Untargeted Metabolomics by Ultra-High-Performance Liquid Chromatography Coupled with Electrospray Ionization-Quadrupole-Time of Flight-Mass Spectrometry Analysis Identifies a Specific Metabolomic Profile in Patients with Early Chronic Kidney Disease
Abstract
1. Introduction
2. Materials and Methods
2.1. Patients and Compliance with Ethical Standards
2.2. Sample Collection and Processing
2.3. UHPLC-QTOF-ESI+−MS Analysis
2.4. Statistical Analysis
3. Results
3.1. Multivariate Analysis of Serum Samples
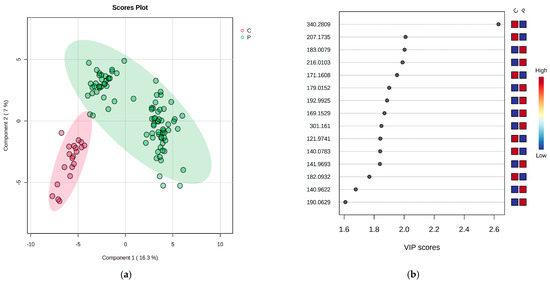
3.1.1. PLSDA Score Plot and VIP Scores
3.1.2. Biomarker Analysis and Prediction by Random Forest Analysis
3.2. Univariate Analysis of Serum Samples
One-Way ANOVA Applied for the Identification of Biomarkers of CKD Progression (G1–G5)
3.3. Multivariate Analysis of the Urine Samples
3.3.1. PLSDA Score Plot and VIP Scores
3.3.2. Biomarker Analysis and Prediction by Random Forest Analysis
3.4. Univariate Analysis of Urine Samples
4. Discussion
4.1. Molecules to Be Considered as Potential Biomarkers Which Allow the Identification of Early Stages of CKD
4.1.1. Amino Acids
4.1.2. Acylcarnitines
4.1.3. Uremic Toxins
4.1.4. Antioxidants
5. Conclusions
Author Contributions
Funding
Institutional Review Board Statement
Informed Consent Statement
Data Availability Statement
Conflicts of Interest
References
- Lv, J.-C.; Zhang, L.-X. Prevalence and Disease Burden of Chronic Kidney Disease. Ren. Fibros. Mech. Ther. 2019, 1165, 3–15. [Google Scholar] [CrossRef]
- Tinti, F.; Lai, S.; Noce, A.; Rotondi, S.; Marrone, G.; Mazzaferro, S.; Di Daniele, N.; Mitterhofer, A. Chronic Kidney Disease as a Systemic Inflammatory Syndrome: Update on Mechanisms Involved and Potential Treatment. Life 2021, 11, 419. [Google Scholar] [CrossRef] [PubMed]
- Kashani, K.; Rosner, M.H.; Ostermann, M. Creatinine: From physiology to clinical application. Eur. J. Intern. Med. 2020, 72, 9–14. [Google Scholar] [CrossRef]
- Touma, Z.; Urowitz, M.B.; Ibañez, D.; Gladman, D.D. Time to recovery from proteinuria in patients with lupus nephritis receiving standard treatment. J. Rheumatol. 2014, 41, 688–697. [Google Scholar] [CrossRef]
- Wilson, P.C.; Ledru, N.; Humphreys, B.D. Epigenomics and the kidney. Curr. Opin. Nephrol. Hypertens. 2020, 29, 280–285. [Google Scholar] [CrossRef]
- Vlad, A.; Vlad, M.; Petrica, L.; Ursoniu, S.; Gadalean, F.; Popescu, R.; Vlad, D.; Dumitrascu, V.; Gluhovschi, G.; Gluhovschi, C.; et al. Therapy with atorvastatin versus rosuvastatin reduces urinary podocytes, podocyte-associated molecules, and proximal tubule dysfunction biomarkers in patients with type 2 diabetes mellitus: A pilot study. Ren. Fail. 2017, 39, 112–119. [Google Scholar] [CrossRef]
- Suteanu-Simulescu, A.; Sarbu, M.; Ica, R.; Petrica, L.; Zamfir, A.D. Ganglioside analysis in body fluids by liquid-phase separation techniques hyphenated to mass spectrometry. Electrophoresis 2022, 5–6, 501–520. [Google Scholar] [CrossRef] [PubMed]
