Plasma Scalpels: Devices, Diagnostics, and Applications
Abstract
1. Introduction
2. Types and Structures of Plasma Scalpels
3. Physicochemical Characteristics of Plasma Scalpel
3.1. Diagnostics on Physicochemical Characteristics of APC
3.2. Diagnostics of Plasma Characteristics of Two-Electrode Plasma Scalpel
4. Thermal Effect of Plasma Scalpel
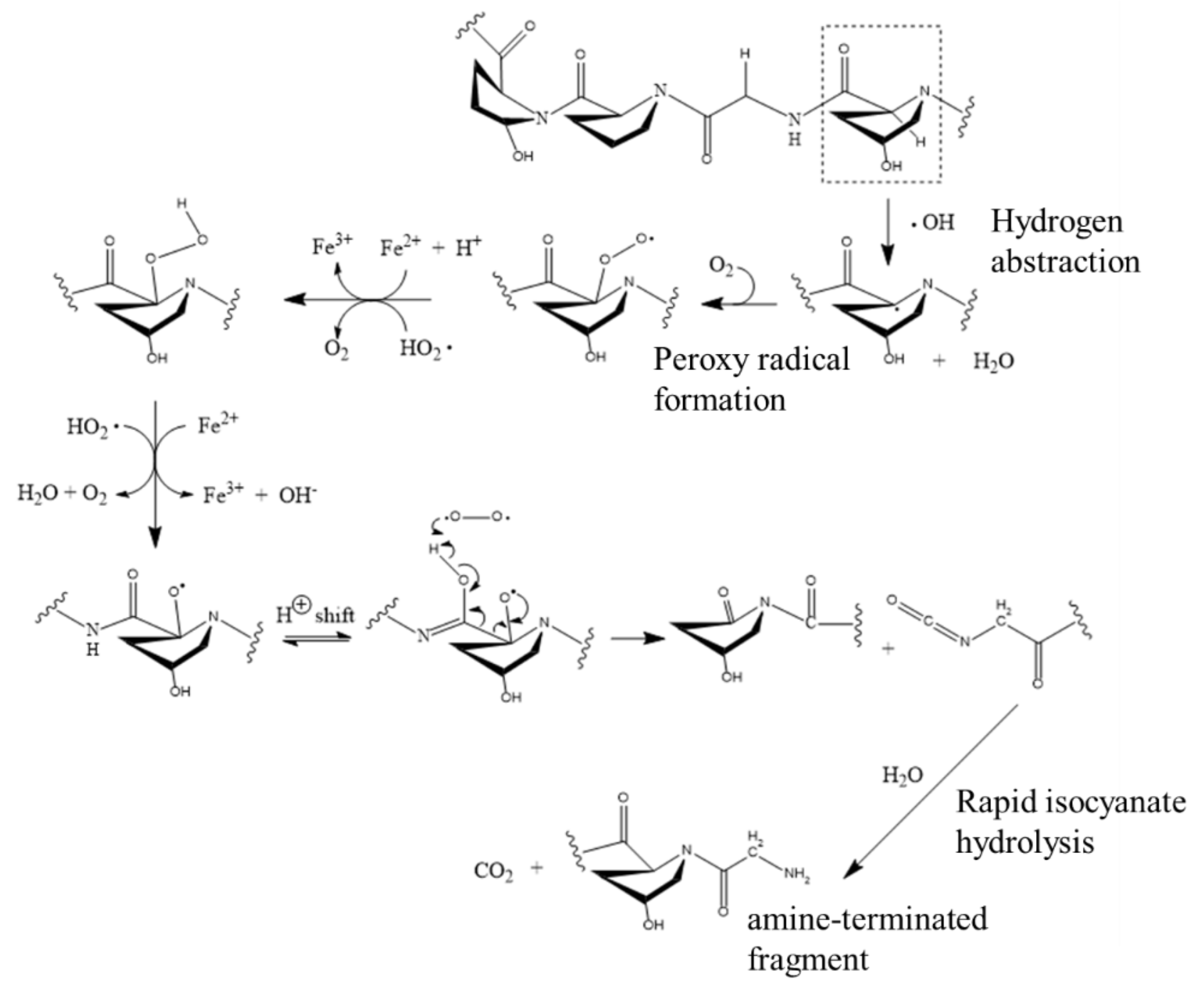
5. Oxidation Effect of Plasma Scalpel
6. Theoretical Study on Plasma Scalpels
7. Medical Applications of Plasma Scalpels
7.1. Hemostasis
7.2. Inactivation and Tissue Shrinkage
- The connection between the lesion and the normal structure can be made clearer in the continuous perfusion mode;
- The plasma scalpel head area temperature is about 40–70 °C, the operation temperature is low, and the bleeding can be reduced;
- The function of the plasma scalpel head is integrated, which can realize surgical operations such as cutting, hemostasis, scraping, peeling, and pushing away, and shorten the operation time [8].
