The Role of Neuregulin-1 in Steatotic and Non-Steatotic Liver Transplantation from Brain-Dead Donors
Abstract
:1. Introduction
2. Materials and Methods
2.1. Experimental Animals
2.2. Experimental Design
- LT (n = 24 rats): In subgroup 1.1 (n = 12 rats, 6 transplantations with steatotic grafts, 6 donor Ob Zucker rats, and 6 recipient Zucker Ln rats), Ob Zucker rats were anesthetized, ventilated, and maintained normotensively with a saline infusion for 6 h. Steatotic livers were subsequently flushed with University of Wisconsin (UW) solution, isolated, preserved in ice-cold UW solution for 4 h, and implanted into Ln Zucker rats. In subgroup 1.2 (n = 12 rats, 6 transplantations with non-steatotic grafts, 6 donor Ln rats, and 6 recipient Ln rats), the same surgical procedure was repeated but with Ln Zucker rats as donors and recipients [26,27,28]
- BD+LT (n = 24 rats): In subgroup 2.1 (n = 12 rats, 6 transplantations with steatotic grafts, 6 donor Ob Zucker rats and 6 recipient Zucker Ln rats), Ob Zucker rats were anesthetized and ventilated. BD induction was performed with a frontolateral trepanation in rats, and a balloon catheter was introduced in the extradural space. The intracranial pressure was increased by inflating the balloon for one minute, which induced rapid brain injury and led to immediate BD [29,30]. Rats were maintained normotensively with a colloid infusion for 6 h. Next, livers were flushed with UW solution, isolated, preserved in ice-cold UW solution for 4 h, and implanted into Ln Zucker rats [26,27]. In subgroup 2.2 (n = 12 rats, 6 transplantations with non-steatotic grafts, 6 donor Ln rats, and 6 recipient Ln rats), the same BD surgical procedure and liver transplantation were repeated but with Ln Zucker rats as donors and recipients.
- BD+PAK1 inhibitor+LT (n = 24 rats): as in group 2 but with the administration of a highly selective inhibitor of PAK1 (IPA-3 (4 mg/kg, i.v.) [33]) immediately after BD induction.
- BD+NRG1+LT. This group is divided into two subgroups, as follows. (9.1) BD+NRG1(a)+LT (n = 24 rats): as in group 2 but treated with NRG1 at a dose of 200 µg/kg, i.v. [36] immediately after BD induction; (9.2) BD+NRG1(b)+LT (n = 24 rats): as in group 2 but treated with NRG1 at a dose of 400 µg/kg, i.v. [36] immediately after BD induction.
- 10.
- Sham (n = 12 rats, 6 Ob and 6 Ln Zucker rats): animals were submitted only to anesthesia and laparotomy.
- 11.
- Prior to LT (n = 12 rats, 6 Ob and 6 Ln Zucker rats): animals were anesthetized, and livers were subsequently flushed with University of Wisconsin (UW) solution, isolated, and maintained in cold ischemia in UW solution for 4 h.
- 12.
- BD (n = 12 rats, 6 Ob and 6 Ln Zucker rats): animals were anesthetized and ventilated. After BD induction, rats were maintained normotensively with colloid infusion for 6 h. In this experimental group, samples were collected at 10 min, 1, 2, and 6 h after BD induction.
- 13.
- Prior to BD+LT (n = 12 rats, 6 Ob, and 6 Ln Zucker rats): animals were anesthetized and ventilated. After BD induction, rats were maintained normotensively with colloid infusion for 6 h. Then, livers were flushed with University of Wisconsin (UW) solution, isolated, and maintained in cold ischemia in UW solution for 4 h.
