Small Molecule GSK-3 Inhibitors Safely Promote the Proliferation and Viability of Human Dental Pulp Stem Cells—In Vitro
Abstract
1. Introduction
2. Materials and Methods
2.1. Sample Collection and Isolation
2.2. Identification and Characterization of Isolated DPSCs by Flow Cytometric for Surface Marker Expression
2.3. Determination of the Least Cytotoxic Dose of CHIR99021 and Tideglusib on DPSCS
2.4. Assessment of Cell Proliferation via CCK8 Assay
2.5. Flow Cytometric Surface Marker Expression Analysis of Apoptotic Marker ANNEXIN V
2.6. Assessment of Stemness Properties by Real-Time Quantitative PCR
2.7. Statistical Analysis
3. Results
3.1. Isolation of hDPSCs
3.2. Determination of the Least Cytotoxic Dose of CHIR99021 and Tideglusib
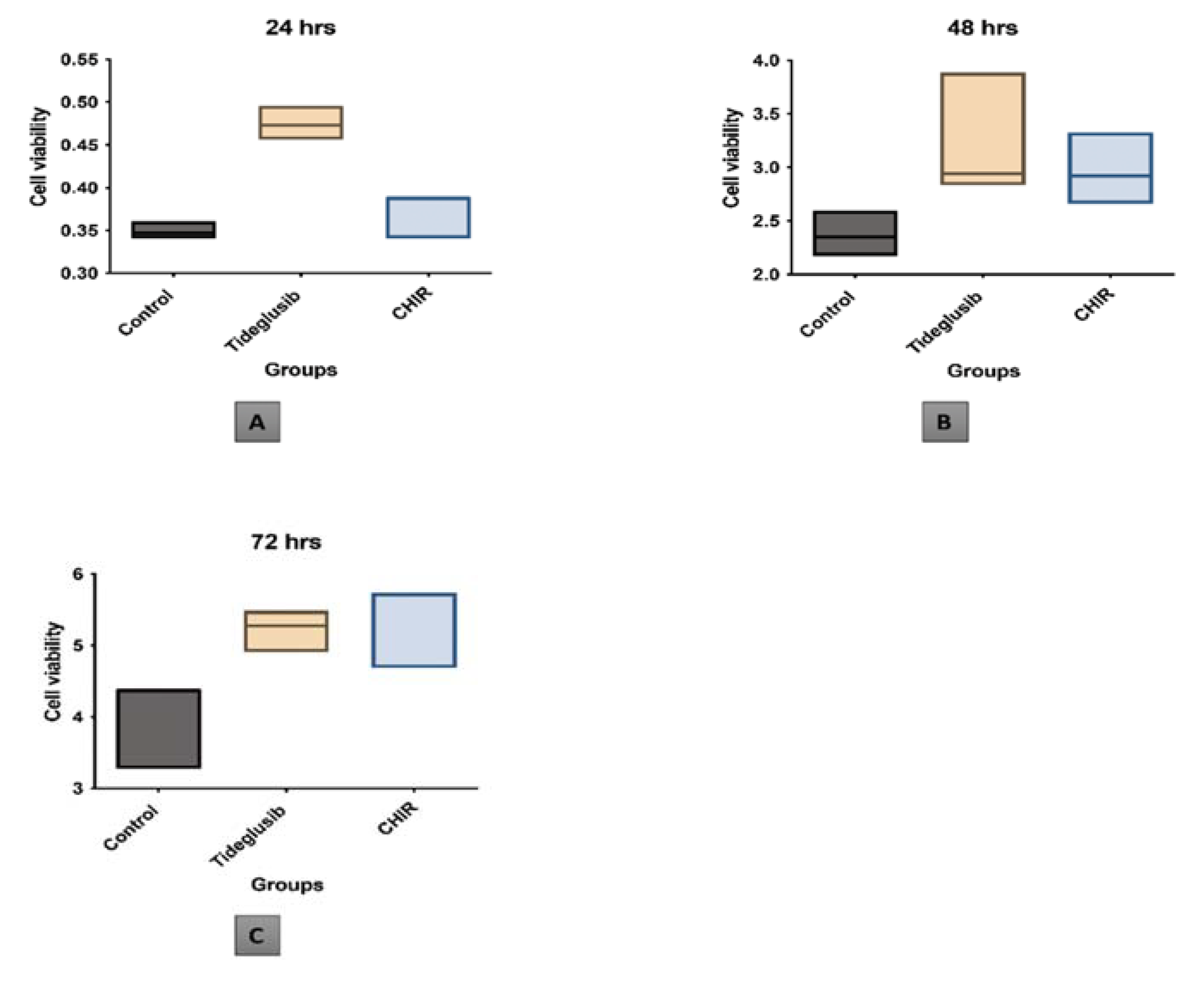
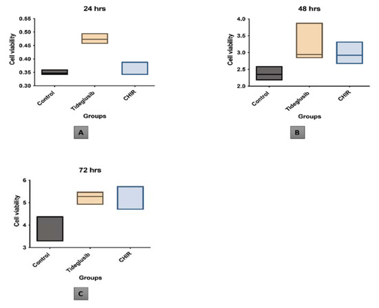
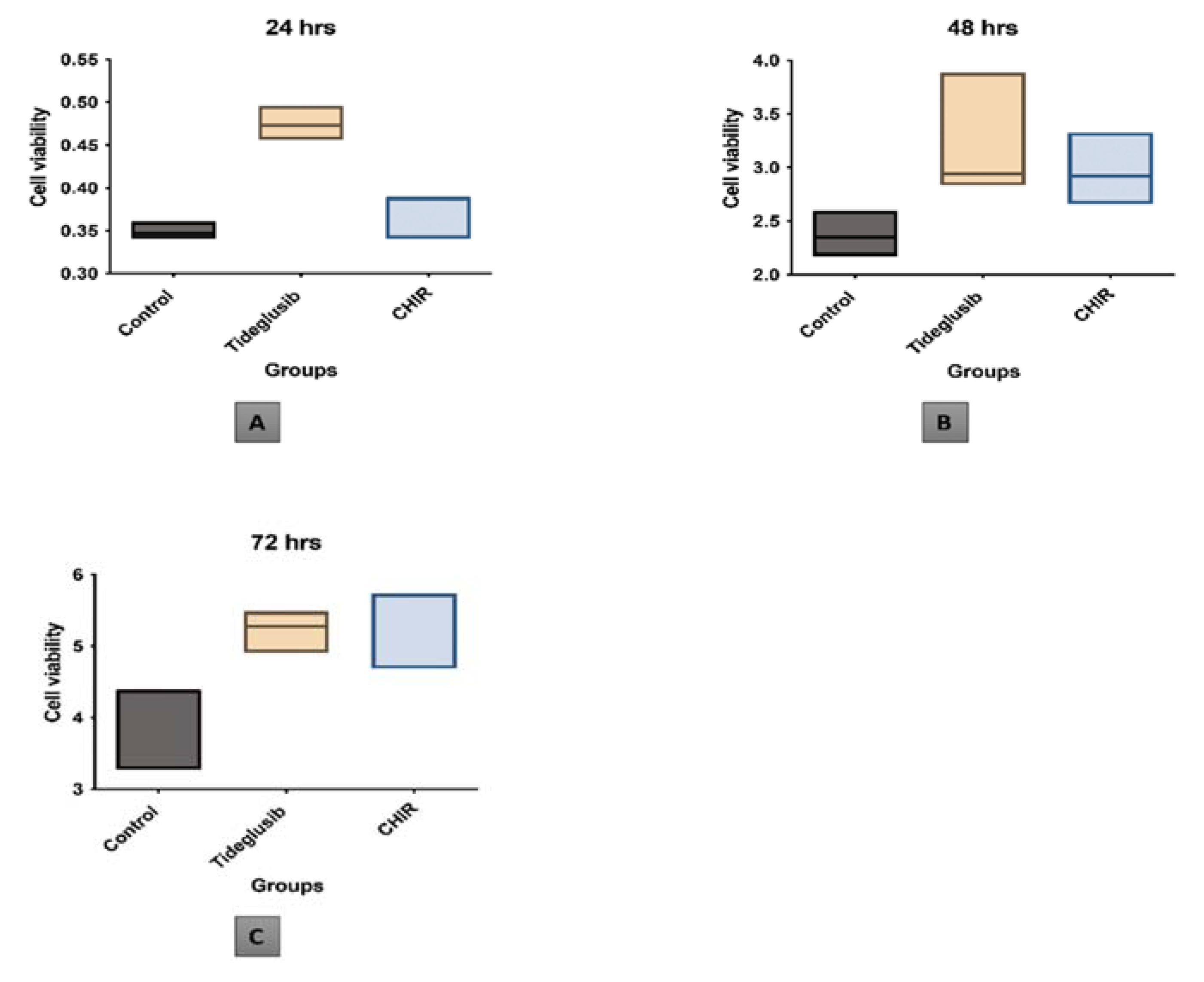
3.3. Chir99021 and Tideglusib Promoted Proliferation and Cellular Viability
3.4. CHIR99021 and Tideglusib Protected hDPSCs from Apoptosis
3.5. CHIR99021 and Tideglusib Enhanced the Stemness Properties of hDPSCs
4. Discussion
5. Conclusions
Author Contributions
Funding
Institutional Review Board Statement
Informed Consent Statement
Data Availability Statement
Conflicts of Interest
References