- Rhee, E.P.; Clish, C.B.; Ghorbani, A.; Larson, M.G.; Elmariah, S.; McCabe, E.; Yang, Q.; Cheng, S.; Pierce, K.; Deik, A.; et al. A Combined Epidemiologic and Metabolomic Approach Improves CKD Prediction. J. Am. Soc. Nephrol. 2013, 24, 1330–1338. [Google Scholar] [CrossRef]
- Lee, H.; Jang, H.B.; Yoo, M.-G.; Park, S.I.; Lee, H.-J. Amino Acid Metabolites Associated with Chronic Kidney Disease: An Eight-Year Follow-Up Korean Epidemiology Study. Biomedicines 2020, 8, 222. [Google Scholar] [CrossRef]
- Kang, E.; Li, Y.; Kim, B.; Huh, K.Y.; Han, M.; Ahn, J.-H.; Sung, H.Y.; Park, Y.S.; Lee, S.E.; Lee, S.; et al. Identification of Serum Metabolites for Predicting Chronic Kidney Disease Progression according to Chronic Kidney Disease Cause. Metabolites 2022, 12, 1125. [Google Scholar] [CrossRef]
- Chen, Y.; Zelnick, L.R.; Wang, K.; Hoofnagle, A.N.; Becker, J.O.; Hsu, C.-Y.; Feldman, H.I.; Mehta, R.C.; Lash, J.P.; Waikar, S.S.; et al. Kidney Clearance of Secretory Solutes Is Associated with Progression of CKD: The CRIC Study. J. Am. Soc. Nephrol. 2020, 31, 817–827. [Google Scholar] [CrossRef]
- Yuan, D.; Kuan, T.; Ling, H.; Wang, H.; Feng, L.; Zhao, Q.; Li, J.; Ran, J. Serum metabolomics of end-stage renal disease patients with depression: Potential biomarkers for diagnosis. Ren. Fail. 2021, 43, 1479–1491. [Google Scholar] [CrossRef] [PubMed]
- Mashima, R.; Nakanishi-Ueda, T.; Yamamoto, Y. Simultaneous determination of methionine sulfoxide and methionine in blood plasma using gas chromatography-mass spectrometry. Anal. Biochem. 2003, 313, 28–33. [Google Scholar] [CrossRef] [PubMed]
- Peng, H.; Liu, X.; Aoieong, C.; Tou, T.; Tsai, T.; Ngai, K.; Cheang, H.I.; Liu, Z.; Liu, P.; Zhu, H. Identification of Metabolite Markers Associated with Kidney Function. J. Immunol. Res. 2022, 2022, 1–9. [Google Scholar] [CrossRef]
- Coresh, J.; Inker, L.A.; Sang, Y.; Chen, J.; Shafi, T.; Post, W.S.; Shlipak, M.G.; Ford, L.; Goodman, K.; Perichon, R.; et al. Metabolomic profiling to improve glomerular filtration rate estimation: A proof-of-concept study. Nephrol. Dial. Transplant. 2019, 34, 825–833. [Google Scholar] [CrossRef] [PubMed]
- KDIGO. KDIGO 2012 Clinical Practice Guideline for the Evaluation and Management of Chronic Kidney Disease. Off. J. Int. Soc. Nephrol. 2013, 3, 5–14. [Google Scholar]
- Garibotto Giacomo, G.; Sofia, A.; Saffioti, S.; Bonanni, A.; Mannucci, I.; Verzola, D. Amino acid and protein metabolism in the human kidney and in patients with chronic kidney disease. Clin. Nutr. 2010, 29, 424–433. [Google Scholar] [CrossRef]
- Sui, W.; Li, L.; Che, W.; Zuo, G.; Chen, J.; Li, W.; Dai, Y. A proton nuclear magnetic resonance-based metabonomics study of metabolic profiling in immunoglobulin a nephropathy. Clinics 2012, 67, 363–373. [Google Scholar] [CrossRef]
- Psihogios, N.G.; Kalaitzidis, R.G.; Dimou, S.; Seferiadis, K.I.; Siamopoulos, K.C.; Bairaktari, E.T. Evaluation of tubulointerstitial lesions’ severity in patients with glomerulonephritides: An NMR-based metabonomic study. J. Proteome Res. 2007, 6, 3760–3770. [Google Scholar] [CrossRef]