2.3. Biochemical Determinations
2.4. Histology
2.5. Immunohistochemistry
2.6. Statistics
3. Results
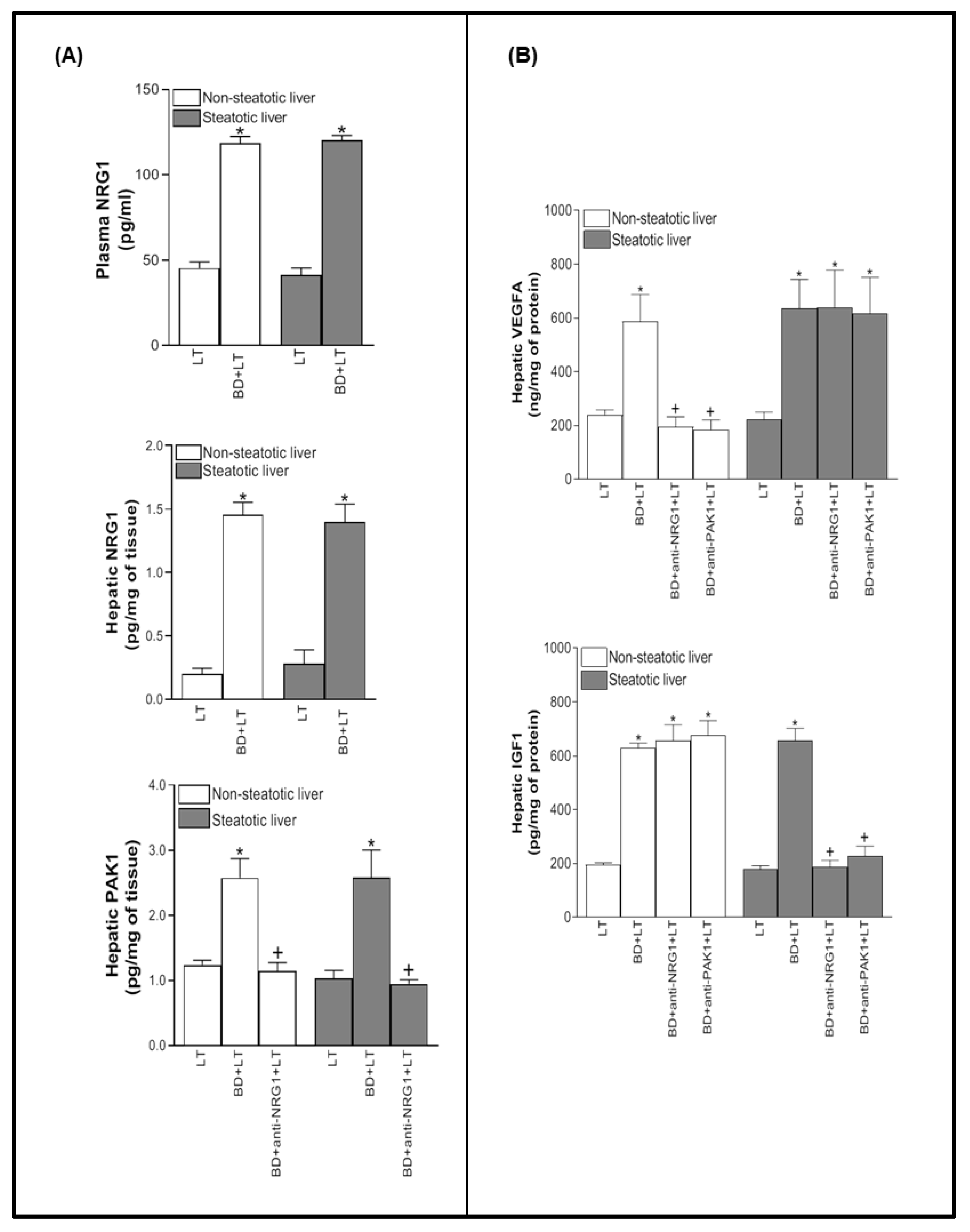
3.1. Role of NRG1 in Steatotic and Non-Steatotic LT from DBDs in a Genetic Obesity Experimental Model
3.2. Role of NRG1 in Steatotic and Non-Steatotic LT from DBDs in a Nutritionally Induced Obesity Model
4. Discussion
5. Conclusions
Supplementary Materials
Author Contributions
Funding
Institutional Review Board Statement
Informed Consent Statement
Data Availability Statement
Conflicts of Interest
References
- Van Der Hoeven, J.A.; Moshage, H.; Schuurs, T.; Nijboer, M.; Van Schilfgaarde, R.; Ploeg, R.J. Brain death induces apoptosis in donor liver of the rat. Transplantation 2003, 76, 1150–1154. [Google Scholar] [CrossRef] [PubMed]
- Kotsch, K.; Francuski, M.; Pascher, A.; Klemz, R.; Seifert, M.; Mittler, J.; Schumacher, G.; Buelow, R.; Volk, H.D.; Tullius, S.G.; et al. Improved long-term graft survival after HO-1 induction in brain-dead donors. Am. J. Transpl. 2006, 6, 477–486. [Google Scholar] [CrossRef] [PubMed]
- Reis-Júnior, P.; Tanigawa, R.; de Mesquita, G.H.A.; Basan, N.; Alves, V.; D’Albuquerque, L.A.C.; Andraus, W. Steatosis and steatohepatitis found in adults after death due to non-burn trauma. Clinics 2019, 74, e1070. [Google Scholar] [CrossRef] [PubMed] [Green Version]
- Croome, K.P.; Lee, D.D.; Taner, C.B. The “Skinny” on Assessment and Utilization of Steatotic Liver Grafts: A Systematic Review. Liver Transpl. 2019, 25, 488–499. [Google Scholar] [CrossRef]
- Heimbach, J. Debate: A bridge too far-liver transplantation for nonalcoholic steatohepatitis will overwhelm the organ supply. Liver Transpl. 2014, 20 (Suppl. S2), S32–S37. [Google Scholar] [CrossRef]
- Cespedes, J.C.; Liu, M.; Harbuzariu, A.; Nti, A.; Onyekaba, J.; Cespedes, H.W.; Bharti, P.K.; Solomon, W.; Anyaoha, P.; Krishna, S.; et al. Neuregulin in Health and Disease. Int. J. Brain Disord. Treat. 2018, 4, 024. [Google Scholar] [CrossRef]
- Wang, R.; Wang, Y.; Hu, R.; Chen, X.; Song, M.; Wang, X. Decreased plasma levels of neureglin-1 in drug naïve patients and chronic patients with schizophrenia. Neurosci. Lett. 2015, 606, 220–224. [Google Scholar] [CrossRef]
- Hama, Y.; Yabe, I.; Wakabayashi, K.; Kano, T.; Hirotani, M.; Iwakura, Y.; Utsumi, J.; Sasaki, H. Level of plasma neuregulin-1 SMDF is reduced in patients with idiopathic Parkinson’s disease. Neurosci. Lett. 2015, 587, 17–21. [Google Scholar] [CrossRef]
- Zhang, P.; Kuang, H.; He, Y.; Idiga, S.O.; Li, S.; Chen, Z.; Yang, Z.; Cai, X.; Zhang, K.; Potthoff, M.J.; et al. NRG1-Fc improves metabolic health via dual hepatic and central action. JCI Insight 2018, 3, e98522. [Google Scholar] [CrossRef]
- Meng, D.; Pan, H.; Chen, Y.; Ding, J.; Dai, Y. Roles and mechanisms of NRG1 in modulating the pathogenesis of NAFLD through ErbB3 signaling in hepatocytes (NRG1 modulates NAFLD through ErbB3 signaling). Obes. Res. Clin. Pract. 2021, 15, 145–151. [Google Scholar] [CrossRef]
- Dorsey, W.C.; Tchounwou, P.B.; Ford, B.D. Neuregulin 1-Beta cytoprotective role in AML 12 mouse hepatocytes exposed to pentachlorophenol. Int. J. Environ. Res. Public Health 2006, 3, 11–22. [Google Scholar] [CrossRef] [PubMed] [Green Version]