- Yang, N.J.; Hinner, M.J. Getting across the Cell Membrane: An Overview for Small Molecules, Peptides, and Proteins. In Site-Specific Protein Labeling; Gautier, A., Hinner, M.J., Eds.; Springer: New York, NY, USA, 2015; Volume 1266, pp. 29–53. [Google Scholar] [CrossRef]
- Xu, W.; Zeng, Z.; Jiang, J.H.; Chang, Y.T.; Yuan, L. Discerning the Chemistry in Individual Organelles with Small-Molecule Fluorescent Probes. Angew. Chem. Int. Ed. 2016, 55, 13658–13699. [Google Scholar] [CrossRef] [PubMed]
- Blaich, G.; Janssen, B.; Roth, G.; Salfeld, J. Overview: Differentiating Issues in the Development of Macromolecules Compared with Small Molecules. In Pharmaceutical Sciences Encyclopedia; John Wiley & Sons, Inc.: Hoboken, NJ, USA, 2010; p. pse292. [Google Scholar]
- Goonoo, N.; Bhaw-Luximon, A. Mimicking growth factors: Role of small molecule scaffold additives in promoting tissue regeneration and repair. RSC Adv. 2019, 9, 18124–18146. [Google Scholar] [CrossRef] [PubMed]
- Lo, W.H.; Ulery, B.D.; Deng, M.; Ashe, K.M.; Laurencin, C.T. Current Patents on Osteoinductive Molecules for Bone Tissue Engineering. Recent Pat. Biomed. Eng. 2011, 4, 153–167. [Google Scholar] [CrossRef]
- Pandey, M.K.; DeGrado, T.R. Glycogen Synthase Kinase-3 (GSK-3)-Targeted Therapy and Imaging. Theranostics 2016, 6, 571–593. [Google Scholar] [CrossRef]