- Li, R.; Dai, J.; Kang, H. The construction of a panel of serum amino acids for the identification of early chronic kidney disease patients. J. Clin. Lab. Anal. 2018, 32, e22282. [Google Scholar] [CrossRef]
- Serpa, J. Cysteine as a Carbon Source, a Hot Spot in Cancer Cells Survival. Front. Oncol. 2020, 10, 947. [Google Scholar] [CrossRef]
- Sumayao, R.; McEvoy, B.; Newsholme, P.; McMorrow, T. Lysosomal cystine accumulation promotes mitochondrial depolarization and induction of redox-sensitive genes in human kidney proximal tubular cells. J. Physiol. 2016, 594, 3353–3370. [Google Scholar] [CrossRef] [PubMed]
- Singh, V.K.; Rahman, M.N.; Munro, K.; Uversky, V.N.; Smith, S.P.; Jia, Z. Free cysteine modulates the conformation of human c/ebp homologous protein. PLoS ONE 2012, 7, e34680. [Google Scholar] [CrossRef] [PubMed]
- Nagumo, K.; Tanaka, M.; Chuang, V.T.G.; Setoyama, H.; Watanabe, H.; Yamada, N.; Kubota, K.; Matsushita, K.; Yoshida, A.; Jinnouchi, H.; et al. Cys34-cysteinylated human serum albumin is a sensitive plasma marker in oxidative stress-related chronic diseases. PLoS ONE 2014, 9, e85216. [Google Scholar] [CrossRef] [PubMed]
- Chen, D.-Q.; Cao, G.; Chen, H.; Argyopoulos, C.P.; Yu, H.; Su, W.; Chen, L.; Samuels, D.C.; Zhuang, S.; Bayliss, G.P.; et al. Identification of serum metabolites associating with chronic kidney disease progression and anti-fibrotic effect of 5-methoxytryptophan. Nat. Commun. 2019, 10, 1476. [Google Scholar] [CrossRef]
- Chen, D.-Q.; Cao, G.; Chen, H.; Argyopoulos, C.P.; Yu, H.; Su, W.; Chen, L.; Samuels, D.C.; Zhuang, S.; Bayliss, G.P.; et al. Endothelium-Derived 5-Methoxytryptophan Protects Endothelial Barrier Function by Blocking p38 MAPK Activation. PLoS ONE 2016, 11, e0152166. [Google Scholar] [CrossRef]
- Wu, K.K.; Kuo, C.-C.; Yet, S.-F.; Lee, C.-M.; Liou, J.-Y. 5-methoxytryptophan: An arsenal against vascular injury and inflammation. J. Biomed. Sci. 2020, 27, 79. [Google Scholar] [CrossRef]
- Dambrova, M.; Makrecka-Kuka, M.; Kuka, J.; Vilskersts, R.; Nordberg, D.; Attwood, M.M.; Smesny, S.; Sen, Z.D.; Guo, A.C.; Oler, E.; et al. Acylcarnitines: Nomenclature, Biomarkers, Therapeutic Potential, Drug Targets, and Clinical Trials. Pharm. Rev. 2022, 74, 506–551. [Google Scholar] [CrossRef]
- Xia, F.-Y.; Zhu, L.; Xu, C.; Wu, Q.-Q.; Chen, W.-J.; Zeng, R.; Deng, Y.-Y. Plasma acylcarnitines could predict prognosis and evaluate treatment of IgA nephropathy. Nutr. Metab. 2019, 16, 1–11. [Google Scholar] [CrossRef]
- Fouque, D.; Holt, S.; Guebre-Egziabher, F.; Nakamura, K.; Vianey-Saban, C.; Hadj-Aïssa, A.; Hoppel, C.L.; Kopple, J.D. Relationship between serum carnitine, acylcarnitines, and renal function in patients with chronic renal disease. J. Ren. Nutr. 2006, 16, 125–131. [Google Scholar] [CrossRef]