- Maceyka, M.; Alvarez, S.E.; Milstien, S.; Spiegel, S. Filamin A links sphingosine kinase 1 and sphingosine-1-phosphate receptor 1 at lamellipodia to orchestrate cell migration. Mol. Cell. Biol. 2008, 28, 5687–5697. [Google Scholar] [CrossRef] [PubMed] [Green Version]
- Akinmade, D.; Talukder, A.H.; Zhang, Y.; Luo, W.M.; Kumar, R.; Hamburger, A.W. Phosphorylation of the ErbB3 binding protein Ebp1 by p21-activated kinase 1 in breast cancer cells. Br. J. Cancer 2008, 98, 1132–1140. [Google Scholar] [CrossRef] [PubMed]
- Bourguignon, L.Y.; Gilad, E.; Peyrollier, K. Heregulin-mediated ErbB2-ERK signaling activates hyaluronan synthases leading to CD44-dependent ovarian tumor cell growth and migration. J. Biol. Chem. 2007, 282, 19426–19441. [Google Scholar] [CrossRef] [Green Version]
- Cao, F.; Yin, L.X. PAK1 promotes proliferation, migration and invasion of hepatocellular carcinoma by facilitating EMT via directly up-regulating Snail. Genomics 2020, 112, 694–702. [Google Scholar] [CrossRef]
- Khare, V.; Dammann, K.; Asboth, M.; Krnjic, A.; Jambrich, M.; Gasche, C. Overexpression of PAK1 promotes cell survival in inflammatory bowel diseases and colitis-associated cancer. Inflamm. Bowel Dis. 2015, 21, 287–296. [Google Scholar] [CrossRef] [Green Version]
- Seo, H.H.; Lee, S.Y.; Lee, C.Y.; Kim, R.; Kim, P.; Oh, S.; Lee, H.; Lee, M.Y.; Kim, J.; Kim, L.K.; et al. Exogenous miRNA-146a Enhances the Therapeutic Efficacy of Human Mesenchymal Stem Cells by Increasing Vascular Endothelial Growth Factor Secretion in the Ischemia/Reperfusion-Injured Heart. J. Vasc. Res. 2017, 54, 100–108. [Google Scholar] [CrossRef]
- Xiao, J.; Li, B.; Zheng, Z.; Wang, M.; Peng, J.; Li, Y.; Li, Z. Therapeutic effects of neuregulin-1 gene transduction in rats with myocardial infarction. Coron. Artery Dis. 2012, 23, 460–468. [Google Scholar] [CrossRef]
- Bagheri-Yarmand, R.; Vadlamudi, R.K.; Wang, R.A.; Mendelsohn, J.; Kumar, R. Vascular endothelial growth factor up-regulation via p21-activated kinase-1 signaling regulates heregulin-beta1-mediated angiogenesis. J. Biol. Chem. 2000, 275, 39451–39457. [Google Scholar] [CrossRef] [Green Version]
- Bujaldon, E.; Cornide-Petronio, M.E.; Gulfo, J.; Rotondo, F.; Ávalos de León, C.; Negrete-Sánchez, E.; Gracia-Sancho, J.; Novials, A.; Jiménez-Castro, M.B.; Peralta Uroz, C. Relevance of VEGFA in rat livers subjected to partial hepatectomy under ischemia-reperfusion. J. Mol. Med. 2019, 97, 1299–1314. [Google Scholar] [CrossRef] [Green Version]
- Micó-Carnero, M.; Casillas-Ramírez, A.; Caballeria-Casals, A.; Rojano-Alfonso, C.; Sánchez-González, A.; Peralta, C. Role of Dietary Nutritional Treatment on Hepatic and Intestinal Damage in Transplantation with Steatotic and Non-Steatotic Liver Grafts from Brain Dead Donors. Nutrients 2021, 13, 2554. [Google Scholar] [CrossRef] [PubMed]
- Rupert, C.E.; Coulombe, K.L.K. IGF1 and NRG1 Enhance Proliferation, Metabolic Maturity, and the Force-Frequency Response in hESC-Derived Engineered Cardiac Tissues. Stem Cells Int. 2017, 2017, 7648409. [Google Scholar] [CrossRef] [PubMed]
- Qiao, M.; Shapiro, P.; Kumar, R.; Passaniti, A. Insulin-like growth factor-1 regulates endogenous RUNX2 activity in endothelial cells through a phosphatidylinositol 3-kinase/ERK-dependent and Akt-independent signaling pathway. J. Biol. Chem. 2004, 279, 42709–42718. [Google Scholar] [CrossRef] [PubMed] [Green Version]