- Tolosa, E.; Litvan, I.; Höglinger, G.U.; Burn, D.; Lees, A.; Andrés, M.V.; Gómez-Carrillo, B.; León, T.; Del Ser, T. A phase 2 trial of the GSK-3 inhibitor tideglusib in progressive supranuclear palsy: Tideglusib in PSP. Mov. Disord. 2014, 29, 470–478. [Google Scholar] [CrossRef]
- Höglinger, G.U.; Huppertz, H.J.; Wagenpfeil, S.; Andrés, M.V.; Belloch, V.; León, T.; Del Ser, T.; Gmez, J.C.; Tijero, B.; TAUROS MRI Investigators; et al. Tideglusib reduces progression of brain atrophy in progressive supranuclear palsy in a randomized trial: Tideglusib in PSP. Mov. Disord. 2014, 29, 479–487. [Google Scholar] [CrossRef]
- Lovestone, S.; Boada, M.; Dubois, B.; Hüll, M.; Rinne, J.O.; Huppertz, H.J.; Calero, M.; Andres, M.V.; Gómez-Carrillo, B.; Leon, T.; et al. A Phase II Trial of Tideglusib in Alzheimer’s Disease. J. Alzheimers Dis. 2015, 45, 75–88. [Google Scholar] [CrossRef]
- Eldar-Finkelman, H.; Martinez, A. GSK-3 Inhibitors: Preclinical and Clinical Focus on CNS. Front. Mol. Neurosci. 2011, 4, 32. [Google Scholar] [CrossRef]
- US Food & Drug Administration. Orphan Drug Designations and Approvals. 2015. Available online: https://www.accessdata.fda.gov/scripts/opdlisting/oopd/detailedIndex.cfm?cfgridkey=577417 (accessed on 1 January 2019).