- Guasch-Ferré, M.; Zheng, Y.; Ruiz-Canela, M.; Hruby, A.; A Martínez-González, M.; Clish, C.B.; Corella, D.; Estruch, R.; Ros, E.; Fitó, M.; et al. Plasma acylcarnitines and risk of cardiovascular disease: Effect of Mediterranean diet interventions. Am. J. Clin. Nutr. 2016, 103, 1408–1416. [Google Scholar] [CrossRef]
- Duranton, F.; Cohen, G.; De Smet, R.; Rodriguez, M.; Jankowski, J.; Vanholder, R.; Argiles, A.; European Uremic Toxin Work Group. Normal and pathologic concentrations of uremic toxins. J. Am. Soc. Nephrol. 2012, 23, 1258–1270. [Google Scholar] [CrossRef] [PubMed]
- Sun, B.; Wang, X.; Liu, X.; Wang, L.; Ren, F.; Wang, X.; Leng, X. Hippuric acid promotes renal fibrosis by disrupting redox homeostasis via facilitation of NRF2–KEAP1–CUL3 interactions in chronic kidney disease. Antioxidants 2020, 9, 783. [Google Scholar] [CrossRef] [PubMed]
- Lano, G.; Burtey, S.; Sallée, M. Indoxyl sulfate, a uremic endotheliotoxin. Toxins 2020, 12, 229. [Google Scholar] [CrossRef]
- Motojima, M.; Hosokawa, A.; Yamato, H.; Muraki, T.; Yoshioka, T. Role of organic anion transporters in the tubular transport of indoxyl sulfate and the induction of its nephrotoxicity. J. Am. Soc. Nephrol. 2002, 13, 1711–1720. [Google Scholar] [CrossRef]
- Motojima, M.; Hosokawa, A.; Yamato, H.; Muraki, T.; Yoshioka, T. Uremic toxins of organic anions up-regulate PAI-1 expression by induction of NF-κB and free radical in proximal tubular cells. Kidney Int. 2003, 63, 1671–1680. [Google Scholar] [CrossRef] [PubMed]
- Shimizu, H.; Bolati, D.; Higashiyama, Y.; Nishijima, F.; Shimizu, K.; Niwa, T. Indoxyl sulfate upregulates renal expression of MCP-1 via production of ROS and activation of NF-κB, p53, ERK, and JNK in proximal tubular cells. Life Sci. 2012, 90, 525–530. [Google Scholar] [CrossRef] [PubMed]
- Fujii, H.; Goto, S.; Fukagawa, M. Role of uremic toxins for kidney, cardiovascular, and bone dysfunction. Toxins 2018, 10, 202. [Google Scholar] [CrossRef] [PubMed]
- Fagugli, R.M.; De Smet, R.; Buoncristiani, U.; Lameire, N.; Vanholder, R. Behavior of non-protein-bound and protein-bound uremic solutes during daily hemodialysis. Am. J. Kidney Dis. 2002, 40, 339–347. [Google Scholar] [CrossRef]
- Vanholder, R.; De Smet, R.; Glorieux, G.; Argilés, A.; Baurmeister, U.; Brunet, P.; Clark, W.; Cohen, G.; De Deyn, P.P.; Deppisch, R.; et al. Review on uremic toxins: Classification, concentration, and interindividual variability. Kidney Int. 2003, 63, 1934–1943. [Google Scholar] [CrossRef]
- Roshanravan, B.; Zelnick, L.R.; Djucovic, D.; Gu, H.; Alvarez, J.A.; Ziegler, T.R.; Gamboa, J.L.; Utzschneider, K.; Kestenbaum, B.; Himmelfarb, J.; et al. Chronic kidney disease attenuates the plasma metabolome response to insulin. JCI Insight 2018, 3, e122219. [Google Scholar] [CrossRef]
- Ishii, N.; Ikenaga, H.; Ogawa, Z.; Aoki, Y.; Saruta, T.; Suga, T. Effects of renal sorbitol accumulation on urinary excretion of enzymes in hyperglycaemic rats. Ann. Clin. Biochem. Int. J. Lab. Med. 2001, 38, 391–398. [Google Scholar] [CrossRef] [PubMed]