- Casillas-Ramírez, A.; Zaouali, A.; Padrissa-Altés, S.; Ben Mosbah, I.; Pertosa, A.; Alfany-Fernández, I.; Bintanel-Morcillo, M.; Xaus, C.; Rimola, A.; Rodés, J.; et al. Insulin-like growth factor and epidermal growth factor treatment: New approaches to protecting steatotic livers against ischemia-reperfusion injury. Endocrinology 2009, 150, 3153–3161. [Google Scholar] [CrossRef] [PubMed] [Green Version]
- Zaouali, M.A.; Padrissa-Altés, S.; Ben Mosbah, I.; Alfany-Fernandez, I.; Massip-Salcedo, M.; Casillas-Ramirez, A.; Bintanel-Morcillo, M.; Boillot, O.; Serafin, A.; Rimola, A.; et al. Improved rat steatotic and nonsteatotic liver preservation by the addition of epidermal growth factor and insulin-like growth factor-I to University of Wisconsin solution. Liver Transpl. 2010, 16, 1098–1111. [Google Scholar] [CrossRef] [PubMed]
- Jiménez-Castro, M.B.; Meroño, N.; Mendes-Braz, M.; Gracia-Sancho, J.; Martínez-Carreres, L.; Cornide-Petronio, M.E.; Casillas-Ramirez, A.; Rodés, J.; Peralta, C. The effect of brain death in rat steatotic and non-steatotic liver transplantation with previous ischemic preconditioning. J. Hepatol. 2015, 62, 83–91. [Google Scholar] [CrossRef]
- Jiménez-Castro, M.B.; Negrete-Sánchez, E.; Casillas-Ramírez, A.; Gulfo, J.; Álvarez-Mercado, A.I.; Cornide-Petronio, M.E.; Gracia-Sancho, J.; Rodés, J.; Peralta, C. The effect of cortisol in rat steatotic and non-steatotic liver transplantation from brain-dead donors. Clin. Sci. 2017, 131, 733–746. [Google Scholar] [CrossRef]
- Kamada, N.; Calne, R.Y. Orthotopic liver transplantation in the rat. Technique using cuff for portal vein anastomosis and biliary drainage. Transplantation 1979, 28, 47–50. [Google Scholar] [CrossRef]
- Van der Hoeven, J.A.; Lindell, S.; van Schilfgaarde, R.; Molema, G.; Ter Horst, G.J.; Southard, J.H.; Ploeg, R.J. Donor brain death reduces survival after transplantation in rat livers preserved for 20 hours. Transplantation 2001, 72, 1632–1636. [Google Scholar] [CrossRef]
- Van Der Hoeven, J.A.; Ter Horst, G.J.; Molema, G.; de Vos, P.; Girbes, A.R.; Postema, F.; Freund, R.L.; Wiersema, J.; van Schilfgaarde, R.; Ploeg, R.J. Effects of brain death and hemodynamic status on function and immunologic activation of the potential donor liver in the rat. Ann. Surg. 2000, 232, 804–813. [Google Scholar] [CrossRef]
- Dominguez, S.L.; Hegde, G.V.; Hanson, J.E.; Xiang, H.; Mandikian, D.; Boswell, C.A.; Chiu, C.; Wu, Y.; Tsai, S.P.; Fleck, D.; et al. Antibody-mediated stabilization of NRG1 induces behavioral and electrophysiological alterations in adult mice. Sci. Rep. 2018, 8, 8239. [Google Scholar] [CrossRef] [PubMed]
- Petrinovic, M.M.; Duncan, C.S.; Bourikas, D.; Weinman, O.; Montani, L.; Schroeter, A.; Maerki, D.; Sommer, L.; Stoeckli, E.T.; Schwab, M.E. Neuronal Nogo-A regulates neurite fasciculation, branching and extension in the developing nervous system. Development 2010, 137, 2539–2550. [Google Scholar] [CrossRef] [PubMed] [Green Version]
- Jagadeeshan, S.; Subramanian, A.; Tentu, S.; Beesetti, S.; Singhal, M.; Raghavan, S.; Surabhi, R.P.; Mavuluri, J.; Bhoopalan, H.; Biswal, J.; et al. P21-activated kinase 1 (Pak1) signaling influences therapeutic outcome in pancreatic cancer. Ann. Oncol. 2016, 27, 1546–1556. [Google Scholar] [CrossRef] [PubMed]