- Pan, J.Q.; Lewis, M.C.; Ketterman, J.K.; Clore, E.L.; Riley, M.; Richards, K.R.; Berry-Scott, E.; Liu, X.; Wagner, F.F.; Holson, E.B.; et al. AKT Kinase Activity Is Required for Lithium to Modulate Mood-Related Behaviors in Mice. Neuropsychopharmacology 2011, 36, 1397–1411. [Google Scholar] [CrossRef]
- Ring, D.B.; Johnson, K.W.; Henriksen, E.J.; Nuss, J.M.; Goff, D.; Kinnick, T.R.; Ma, S.T.; Reeder, J.W.; Samuels, I.; Slabiak, T.; et al. Selective Glycogen Synthase Kinase 3 Inhibitors Potentiate Insulin Activation of Glucose Transport and Utilization In Vitro and In Vivo. Diabetes 2003, 52, 588–595. [Google Scholar] [CrossRef]
- Govarthanan, K.; Vidyasekar, P.; Gupta, P.K.; Lenka, N.; Verma, R.S. Glycogen synthase kinase 3β inhibitor-CHIR 99021 augments the differentiation potential of mesenchymal stem cells. Cytotherapy 2020, 22, 91–105. [Google Scholar] [CrossRef]
- Sato, T.; Hoshino, E.; Uematsu, H.; Noda, T. In vitro antimicrobial susceptibility to combinations of drugs of bacteria from carious and endodontic lesions of human deciduous teeth. Oral Microbiol. Immunol. 1993, 8, 172–176. [Google Scholar] [CrossRef]
- Wu, D.; Pan, W. GSK3: A multifaceted kinase in Wnt signaling. Trends Biochem. Sci. 2010, 35, 161–168. [Google Scholar] [CrossRef]
- Wu, Y.; Ai, Z.; Yao, K.; Cao, L.; Du, J.; Shi, X.; Guo, Z.; Zhang, Y. CHIR99021 promotes self-renewal of mouse embryonic stem cells by modulation of protein-encoding gene and long intergenic non-coding RNA expression. Exp. Cell Res. 2013, 319, 2684–2699. [Google Scholar] [CrossRef]
- Cohen, P.; Goedert, M. GSK3 inhibitors: Development and therapeutic potential. Nat. Rev. Drug Discov. 2004, 3, 479–487. [Google Scholar] [CrossRef]
- Naujok, O.; Lentes, J.; Diekmann, U.; Davenport, C.; Lenzen, S. Cytotoxicity and activation of the Wnt/beta-catenin pathway in mouse embryonic stem cells treated with four GSK3 inhibitors. BMC Res. Notes 2014, 7, 273. [Google Scholar] [CrossRef]
- Heng, B.C.; Jiang, S.; Yi, B.; Gong, T.; Lim, L.W.; Zhang, C. Small molecules enhance neurogenic differentiation of dental-derived adult stem cells. Arch. Oral Biol. 2019, 102, 26–38. [Google Scholar] [CrossRef]
- Patel, A.N.; Bartlett, C.E.; Ichim, T.E. Mesenchymal Stem Cells. In Stem Cell and Gene Therapy for Cardiovascular Disease; Elsevier: Amsterdam, The Netherlands, 2016; pp. 139–150. [Google Scholar] [CrossRef]
- Nakashima, M.; Hayashi, Y. Dental Stem Cells. In Encyclopedia of Biomedical Engineering; Elsevier: Amsterdam, The Netherlands, 2019; pp. 554–564. [Google Scholar] [CrossRef]
- Dominici, M.L.B.K.; Le Blanc, K.; Mueller, I.; Slaper-Cortenbach, I.; Marini, F.C.; Krause, D.S.; Deans, R.J.; Keating, A.; Prockop, D.J.; Horwitz, E.M. Minimal criteria for defining multipotent mesenchymal stromal cells. The International Society for Cellular Therapy position statement. Cytotherapy 2006, 8, 315–317. [Google Scholar] [CrossRef]
- Shoi, K.; Aoki, K.; Ohya, K.; Takagi, Y.; Shimokawa, H. Characterization of pulp and follicle stem cells from impacted supernumerary maxillary incisors. Pediatr. Dent. 2014, 36, 79–84. [Google Scholar]
- Govindasamy, V.; Abdullah, A.N.; Sainik Ronald, V.; Musa, S.; Che Ab Aziz, Z.A.; Zain, R.B.; Totey, S.; Bhonde, R.R.; Kasim, N.H.A. Inherent Differential Propensity of Dental Pulp Stem Cells Derived from Human Deciduous and Permanent Teeth. J. Endod. 2010, 36, 1504–1515. [Google Scholar] [CrossRef]
