%) | 169 (36.50) | 272 (46.10) | 0.002 |
| Obesity, n (%) | 45 (0.09) | 202 (34.24) | <0.001 |
| Lipid lowering agent, n (%) | 164 (35.42) | 191 (32.37) | 0.355 |
| Stroke, n (%) | 73 (15.77) | 92 (15.59) | 0.981 |
| Genotypes and Allele | Non-NAFLD | NAFLD | χ2 | p-Value |
|---|---|---|---|---|
| SAMM50-rs2073082(G > A) | ||||
| Genotypes | 12.090 | 0.002 | ||
| GG | 199 (42.98%) | 242 (41.02%) | ||
| GA | 198 (42.76%) | 299 (50.68%) | ||
| AA | 66 (14.25%) | 49 (8.31%) | ||
| Alleles | 0.912 | 0.340 | ||
| G | 596(64.36%) | 783(66.36%) | ||
| A | 330(35.64%) | 397(33.64%) | ||
| SAMM50-rs738491(C > T) | 8.722 | 0.013 | ||
| CC | 164 (35.42%) | 161 (27.29%) | ||
| CT | 209 (45.14%) | 312 (52.88%) | ||
| TT | 90 (19.44%) | 117 (19.83%) | ||
| Alleles | 3.819 | 0.05 | ||
| C | 537(58.00%) | 634(53.70%) | ||
| T | 389(42.00%) | 546(46.30%) | ||
| SAMM50-rs3761472(A > G) | 0.118 | 0.943 | ||
| AA | 185 (39.96%) | 230 (38.98%) | ||
| AG | 225 (48.60%) | 290 (49.15%) | ||
| GG | 53 (11.45%) | 70 (11.86%) | ||
| Alleles | 0.109 | 0.742 | ||
| A | 595(64.30%) | 750(63.60%) | ||
| G | 331(35.70%) | 430(36.40%) |
| Genetic Model | Unadjusted OR, 95% CI | p-Value | Adjusted OR, 95% CI a | p-Value |
|---|---|---|---|---|
| rs2073082 | ||||
| G vs. A | 0.916 (0.764–1.097) | 0.340 | 1.109 (0.909–1.353) | 0.309 |
| GG vs. AA | 1.638 (1.222–2.196) | 0.001 | 1.691 (1.235–2.315) | 0.001 |
| GG vs. AA + AG | 1.084 (0.911–1.290) | 0.365 | 1.084 (0.896–1.313) | 0.407 |
| AG + GG vs. AA | 1.836 (1.392–2.421) | <0.001 | 1.962 (1.448–2.659) | <0.001 |
| rs738491 | ||||
| T vs. C | 1.189 (0.999–1.414) | 0.051 | 1.216 (1.005–1.472) | 0.045 |
| TT vs. CC | 1.324 (1.034–1.697) | 0.026 | 1.373 (1.050–1.376) | 0.021 |
| TT vs. CC + CT | 0.975 (0.785–1.212) | 0.822 | 0.960 (0.757–1.217) | 0.737 |
| CT + TT vs. CC | 1.462 (1.214–1.760) | <0.001 | 1.532 (1.246–1.884) | <0.001 |
| rs3761472 | ||||
| G vs. A | 1.031 (0.862–1.233) | 0.742 | 1.016 (0.867–1.285) | 0.588 |
| GG vs. AA | 1.062 (0.797–1.416) | 0.680 | 1.093 (0.800–1.493) | 0.575 |
| GG vs. AA + AG | 0.970 (0.734–1.256) | 0.767 | 0.975 (0.728–1.305) | 0.863 |
| AG + GG vs. AA | 1.042 (0.874–1.242) | 0.650 | 1.099 (0.905–1.335) | 0.340 |
| rs2073082 | rs738491 | rs3761472 | |||||||
|---|---|---|---|---|---|---|---|---|---|
| Carriers (GG + AG) | Noncarriers (AA) | p-Value | Carriers (TT + CT) | Noncarriers (CC) | p-Value | Carriers (GG + AG) | Noncarriers (AA) | p-Value | |
| N | 938 | 115 | 728 | 325 | 638 | 415 | |||
| Age (year) | 69.00 [67.00~73.00] | 70.00 [67.00~75.00] | 0.036 | 69.00 [67.00~73.00] | 70.00 [67.00~75.00] | <0.001 | 69.00 [67.00~73.00] | 69.00 [67.00~74.00] | 0.071 |
| Male, n (%) | 268 (28.57) | 35 (30.43) | 0.677 | 205 (28.16) | 98 (30.15) | 0.529 | 180 (28.21) | 123 (29.64) | 0.618 |