8. Conclusions and Outlook
Author Contributions
Funding
Institutional Review Board Statement
Data Availability Statement
Conflicts of Interest
References
- Morrison, C.F., Jr. Electrosurgical Method and Apparatus for Initiating an Electrical Discharge in an Inert Gas Flow. U.S. Patent US4040426A, 9 August 1977. [Google Scholar]
- Farin, G.; Grund, K.E. Technology of Argon Plasma Coagulation with Particular Regard to Endoscopic Applications. Endosc. Surg. Allied Technol. 1994, 2, 71–77. [Google Scholar] [PubMed]
- Raiser, J.; Zenker, M. Argon Plasma Coagulation for Open Surgical and Endoscopic Applications: State of the Art. J. Phys. D Appl. Phys. 2006, 39, 3520–3523. [Google Scholar] [CrossRef]
- Stalder, K.R.; McMillen, D.F.; Woloszko, J. Electrosurgical Plasmas. J. Phys. D Appl. Phys. 2005, 38, 1728–1738. [Google Scholar] [CrossRef]
- Ly, L.; Jones, S.; Shashurin, A.; Zhuang, T.; Rowe, W.; Cheng, X.; Wigh, S.; Naab, T.; Keidar, M.; Canady, J. A New Cold Plasma Jet: Performance Evaluation of Cold Plasma, Hybrid Plasma and Argon Plasma Coagulation. Plasma 2018, 1, 189–200. [Google Scholar] [CrossRef]
- Zenker, M. Argon Plasma Coagulation. GMS Krankenh. Interdiszip. 2008, 3, 15. [Google Scholar]
- Folch, E.E.; Oberg, C.L.; Mehta, A.C.; Majid, A.; Keyes, C.; Fernandez-Bussy, S. Argon Plasma Coagulation: Elucidation of the Mechanism of Gas Embolism. RES 2021, 100, 209–213. [Google Scholar] [CrossRef]
- Wu, F.; Li, J.; Liu, F.; Lu, X. Ignition Phase of a Typical Plasma Scalpel. J. Phys. D Appl. Phys. 2020, 54, 085205. [Google Scholar] [CrossRef]
- Bürger, I.; Bibinov, N.; Neugebauer, A.; Enderle, M.; Awakowicz, P. Electrical, Optical and Spectroscopic Characterisation of a Radio Frequency Discharge Used for Electrosurgical Cutting. Plasma Process. Polym. 2017, 14, 1600229. [Google Scholar] [CrossRef]
- Korolev, Y.D.; Shemyakin, I.A.; Kasyanov, V.S.; Geyman, V.G.; Bolotov, A.V.; Nekhoroshev, V.O. Development of Discharge in a Saline Solution at Near-Threshold Voltages. Plasma Phys. Rep. 2018, 44, 581–587. [Google Scholar] [CrossRef]
- Korolev, Y.D.; Landl, N.V.; Bolotov, A.V.; Kasyanov, V.S.; Nekhoroshev, V.O.; Shemyakin, I.A. Initial Stages of Pulsed Discharge in the Saline Solutions in a Vicinity of Threshold Voltages. Plasma Sources Sci. Technol. 2022. [Google Scholar] [CrossRef]
- Hillebrand, B.; Iglesias, E.; Gibson, A.R.; Bibinov, N.; Neugebauer, A.; Enderle, M.; Awakowicz, P. Determination of Plasma Parameters by Spectral Line Broadening in an Electrosurgical Argon Plasma. Plasma Sources Sci. Technol. 2020, 29, 125011. [Google Scholar] [CrossRef]