- Bockhorn, M.; Goralski, M.; Prokofiev, D.; Dammann, P.; Grünewald, P.; Trippler, M.; Biglarnia, A.; Kamler, M.; Niehues, E.M.; Frilling, A.; et al. VEGF is important for early liver regeneration after partial hepatectomy. J. Surg. Res. 2007, 138, 291–299. [Google Scholar] [CrossRef]
- Gu, Y.; Sowa, J.P.; Paul, A.; Gerken, G.; Schlaak, J.F. Vascular endothelial growth factor improves liver regeneration and survival after 90% hepatectomy in a rat model of diet-induced steatosis. Digestion 2013, 88, 235–242. [Google Scholar] [CrossRef]
- Ennequin, G.; Boisseau, N.; Caillaud, K.; Chavanelle, V.; Etienne, M.; Li, X.; Sirvent, P. Neuregulin 1 Improves Glucose Tolerance in db/db Mice. PLoS ONE 2015, 10, e0130568. [Google Scholar] [CrossRef] [Green Version]
- Serafín, A.; Roselló-Catafau, J.; Prats, N.; Xaus, C.; Gelpí, E.; Peralta, C. Ischemic preconditioning increases the tolerance of Fatty liver to hepatic ischemia-reperfusion injury in the rat. Am. J. Pathol. 2002, 161, 587–601. [Google Scholar] [CrossRef] [Green Version]
- Peralta, C.; Prats, N.; Xaus, C.; Gelpí, E.; Roselló-Catafau, J. Protective effect of liver ischemic preconditioning on liver and lung injury induced by hepatic ischemia-reperfusion in the rat. Hepatology 1999, 30, 1481–1489. [Google Scholar] [CrossRef]
- Wang, R.H.; Li, C.; Deng, C.X. Liver steatosis and increased ChREBP expression in mice carrying a liver specific SIRT1 null mutation under a normal feeding condition. Int. J. Biol. Sci. 2010, 6, 682–690. [Google Scholar] [CrossRef]
- Riva, G.; Villanova, M.; Cima, L.; Ghimenton, C.; Bronzoni, C.; Colombari, R.; Crestani, M.; Sina, S.; Brunelli, M.; D’Errico, A.; et al. Oil Red O Is a Useful Tool to Assess Donor Liver Steatosis on Frozen Sections during Transplantation. Transpl. Proc. 2018, 50, 3539–3543. [Google Scholar] [CrossRef]
- Franco-Gou, R.; Peralta, C.; Massip-Salcedo, M.; Xaus, C.; Serafín, A.; Roselló-Catafau, J. Protection of reduced-size liver for transplantation. Am. J. Transpl. 2004, 4, 1408–1420. [Google Scholar] [CrossRef] [PubMed]
- Burr, A.W.; Toole, K.; Chapman, C.; Hines, J.E.; Burt, A.D. Anti-hepatocyte growth factor antibody inhibits hepatocyte proliferation during liver regeneration. J. Pathol. 1998, 185, 298–302. [Google Scholar] [CrossRef]
- Russell, W.E.; Coffey, R.J., Jr.; Ouellette, A.J.; Moses, H.L. Type beta transforming growth factor reversibly inhibits the early proliferative response to partial hepatectomy in the rat. Proc. Natl. Acad. Sci. USA 1988, 85, 5126–5130. [Google Scholar] [CrossRef] [Green Version]
- Deng, W.; Luo, F.; Li, B.M.; Mei, L. NRG1-ErbB4 signaling promotes functional recovery in a murine model of traumatic brain injury via regulation of GABA release. Exp. Brain Res. 2019, 237, 3351–3362. [Google Scholar] [CrossRef]
- Parker, M.W.; Chen, Y.; Hallenbeck, J.M.; Ford, B.D. Neuregulin expression after focal stroke in the rat. Neurosci. Lett. 2002, 334, 169–172. [Google Scholar] [CrossRef]
- Tokita, Y.; Keino, H.; Matsui, F.; Aono, S.; Ishiguro, H.; Higashiyama, S.; Oohira, A. Regulation of neuregulin expression in the injured rat brain and cultured astrocytes. J. Neurosci. 2001, 21, 1257–1264. [Google Scholar] [CrossRef] [PubMed] [Green Version]