- Birant, S.; Gokalp, M.; Duran, Y.; Koruyucu, M.; Akkoc, T.; Seymen, F. Cytotoxicity of NeoMTA Plus, ProRoot MTA and Biodentine on human dental pulp stem cells. J. Dent. Sci. 2021, 16, 971–979. [Google Scholar] [CrossRef] [PubMed]
- Kook, S.H.; Lee, D.; Cho, E.S.; Heo, J.S.; Poudel, S.B.; Ahn, Y.H. Activation of canonical Wnt/β-catenin signaling inhibits H2O2-induced decreases in proliferation and differentiation of human periodontal ligament fibroblasts. Mol. Cell Biochem. 2016, 411, 83–94. [Google Scholar] [CrossRef] [PubMed]
- Lee, E.C.; Kim, Y.M.; Lim, H.M.; Ki, G.E.; Seo, Y.K. The Histone Deacetylase Inhibitor (MS-275) Promotes Differentiation of Human Dental Pulp Stem Cells into Odontoblast-Like Cells Independent of the MAPK Signaling System. Int. J. Mol. Sci. 2020, 21, 5771. [Google Scholar] [CrossRef] [PubMed]
- Neves, V.C.M.; Babb, R.; Chandrasekaran, D.; Sharpe, P.T. Promotion of natural tooth repair by small molecule GSK3 antagonists. Sci. Rep. 2017, 7, 39654. [Google Scholar] [CrossRef]
- Buse, O.N.C.U.; Yilmaz, A.M.; Yilmaz, B.K.; Altunok, E.Ç.; Leyla, K.U.R.U.; Ağrali, Ö.B. Cytotoxicity and Collagen Expression Effects of Tideglusib Administration on Human Periodontal Cells: An In-Vitro Study. Clin. Exp. Health Sci. 2020, 10, 153–162. [Google Scholar] [CrossRef]
- Kanjevac, T.; Milovanovic, M.; Volarevic, V.; LLukic, M.; Arsenijevic, N.; Markovic, D.; Zdravkovic, N.; Tesic, Z.; Lukic, A. Cytotoxic Effects of Glass Ionomer Cements on Human Dental Pulp Stem Cells Correlate with Fluoride Release. Med. Chem. 2012, 8, 40–45. [Google Scholar] [CrossRef]
- Amini, S.; Fathi, F.; Mobalegi, J.; Sofimajidpour, H.; Ghadimi, T. The expressions of stem cell markers: Oct4, Nanog, Sox2, nucleostemin, Bmi, Zfx, Tcl1, Tbx3, Dppa4, and Esrrb in bladder, colon, and prostate cancer, and certain cancer cell lines. Anat Cell Biol. 2014, 47, 1. [Google Scholar] [CrossRef]
- Lee, J.; Kim, H.K.; Rho, J.Y.; Han, Y.M.; Kim, J. The Human OCT-4 Isoforms Differ in Their Ability to Confer Self-renewal. J. Biol. Chem. 2006, 281, 33554–33565. [Google Scholar] [CrossRef]
- Bani-Yaghoub, M.; Tremblay, R.G.; Lei, J.X.; Zhang, D.; Zurakowski, B.; Sandhu, J.K.; Smith, B.; Ribecco-Lutkiewicz, M.; Kennedy, J.; Walker, P.R.; et al. Role of Sox2 in the development of the mouse neocortex. Dev. Biol. 2006, 295, 52–66. [Google Scholar] [CrossRef]
- Chambers, I.; Colby, D.; Robertson, M.; Nichols, J.; Lee, S.; Tweedie, S.; Smith, A. Functional Expression Cloning of Nanog, a Pluripotency Sustaining Factor in Embryonic Stem Cells. Cell 2003, 113, 643–655. [Google Scholar] [CrossRef]
- Pan, G.; Thomson, J.A. Nanog and transcriptional networks in embryonic stem cell pluripotency. Cell Res. 2007, 17, 42–49. [Google Scholar] [CrossRef]
- Gopinathan, G.; Kolokythas, A.; Luan, X.; Diekwisch, T.G.H. Epigenetic Marks Define the Lineage and Differentiation Potential of Two Distinct Neural Crest-Derived Intermediate Odontogenic Progenitor Populations. Stem Cells Dev. 2013, 22, 1763–1778. [Google Scholar] [CrossRef]