- Keller, S.; Bibinov, N.; Neugebauer, A.; Awakowicz, P. Electrical and Spectroscopic Characterization of a Surgical Argon Plasma Discharge. J. Phys. D Appl. Phys. 2012, 46, 025402. [Google Scholar] [CrossRef]
- Weiss, M.; Utz, R.; Ackermann, M.; Taran, F.-A.; Krämer, B.; Hahn, M.; Wallwiener, D.; Brucker, S.; Haupt, M.; Barz, J.; et al. Characterization of a Non-Thermally Operated Electrosurgical Argon Plasma Source by Electron Spin Resonance Spectroscopy. Plasma Processes Polym. 2019, 16, 1800150. [Google Scholar] [CrossRef]
- Stalder, K.R.; Woloszko, J. Some Physics and Chemistry of Electrosurgical Plasma Discharges. Contrib. Plasma Phys. 2007, 47, 64–71. [Google Scholar] [CrossRef]
- Trimukhe, A.M.; Pandiyaraj, K.N.; Patekar, M.; Miller, V.; Deshmukh, R.R. Perspectives and Advances of Nonthermal Plasma Technology in Cancers. IEEE Trans. Plasma Sci. 2022, 50, 2489–2515. [Google Scholar] [CrossRef]
- Sato, Y.; Takayama, T.; Sagawa, T.; Hirakawa, M.; Ohnuma, H.; Miyanishi, K.; Sato, T.; Takimoto, R.; Kobune, M.; Okamoto, K.; et al. Argon Plasma Coagulation Treatment of Hemorrhagic Radiation Proctopathy: The Optimal Settings for Application and Long-Term Outcome. Gastrointest. Endosc. 2011, 73, 543–549. [Google Scholar] [CrossRef]
- Cao, Y.; Qu, G.; Li, T.; Jiang, N.; Wang, T. Review on Reactive Species in Water Treatment Using Electrical Discharge Plasma: Formation, Measurement, Mechanisms and Mass Transfer. Plasma Sci. Technol. 2018, 20, 103001. [Google Scholar] [CrossRef]
- Woloszko, J.; Stalder, K.R.; Brown, I.G. Plasma Characteristics of Repetitively-Pulsed Electrical Discharges in Saline Solutions Used for Surgical Procedures. IEEE Trans. Plasma Sci. 2002, 30, 1376–1383. [Google Scholar] [CrossRef]
- Palanker, D.; Vankov, A.; Jayaraman, P. On Mechanisms of Interaction in Electrosurgery. N. J. Phys. 2008, 10, 123022. [Google Scholar] [CrossRef]
- Verreycken, T.; van Gessel, A.F.H.; Pageau, A.; Bruggeman, P. Validation of Gas Temperature Measurements by OES in an Atmospheric Air Glow Discharge with Water Electrode Using Rayleigh Scattering. Plasma Sources Sci. Technol. 2011, 20, 024002. [Google Scholar] [CrossRef]
- Staack, D.; Fridman, A.; Gutsol, A.; Gogotsi, Y.; Friedman, G. Nanoscale Corona Discharge in Liquids, Enabling Nanosecond Optical Emission Spectroscopy. Angew. Chem. 2008, 120, 8140–8144. [Google Scholar] [CrossRef]
- Huang, Z.; Xiao, A.; Liu, D.; Lu, X.; Ostrikov, K. Plasma-Water-Based Nitrogen Fixation: Status, Mechanisms, and Opportunities. Plasma Processes Polym. 2022, 19, 2100198. [Google Scholar] [CrossRef]