- Guo, W.P.; Wang, J.; Li, R.X.; Peng, Y.W. Neuroprotective effects of neuregulin-1 in rat models of focal cerebral ischemia. Brain Res. 2006, 1087, 180–185. [Google Scholar] [CrossRef]
- Stroh, J.N.; Bennett, T.D.; Kheyfets, V.; Albers, D. Clinical Decision Support for Traumatic Brain Injury: Identifying a Framework for Practical Model-Based Intracranial Pressure Estimation at Multihour Timescales. JMIR Med. Inform. 2021, 9, e23215. [Google Scholar] [CrossRef]
- Hlatky, R.; Valadka, A.B.; Robertson, C.S. Intracranial hypertension and cerebral ischemia after severe traumatic brain injury. Neurosurg. Focus 2003, 14, e2. [Google Scholar] [CrossRef]
- Cacciatori, A.; Godino, M.; Mizraji, R. Utility of Transcranial Doppler in the Coordination of Transplants: 10 Years of Experience. Transpl. Proc. 2018, 50, 408–411. [Google Scholar] [CrossRef]
- Harrer, J.U.; Eyding, J.; Ritter, M.; Schminke, U.; Schulte-Altedorneburg, G.; Köhrmann, M.; Nedelmann, M.; Schlachetzki, F. The potential of neurosonography in neurological emergency and intensive care medicine: Monitoring of increased intracranial pressure, brain death diagnostics, and cerebral autoregulation—Part 2. Ultraschall Med. 2012, 33, 320–331, (In English, German). [Google Scholar] [CrossRef] [PubMed]
- Ennequin, G.; Boisseau, N.; Caillaud, K.; Chavanelle, V.; Etienne, M.; Li, X.; Montaurier, C.; Sirvent, P. Neuregulin 1 affects leptin levels, food intake and weight gain in normal-weight, but not obese, db/db mice. Diabetes Metab. 2015, 41, 168–172. [Google Scholar] [CrossRef] [PubMed] [Green Version]
- Selzner, M.; Rüdiger, H.A.; Sindram, D.; Madden, J.; Clavien, P.A. Mechanisms of ischemic injury are different in the steatotic and normal rat liver. Hepatology 2000, 32, 1280–1288. [Google Scholar] [CrossRef] [PubMed]
- Carrasco-Chaumel, E.; Roselló-Catafau, J.; Bartrons, R.; Franco-Gou, R.; Xaus, C.; Casillas, A.; Gelpí, E.; Rodés, J.; Peralta, C. Adenosine monophosphate-activated protein kinase and nitric oxide in rat steatotic liver transplantation. J. Hepatol. 2005, 43, 997–1006. [Google Scholar] [CrossRef] [PubMed]
- Casillas-Ramírez, A.; Ben Mosbah, I.; Ramalho, F.; Roselló-Catafau, J.; Peralta, C. Past and future approaches to ischemia-reperfusion lesion associated with liver transplantation. Life Sci. 2006, 79, 1881–1894. [Google Scholar] [CrossRef]
- Casillas-Ramirez, A.; Amine-Zaouali, M.; Massip-Salcedo, M.; Padrissa-Altés, S.; Bintanel-Morcillo, M.; Ramalho, F.; Serafín, A.; Rimola, A.; Arroyo, V.; Rodés, J.; et al. Inhibition of angiotensin II action protects rat steatotic livers against ischemia-reperfusion injury. Crit. Care Med. 2008, 36, 1256–1266. [Google Scholar] [CrossRef]
- Álvarez-Mercado, A.I.; Negrete-Sánchez, E.; Gulfo, J.; Ávalos de León, C.G.; Casillas-Ramírez, A.; Cornide-Petronio, M.E.; Bujaldon, E.; Rotondo, F.; Gracia-Sancho, J.; Jiménez-Castro, M.B.; et al. EGF-GH Axis in Rat Steatotic and Non-steatotic Liver Transplantation from Brain-dead Donors. Transplantation 2019, 103, 1349–1359. [Google Scholar] [CrossRef]