- Grdović, N.; Rajić, J.; Jovanović, J.A.; Dinić, S.; Tolić, A.; Đorđević, M.; Đorđević, M.; Trifunović, S.; Vidaković, M.; Uskoković, A.; et al. α-Lipoic Acid Increases Collagen Synthesis and Deposition in Nondiabetic and Diabetic Rat Kidneys. Oxid. Med. Cell Longev. 2021, 2021, 1–12. [Google Scholar] [CrossRef] [PubMed]
- Martinelli, I.; Tomassoni, D.; Roy, P.; Di Cesare Mannelli, L.; Amenta, F.; Tayebati, S.K. Antioxidant Properties of Alpha-Lipoic (Thioctic) Acid Treatment on Renal and Heart Parenchyma in a Rat Model of Hypertension. Antioxidants 2021, 10, 1006. [Google Scholar] [CrossRef]
- Tibullo, D.; Volti, G.L.; Giallongo, C.; Grasso, S.; Tomassoni, D.; Anfuso, C.D.; Lupo, G.; Amenta, F.; Avola, R.; Bramanti, V. Biochemical and clinical relevance of alpha lipoic acid: Antioxidant and anti-inflammatory activity, molecular pathways and therapeutic potential. Inflamm. Res. 2017, 66, 947–959. [Google Scholar] [CrossRef] [PubMed]
- Salehi, B.; Berkay Yılmaz, Y.; Antika, G.; Boyunegmez Tumer, T.; Fawzi Mahomoodally, M.; Lobine, D.; Akram, M.; Riaz, M.; Capanoglu, E.; Sharopov, F.; et al. Insights on the Use of α-Lipoic Acid for Therapeutic Purposes. Biomolecules 2019, 9, 356. [Google Scholar] [CrossRef] [PubMed]
- Camiolo, G.; Tibullo, D.; Giallongo, C.; Romano, A.; Parrinello, N.L.; Musumeci, G.; Di Rosa, M.; Vicario, N.; Brundo, M.V.; Amenta, F.; et al. α-Lipoic Acid Reduces Iron-induced Toxicity and Oxidative Stress in a Model of Iron Overload. Int. J. Mol. Sci. 2019, 20, 609. [Google Scholar] [CrossRef]
- Zhang, W.-J.; Frei, B. α-Lipoic acid inhibits TNF-a-induced NF-κB activation and adhesion molecule expression in human aortic endothelial cells. FASEB J. 2001, 15, 2423–2432. [Google Scholar] [CrossRef]
- Rochette, L.; Ghibu, S.; Muresan, A.; Vergely, C. Alpha-lipoic acid: Molecular mechanisms and therapeutic potential in diabetes. Can. J. Physiol. Pharm. 2015, 93, 1021–1027. [Google Scholar] [CrossRef]
- Zhang, J.; McCullough, P.A. Lipoic Acid in the Prevention of Acute Kidney Injury. Nephron 2016, 134, 133–140. [Google Scholar] [CrossRef]
- Takaoka, M.; Ohkita, M.; Kobayashi, Y.; Yuba, M.; Matsumura, Y. Protective Effect Of alpha-LIPOIC Acid Against Ischaemic Acute Renal Failure In Rats. Clin. Exp. Pharm. Physiol. 2002, 29, 189–194. [Google Scholar] [CrossRef]
- Armagan, I.; Bayram, D.; Candan, I.A.; Yigit, A.; Celik, E.; Armagan, H.H.; Uğuz, A.C. Effects of pentoxifylline and alpha lipoic acid on methotrexate-induced damage in liver and kidney of rats. Environ. Toxicol. Pharmacol. 2015, 39, 1122–1131. [Google Scholar] [CrossRef]
- Cho, H.S.; Kim, J.H.; Jang, H.N.; Lee, T.W.; Jung, M.H.; Kim, T.H.; Chang, S.-H.; Park, D.J. Alpha-lipoic acid ameliorates the epithelial mesenchymal transition induced by unilateral ureteral obstruction in mice. Sci. Rep. 2017, 7, 46065. [Google Scholar] [CrossRef]




| P Group | |||||||
|---|---|---|---|---|---|---|---|
| C Group | G1 Group | G2 Group | G3a Group | G3b Group | G4 Group | G5 Group | |
| Participants | 20 | 12 | 15 | 17 | 15 | 15 | 14 |
| Sex (M) | 12 | 7 | 9 | 6 | 7 | 8 | 6 |