- Ferro, F.; Spelat, R.; D’Aurizio, F.; Puppato, E.; Pandolfi, M.; Beltrami, A.P.; Cesselli, D.; Falini, G.; Beltrami, C.A.; Curcio, F. Dental Pulp Stem Cells Differentiation Reveals New Insights in Oct4A Dynamics. Cooney AJ, editor. PLoS ONE 2012, 7, e41774. [Google Scholar] [CrossRef]
- Karamzadeh, R.; Baghaban Eslaminejad, M.; SharifiZarchi, A. Comparative In Vitro Evaluation of Human Dental Pulp and Follicle Stem Cell Commitment. Cell J. Yakhteh 2016, 18, 609. [Google Scholar] [CrossRef]
- Bhandi, S.; Alkahtani, A.; Reda, R.; Mashyakhy, M.; Boreak, N.; Maganur, P.C.; Vishwanathaiah, S.; Mehta, D.; Vyas, N.; Patil, V.; et al. Parathyroid Hormone Secretion and Receptor Expression Determine the Age-Related Degree of Osteogenic Differentiation in Dental Pulp Stem Cells. J. Pers. Med. 2021, 11, 349. [Google Scholar] [CrossRef]









| Control | 5 nM | 10 nM | 15 nM | 20 nM | 25 nM | |
|---|---|---|---|---|---|---|
| Minimum | 2.394 | 1.663 | 1.825 | 1.621 | 0.7660 | 0.6070 |
| Median | 2.398 | 2.080 | 2.076 | 1.727 | 0.8300 | 0.7290 |
| Maximum | 2.550 | 2.496 | 2.196 | 1.850 | 0.9630 | 0.8980 |
| Lower 95% CI | 2.226 | 1.045 | 1.562 | 1.448 | 0.6034 | 0.3817 |
| Upper 95% CI | 2.668 | 3.114 | 2.503 | 2.017 | 1.103 | 1.108 |
| Control | 10 nM | 50 nM | 100 nM | 200 nM | 250 nM | |
|---|---|---|---|---|---|---|
| Minimum | 2.016 | 1.844 | 1.935 | 2.034 | 2.228 | 2.144 |
| Median | 2.167 | 2.105 | 2.060 | 2.288 | 2.312 | 2.223 |
| Maximum | 2.404 | 2.202 | 2.309 | 2.386 | 2.443 | 2.299 |
| Lower 95% CI | 1.710 | 1.590 | 1.628 | 1.785 | 2.059 | 2.029 |
| Upper 95% CI | 2.682 | 2.510 | 2.574 | 2.687 | 2.597 | 2.415 |
Disclaimer/Publisher’s Note: The statements, opinions and data contained in all publications are solely those of the individual author(s) and contributor(s) and not of MDPI and/or the editor(s). MDPI and/or the editor(s) disclaim responsibility for any injury to people or property resulting from any ideas, methods, instructions or products referred to in the content. |
© 2023 by the authors. Licensee MDPI, Basel, Switzerland. This article is an open access article distributed under the terms and conditions of the Creative Commons Attribution (CC BY) license (https://creativecommons.org/licenses/by/4.0/).
Share and Cite
Hanna, S.; Aly, R.; Eldeen, G.N.; Adanero Velasco, A.; Pérez Alfayate, R. Small Molecule GSK-3 Inhibitors Safely Promote the Proliferation and Viability of Human Dental Pulp Stem Cells—In Vitro. Biomedicines 2023, 11, 542. https://doi.org/10.3390/biomedicines11020542
Hanna S, Aly R, Eldeen GN, Adanero Velasco A, Pérez Alfayate R. Small Molecule GSK-3 Inhibitors Safely Promote the Proliferation and Viability of Human Dental Pulp Stem Cells—In Vitro. Biomedicines. 2023; 11(2):542. https://doi.org/10.3390/biomedicines11020542
Chicago/Turabian StyleHanna, Samer, Riham Aly, Ghada Nour Eldeen, Alberto Adanero Velasco, and Ruth Pérez Alfayate. 2023. "Small Molecule GSK-3 Inhibitors Safely Promote the Proliferation and Viability of Human Dental Pulp Stem Cells—In Vitro" Biomedicines 11, no. 2: 542. https://doi.org/10.3390/biomedicines11020542
APA StyleHanna, S., Aly, R., Eldeen, G. N., Adanero Velasco, A., & Pérez Alfayate, R. (2023). Small Molecule GSK-3 Inhibitors Safely Promote the Proliferation and Viability of Human Dental Pulp Stem Cells—In Vitro. Biomedicines, 11(2), 542. https://doi.org/10.3390/biomedicines11020542