- Mendes-Braz, M.; Elias-Miró, M.; Kleuser, B.; Fayyaz, S.; Jiménez-Castro, M.B.; Massip-Salcedo, M.; Gracia-Sancho, J.; Ramalho, F.S.; Rodes, J.; Peralta, C. The effects of glucose and lipids in steatotic and non-steatotic livers in conditions of partial hepatectomy under ischaemia-reperfusion. Liver Int. 2014, 34, e271–e289. [Google Scholar] [CrossRef]
- Elias-Miró, M.; Mendes-Braz, M.; Cereijo, R.; Villarroya, F.; Jiménez-Castro, M.B.; Gracia-Sancho, J.; Guixé-Muntet, S.; Massip-Salcedo, M.; Domingo, J.C.; Bermudo, R.; et al. Resistin and visfatin in steatotic and non-steatotic livers in the setting of partial hepatectomy under ischemia-reperfusion. J. Hepatol. 2014, 60, 87–95. [Google Scholar] [CrossRef]
- Zhang, Z.L.; Liu, G.C.; Peng, L.; Zhang, C.; Jia, Y.M.; Yang, W.H.; Mao, L. Effect of PAK1 gene silencing on proliferation and apoptosis in hepatocellular carcinoma cell lines MHCC97-H and HepG2 and cells in xenograft tumor. Gene Ther. 2018, 25, 284–296. [Google Scholar] [CrossRef]
- Iyer, S.C.; Gopal, A.; Halagowder, D. Myricetin induces apoptosis by inhibiting P21 activated kinase 1 (PAK1) signaling cascade in hepatocellular carcinoma. Mol. Cell. Biochem. 2015, 407, 223–237. [Google Scholar] [CrossRef]
- Wong, L.L.; Lam, I.P.; Wong, T.Y.; Lai, W.L.; Liu, H.F.; Yeung, L.L.; Ching, Y.P. IPA-3 inhibits the growth of liver cancer cells by suppressing PAK1 and NF-κB activation. PLoS ONE 2013, 8, e68843. [Google Scholar] [CrossRef] [Green Version]
- Parekh, P.; Motiwale, L.; Naik, N.; Rao, K.V. Downregulation of cyclin D1 is associated with decreased levels of p38 MAP kinases, Akt/PKB and Pak1 during chemopreventive effects of resveratrol in liver cancer cells. Exp. Toxicol. Pathol. 2011, 63, 167–173. [Google Scholar] [CrossRef]
- Kim, D.H.; Park, M.H.; Chung, K.W.; Kim, M.J.; Park, D.; Lee, B.; Lee, E.K.; Choi, Y.J.; Kim, N.D.; Yu, B.P.; et al. Suppression of FoxO6 by lipopolysaccharide in aged rat liver. Oncotarget 2015, 6, 34143–34157. [Google Scholar] [CrossRef] [Green Version]
- Kennedy, L.M.; Pham, S.C.; Grishok, A. Nonautonomous regulation of neuronal migration by insulin signaling, DAF-16/FOXO, and PAK-1. Cell Rep. 2013, 4, 996–1009. [Google Scholar] [CrossRef] [Green Version]
- Kehat, I.; Molkentin, J.D. Molecular pathways underlying cardiac remodeling during pathophysiological stimulation. Circulation 2010, 122, 2727–2735. [Google Scholar] [CrossRef] [Green Version]
- Worthington, J.; Bertani, M.; Chan, H.L.; Gerrits, B.; Timms, J.F. Transcriptional profiling of ErbB signalling in mammary luminal epithelial cells—interplay of ErbB and IGF1 signalling through IGFBP3 regulation. BMC Cancer 2010, 10, 490. [Google Scholar] [CrossRef] [Green Version]
- Takahashi, K.; Tanaka, T.; Suzuki, K. Directional control of WAVE2 membrane targeting by EB1 and phosphatidylinositol 3,4,5-triphosphate. Cell. Signal. 2010, 22, 510–518. [Google Scholar] [CrossRef]
- Angulo, P. Nonalcoholic fatty liver disease. New. Engl. J. Med. 2002, 346, 1221–1231. [Google Scholar] [CrossRef] [Green Version]
- Veteläinen, R.; van Vliet, A.; Gouma, D.J.; van Gulik, T.M. Steatosis as a risk factor in liver surgery. Ann. Surg. 2007, 245, 20–30. [Google Scholar] [CrossRef]
- Farrell, G.C.; Teoh, N.C.; McCuskey, R.S. Hepatic microcirculation in fatty liver disease. Anat. Rec. 2008, 291, 684–692. [Google Scholar] [CrossRef] [PubMed]