| Age (y) | 55.85 ± 7.25 | 39.92 ± 10.8 | 53.6 ± 15.4 | 55.1 ± 15.2 | 58.9 ± 14.4 | 61.2 ± 14.8 | 63.6 ± 12.6 |
| BMI (kg/m2) | 25.35 ± 8.5 | 26.42 ± 3.1 | 26.9 ± 1.7 | 27.9 ± 1.9 | 28.5 ± 2.3 | 27.3 ± 3.2 | 28.6 ± 2.2 |
| Glomerulonephritis | 0 | 3 | 5 | 1 | 0 | 5 | 3 |
| Hypertension | 0 | 12 | 15 | 17 | 15 | 15 | 14 |
| Acquired solitary kidney | 0 | 0 | 0 | 0 | 0 | 2 | 1 |
| Serum creatinine (mg/dL) | 0.73 ± 0.08 | 1.46 ± 2.1 | 1.4 ± 0.3 | 1.6 ± 0.7 | 1.7 ± 0.3 | 6.5 ± 13 | 5.19 ± 0.8 |
| eGFR(ml/min/1.73 m2) | 97.93 ± 11.71 | 101.9 ± 12.2 | 65.1 ± 12.9 | 49 ± 10.6 | 39.9 ± 5 | 21.3 ± 11.6 | 12.9 ± 11.8 |
| uACR (mg/g) | 14.67 ± 6.4 | 449.7 + 1177.3 | 1252.3 + 1625.7 | 630.6 + 709.2 | 672.9 + 1509.1 | 747.9 + 884 | 1102.9 + 1365.6 |
| m/z | Identification | HMDB ID | VIP | MDA | AUC | p-Value | Log2 FC | |
|---|---|---|---|---|---|---|---|---|
| 340.2809 | Oleoyl glycine | HMDB0013631 | D | 2.629 | 0.016 | 0.961 | 6.59 × 10−14 | 0.773 |
| 207.1735 | Alpha-Lipoic acid | HMDB0001451 | D | 2.009 | 0.017 | 0.904 | 6.57 × 10−8 | |
| 141.9693 | Ethanolamine Phosphate | HMDB0000224 | I | 1.838 | 0.009 | 0.903 | 1.07 × 10−6 | −2.113 |
| 301.161 | All-trans retinoic acid | HMDB0001852 | I | 1.849 | 0.008 | 0.907 | 9.16 × 10−7 | −2.133 |
| 183.0079 | Sorbitol | HMDB0000247 | I | 2.003 | 0.007 | 0.891 | 7.57 × 10−8 | −1.146 |
| 121.9741 | L-Cysteine | HMDB0000574 | D | 1.841 | 0.007 | 0.851 | 1.03 × 10−6 | 0.363 |
| 216.0103 | Propenoy lcarnitine | HMDB0013124 | I | 1.989 | 0.006 | 0.869 | 9.55 × 10−8 | −1.104 |
| 166.0979 | Phenylalanine | HMDB0000159 | D | 1.840 | 0.005 | 0.828 | 7.39 × 10−5 | −0.490 |
| 190.0629 | Kynurenic acid | HMDB0000715 | I | 1.608 | 0.004 | 0.831 | 2.57 × 10−5 | −0.628 |
| m/z | Identification | HMDB ID | VIP | MDA | AUC | p-Value | Log2 FC | |
|---|---|---|---|---|---|---|---|---|
| 329.0086 | Glycylprolylarginine | HMDB0252828 | I | 2.409 | 0.009 | 0.955 | 5.53 × 10−9 | −0.758 |
| 253.1817 | Deoxyinosine | HMDB0000071 | I | 2.338 | 0.006 | 0.932 | 3.52 × 10−8 | −0.56 |
| 279.1616 | Leucyl-phenylalanine | HMDB0013243 | I | 2.389 | 0.006 | 0.92 | 1.12 × 10−8 | −0.771 |
| 230.2496 | Butenoylcarnitine | HMDB0249460 | I | 2.283 | 0.006 | 0.919 | 3.58 × 10−8 | −0.844 |
| 301.1441 | All-trans retinoic acid | HMDB0001852 | I | 2.484 | 0.008 | 0.918 | 2.39 × 10−9 | −1.091 |
| 235.1712 | Methoxy tryptophan | HMDB0002339 | I | 2.508 | 0.008 | 0.918 | 1.62 × 10−9 | −1.114 |
| 275.1642 | Serotonin sulfate | HMDB0240717 | I | 2.380 | 0.002 | 0.907 | 7.30 × 10−9 | −0.754 |
| 214.2544 | Indoxyl sulfate | HMDB0000682 | I | 2.823 | 0.014 | 0.968 | 1.34 × 10−2 | −1.128 |
| Serum Metabolites | P vs. C | Subgroups vs. Controls | Urine Metabolites | P vs. C | Subgroups vs. Controls |
|---|---|---|---|---|---|
| Oleoyl glycine | D | G5 < G1 < C | Indoxyl sufate | I | G5 > G1 > C |
| Alpha-Lipoic acid | D | G5 < G1 < C | Glycylproly lArginine | I | G5 < G1 < C |
| All-trans retinoic acid | I | G5 > G1 | Deoxyinosine | I | G3 > G1 |