| Weight (kg) | 65.69 ± 10.24 | 65.82 ± 10.14 | 0.898 | 65.61 ± 10.10 | 65.93 ± 10.51 | 0.637 | 65.29 ± 10.08 | 66.34 ± 10.42 | 0.103 |
| BMI (kg/m2) | 25.83 ± 3.20 | 25.70 ± 2.98 | 0.682 | 25.80 ± 3.14 | 25.84 ± 3.27 | 0.863 | 25.70 ± 3.12 | 25.98 ± 3.26 | 0.166 |
| Systolic pressure | 135.14 ± 16.77 | 134.18 ± 13.97 | 0.560 | 134.69 ± 14.60 | 135.80 ± 20.08 | 0.318 | 134.76 ± 14.37 | 135.45 ± 19.27 | 0.508 |
| Diastolic pressure | 78.93 ± 8.83 | 78.33 ± 7.79 | 0.488 | 78.86 ± 8.48 | 78.87 ± 9.24 | 0.999 | 78.78 ± 8.33 | 79.00 ± 9.28 | 0.697 |
| Waist circumference | 88.77 ± 8.27 | 88.61 ± 8.10 | 0.843 | 88.60 ± 8.10 | 89.09 ± 8.59 | 0.369 | 88.54 ± 8.08 | 89.07 ± 8.51 | 0.316 |
| Hip circumference | 98.42 ± 7.43 | 98.68 ± 7.17 | 0.732 | 98.39 ± 7.36 | 98.58 ± 7.50 | 0.702 | 98.24 ± 7.32 | 98.77 ± 7.52 | 0.256 |
| WHR | 0.90 ± 0.05 | 0.90 ± 0.05 | 0.478 | 0.90 ± 0.05 | 0.90 ± 0.06 | 0.282 | 0.90 ± 0.05 | 0.90 ± 0.05 | 0.894 |
| CAP | 273.89 ± 49.44 | 264.04 ± 47.78 | 0.073 | 275.00 ± 49.79 | 268.10 ± 48.03 | 0.055 | 273.71 ± 50.35 | 271.60 ± 47.75 | 0.534 |
| LSM | 5.07 ± 1.95 | 4.85 ± 2.00 | 0.318 | 5.14 ± 2.06 | 4.84 ± 1.68 | 0.040 | 5.17 ± 2.05 | 4.85 ± 1.78 | 0.019 |
| NFS | −0.74 [−1.44–0.01] | −0.92 [−1.49–−0.08] | 0.470 | −0.74 [−1.45–−0.05] | −0.76 [−1.46–0.09] | 0.849 | −0.76 [−1.47–−0.05] | −0.73 [−1.44–0.07] | 0.357 |
| LSM ≥ 8.2 kPa, n (%) | 53 (5.65) | 4 (3.48) | 0.423 | 45 (6.18) | 12 (3.69) | 0.111 | 39 (6.11) | 18 (4.34) | 0.250 |
| NFS ≥ −1.455, n (%) | 597 (63.64) | 69 (60.00) | 0.295 | 452 (62.09) | 214 (65.85) | 0.834 | 401 (62.85) | 265 (63.86) | 0.766 |
| TBIL (μmol/L) | 15.53 ± 6.90 | 14.98 ± 4.41 | 0.406 | 15.56 ± 7.09 | 15.28 ± 5.66 | 0.530 | 15.57 ± 7.19 | 15.32 ± 5.80 | 0.556 |
| TG (mmol/L) | 1.59 ± 1.06 | 1.51 ± 0.92 | 0.401 | 1.60 ± 1.05 | 1.56 ± 1.03 | 0.579 | 1.57 ± 1.02 | 1.60 ± 1.08 | 0.724 |
| TC (mmol/L) | 4.81 ± 1.25 | 4.89 ± 1.09 | 0.483 | 4.80 ± 1.26 | 4.86 ± 1.15 | 0.452 | 4.75 ± 1.25 | 4.92 ± 1.18 | 0.031 |
| HDL (mmol/L) | 1.15 ± 0.25 | 1.18 ± 0.27 | 0.218 | 1.15 ± 0.25 | 1.18 ± 0.26 | 0.074 | 1.15 ± 0.25 | 1.16 ± 0.25 | 0.517 |
| LDL (mmol/L) | 3.33 ± 1.13 | 3.41 ± 1.00 | 0.511 | 3.33 ± 1.15 | 3.37 ± 1.05 | 0.593 | 3.28 ± 1.14 | 3.44 ± 1.08 | 0.030 |
| ALT (U/L) | 19.83 ± 9.31 | 19.03 ± 9.50 | 0.389 | 19.98 ± 9.58 | 19.21 ± 8.73 | 0.215 | 19.89 ± 9.28 | 19.52 ± 9.41 | 0.536 |
| AST (U/L) | 18.52 ± 7.58 | 18.31 ± 6.67 | 0.778 | 18.63 ± 8.00 | 18.21 ± 6.14 | 0.403 | 18.43 ± 7.62 | 18.61 ± 7.26 | 0.711 |
| Hypertension, n (%) | 722 (77.97) | 88 (76.52) | 0.850 | 561 (77.06) | 249 (76.62) | 0.870 | 488 (76.49) | 322 (77.59) | 0.959 |
| T2DM, n (%) | 398 (42.43) | 43 (37.39) | 0.293 | 311 (42.72) | 130 (40.00) | 0.421 | 267 (41.85) | 174 (41.93) | 0.986 |