- Peralta, C.; Jiménez-Castro, M.B.; Gracia-Sancho, J. Hepatic ischemia and reperfusion injury: Effects on the liver sinusoidal milieu. J. Hepatol. 2013, 59, 1094–1106. [Google Scholar] [CrossRef] [PubMed] [Green Version]
- Selzner, M.; Clavien, P.A. Fatty liver in liver transplantation and surgery. Semin. Liver Dis. 2001, 21, 105–113. [Google Scholar] [CrossRef] [PubMed]
- Núñez, K.; Thevenot, P.; Alfadhli, A.; Cohen, A. Complement Activation in Liver Transplantation: Role of Donor Macrosteatosis and Implications in Delayed Graft Function. Int. J. Mol. Sci. 2018, 19, 1750. [Google Scholar] [CrossRef] [PubMed] [Green Version]
- Ganapathy, B.; Nandhagopal, N.; Polizzotti, B.D.; Bennett, D.; Asan, A.; Wu, Y.; Kühn, B. Neuregulin-1 Administration Protocols Sufficient for Stimulating Cardiac Regeneration in Young Mice do not Induce Somatic, Organ, or Neoplastic Growth. PLoS ONE 2016, 11, e0155456. [Google Scholar] [CrossRef] [Green Version]
- Jalilzad, M.; Jafari, A.; Babaei, P. Neuregulin1β improves both spatial and associative learning and memory in Alzheimer model of rats possibly through signaling pathways other than Erk1/2. Neuropeptides 2019, 78, 101963. [Google Scholar] [CrossRef]
- Lenihan, D.J.; Anderson, S.A.; Lenneman, C.G.; Brittain, E.; Muldowney, J.A.S., 3rd; Mendes, L.; Zhao, P.Z.; Iaci, J.; Frohwein, S.; Zolty, R.; et al. A Phase I, Single Ascending Dose Study of Cimaglermin Alfa (Neuregulin 1β3) in Patients with Systolic Dysfunction and Heart Failure. JACC Basic Transl. Sci. 2016, 1, 576–586. [Google Scholar] [CrossRef]
- Peralta, C.; Rull, R.; Rimola, A.; Deulofeu, R.; Roselló-Catafau, J.; Gelpí, E.; Rodés, J. Endogenous nitric oxide and exogenous nitric oxide supplementation in hepatic ischemia-reperfusion injury in the rat. Transplantation 2001, 71, 529–536. [Google Scholar] [CrossRef]






Publisher’s Note: MDPI stays neutral with regard to jurisdictional claims in published maps and institutional affiliations. |
© 2022 by the authors. Licensee MDPI, Basel, Switzerland. This article is an open access article distributed under the terms and conditions of the Creative Commons Attribution (CC BY) license (https://creativecommons.org/licenses/by/4.0/).
Share and Cite
Micó-Carnero, M.; Casillas-Ramírez, A.; Sánchez-González, A.; Rojano-Alfonso, C.; Peralta, C. The Role of Neuregulin-1 in Steatotic and Non-Steatotic Liver Transplantation from Brain-Dead Donors. Biomedicines 2022, 10, 978. https://doi.org/10.3390/biomedicines10050978
Micó-Carnero M, Casillas-Ramírez A, Sánchez-González A, Rojano-Alfonso C, Peralta C. The Role of Neuregulin-1 in Steatotic and Non-Steatotic Liver Transplantation from Brain-Dead Donors. Biomedicines. 2022; 10(5):978. https://doi.org/10.3390/biomedicines10050978
Chicago/Turabian StyleMicó-Carnero, Marc, Araní Casillas-Ramírez, Alfredo Sánchez-González, Carlos Rojano-Alfonso, and Carmen Peralta. 2022. "The Role of Neuregulin-1 in Steatotic and Non-Steatotic Liver Transplantation from Brain-Dead Donors" Biomedicines 10, no. 5: 978. https://doi.org/10.3390/biomedicines10050978
APA StyleMicó-Carnero, M., Casillas-Ramírez, A., Sánchez-González, A., Rojano-Alfonso, C., & Peralta, C. (2022). The Role of Neuregulin-1 in Steatotic and Non-Steatotic Liver Transplantation from Brain-Dead Donors. Biomedicines, 10(5), 978. https://doi.org/10.3390/biomedicines10050978