| Sorbitol | I | G5 > G1 | Leucyl-phenylalanine | I | G5~G3 > G1 > C |
| L-Cysteine | D | G5 < G1 < C | Butenoylcarnitine | I | G5 > G1 > C |
| Propenoylcarnitine | I | G4~G2 > G1 > C | All-trans retinoic acid | I | G5~G3 > G1 > C |
| Phenylalanine | D | G4 < G1 < C | Methoxy tryptophan | I | G5~G3 > G1 > C |
| Kynurenic acid | I | G5 > G1 > C | Serotonin sulfate | I | G5~G3 > G1 > C |
Disclaimer/Publisher’s Note: The statements, opinions and data contained in all publications are solely those of the individual author(s) and contributor(s) and not of MDPI and/or the editor(s). MDPI and/or the editor(s) disclaim responsibility for any injury to people or property resulting from any ideas, methods, instructions or products referred to in the content. |
© 2023 by the authors. Licensee MDPI, Basel, Switzerland. This article is an open access article distributed under the terms and conditions of the Creative Commons Attribution (CC BY) license (https://creativecommons.org/licenses/by/4.0/).
Share and Cite
Glavan, M.-R.; Socaciu, C.; Socaciu, A.I.; Gadalean, F.; Cretu, O.M.; Vlad, A.; Muntean, D.M.; Bob, F.; Milas, O.; Suteanu, A.; et al. Untargeted Metabolomics by Ultra-High-Performance Liquid Chromatography Coupled with Electrospray Ionization-Quadrupole-Time of Flight-Mass Spectrometry Analysis Identifies a Specific Metabolomic Profile in Patients with Early Chronic Kidney Disease. Biomedicines 2023, 11, 1057. https://doi.org/10.3390/biomedicines11041057
Glavan M-R, Socaciu C, Socaciu AI, Gadalean F, Cretu OM, Vlad A, Muntean DM, Bob F, Milas O, Suteanu A, et al. Untargeted Metabolomics by Ultra-High-Performance Liquid Chromatography Coupled with Electrospray Ionization-Quadrupole-Time of Flight-Mass Spectrometry Analysis Identifies a Specific Metabolomic Profile in Patients with Early Chronic Kidney Disease. Biomedicines. 2023; 11(4):1057. https://doi.org/10.3390/biomedicines11041057
Chicago/Turabian StyleGlavan, Mihaela-Roxana, Carmen Socaciu, Andreea Iulia Socaciu, Florica Gadalean, Octavian M. Cretu, Adrian Vlad, Danina M. Muntean, Flaviu Bob, Oana Milas, Anca Suteanu, and et al. 2023. "Untargeted Metabolomics by Ultra-High-Performance Liquid Chromatography Coupled with Electrospray Ionization-Quadrupole-Time of Flight-Mass Spectrometry Analysis Identifies a Specific Metabolomic Profile in Patients with Early Chronic Kidney Disease" Biomedicines 11, no. 4: 1057. https://doi.org/10.3390/biomedicines11041057
APA StyleGlavan, M.-R., Socaciu, C., Socaciu, A. I., Gadalean, F., Cretu, O. M., Vlad, A., Muntean, D. M., Bob, F., Milas, O., Suteanu, A., Jianu, D. C., Stefan, M., Balint, L., Ienciu, S., & Petrica, L. (2023). Untargeted Metabolomics by Ultra-High-Performance Liquid Chromatography Coupled with Electrospray Ionization-Quadrupole-Time of Flight-Mass Spectrometry Analysis Identifies a Specific Metabolomic Profile in Patients with Early Chronic Kidney Disease. Biomedicines, 11(4), 1057. https://doi.org/10.3390/biomedicines11041057