| Stroke, n (%) | 146 (15.57) | 19 (16.52) | 0.804 | 117 (16.07) | 48 (14.77) | 0.591 | 100 (15.67) | 65 (15.66) | 0.928 |
| Mets, n (%) | 798 (85.07) | 95 (82.61) | 0.487 | 621 (85.30) | 272 (83.69) | 0.501 | 539 (84.48) | 354 (85.30) | 0.718 |
| Lipid lowering agent, n (%) | 318 (33.90) | 37 (32.17) | 0.677 | 242 (33.24) | 113 (34.77) | 0.649 | 210 (32.92) | 145 (34.94) | 0.616 |
| GMDR Model | Training Accuracy b | Testing Accuracy b | Sign Test (p) | CVC |
|---|---|---|---|---|
| rs738491 | 0.5468 | 0.5260 | 6 (0.3770) | 6/10 |
| rs2073082, rs3761472 | 0.5571 | 0.5304 | 7 (0.1719) | 8/10 |
| rs2073082, rs738491 a rs3761472 | 0.5697 | 0.5552 | 9 (0.0107) | 10/10 |
| Genotypes | Adjusted OR (95% CI) a | p-Value |
|---|---|---|
| rs738491 | ||
| CC | 1 | |
| CT + TT | 1.532 (1.144, 2.053) | 0.004 |
| rs2073082, rs3761472 | ||
| AA, AA | 1 | |
| GG + AG, GG + AG | 1.809 (1.147, 2.853) | 0.011 |
| rs2073082, rs738491, rs3761472 | ||
| AA, CC, AA | 1 | |
| GG + AG, CT + TT, GG + AG | 1.892 (1.196, 2.993) | 0.006 |
Disclaimer/Publisher’s Note: The statements, opinions and data contained in all publications are solely those of the individual author(s) and contributor(s) and not of MDPI and/or the editor(s). MDPI and/or the editor(s) disclaim responsibility for any injury to people or property resulting from any ideas, methods, instructions or products referred to in the content. |
© 2023 by the authors. Licensee MDPI, Basel, Switzerland. This article is an open access article distributed under the terms and conditions of the Creative Commons Attribution (CC BY) license (https://creativecommons.org/licenses/by/4.0/).
Share and Cite
Zhao, J.; Xu, X.; Wei, X.; Zhang, S.; Xu, H.; Wei, X.; Zhang, Y.; Zhang, J. SAMM50-rs2073082, -rs738491 and -rs3761472 Interactions Enhancement of Susceptibility to Non-Alcoholic Fatty Liver Disease. Biomedicines 2023, 11, 2416. https://doi.org/10.3390/biomedicines11092416
Zhao J, Xu X, Wei X, Zhang S, Xu H, Wei X, Zhang Y, Zhang J. SAMM50-rs2073082, -rs738491 and -rs3761472 Interactions Enhancement of Susceptibility to Non-Alcoholic Fatty Liver Disease. Biomedicines. 2023; 11(9):2416. https://doi.org/10.3390/biomedicines11092416
Chicago/Turabian StyleZhao, Jinhan, Xiaoyi Xu, Xinhuan Wei, Shuang Zhang, Hangfei Xu, Xiaodie Wei, Yang Zhang, and Jing Zhang. 2023. "SAMM50-rs2073082, -rs738491 and -rs3761472 Interactions Enhancement of Susceptibility to Non-Alcoholic Fatty Liver Disease" Biomedicines 11, no. 9: 2416. https://doi.org/10.3390/biomedicines11092416
APA StyleZhao, J., Xu, X., Wei, X., Zhang, S., Xu, H., Wei, X., Zhang, Y., & Zhang, J. (2023). SAMM50-rs2073082, -rs738491 and -rs3761472 Interactions Enhancement of Susceptibility to Non-Alcoholic Fatty Liver Disease. Biomedicines, 11(9), 2416. https://doi.org/10.3390/biomedicines11092416