- Laroussi, M.; Bekeschus, S.; Keidar, M.; Bogaerts, A.; Fridman, A.; Lu, X.; Ostrikov, K.; Hori, M.; Stapelmann, K.; Miller, V.; et al. Low-Temperature Plasma for Biology, Hygiene, and Medicine: Perspective and Roadmap. IEEE Trans. Radiat. Plasma Med. Sci. 2022, 6, 127–157. [Google Scholar] [CrossRef]
- Chen, B.; Liu, D. Mass Spectrometry Study on Ions Generated by Low-Temperature Plasma Jet. IEEE Trans. Plasma Sci. 2021, 49, 1190–1194. [Google Scholar] [CrossRef]
- Lu, X.; Ostrikov, K. Guided Ionization Waves: The Physics of Repeatability. Appl. Phys. Rev. 2018, 5, 031102. [Google Scholar] [CrossRef]
- Lu, X.; Keidar, M.; Laroussi, M.; Choi, E.; Szili, E.J.; Ostrikov, K. Transcutaneous Plasma Stress: From Soft-Matter Models to Living Tissues. Mater. Sci. Eng. R Rep. 2019, 138, 36–59. [Google Scholar] [CrossRef]
- Hofmann, S.; van Gessel, A.F.H.; Verreycken, T.; Bruggeman, P. Power Dissipation, Gas Temperatures and Electron Densities of Cold Atmospheric Pressure Helium and Argon RF Plasma Jets. Plasma Sources Sci. Technol. 2011, 20, 065010. [Google Scholar] [CrossRef]
- Bruggeman, P.; Iza, F.; Guns, P.; Lauwers, D.; Kong, M.G.; Gonzalvo, Y.A.; Leys, C.; Schram, D.C. Electronic Quenching of OH(A) by Water in Atmospheric Pressure Plasmas and Its Influence on the Gas Temperature Determination by OH(A–X) Emission. Plasma Sources Sci. Technol. 2009, 19, 015016. [Google Scholar] [CrossRef]
- Torres, J.; Palomares, J.M.; Sola, A.; van der Mullen, J.J.A.M.; Gamero, A. A Stark Broadening Method to Determine Simultaneously the Electron Temperature and Density in High-Pressure Microwave Plasmas. J. Phys. D Appl. Phys. 2007, 40, 5929. [Google Scholar] [CrossRef]
- Qiuping, Z.; Cheng, C.; Yuedong, M. Electron Density and Temperature Measurement by Stark Broadening in a Cold Argon Arc-Plasma Jet at Atmospheric Pressure. Plasma Sci. Technol. 2009, 11, 560. [Google Scholar] [CrossRef]
- Lacitignola, L.; Desantis, S.; Izzo, G.; Staffieri, F.; Rossi, R.; Resta, L.; Crovace, A. Comparative Morphological Effects of Cold-Blade, Electrosurgical, and Plasma Scalpels on Dog Skin. Vet. Sci. 2020, 7, 8. [Google Scholar] [CrossRef]
- Rowe, W.; Cheng, X.; Ly, L.; Zhuang, T.; Basadonna, G.; Trink, B.; Keidar, M.; Canady, J. The Canady Helios Cold Plasma Scalpel Significantly Decreases Viability in Malignant Solid Tumor Cells in a Dose-Dependent Manner. Plasma 2018, 1, 177–188. [Google Scholar] [CrossRef]
- Vargo, J.J. Clinical Applications of the Argon Plasma Coagulator. Gastrointest. Endosc. 2004, 59, 81–88. [Google Scholar] [CrossRef]
- Furtado, F.S.; Furtado, G.B.; Oliveira, A.T.; Oliveira, F.A.A.; Pinho, C.S.; Sampaio, J.P.A.; Feitosa, A.M.L.; de Lima Herculano Junir, J.R. Endorectal Formalin Instillation or Argon Plasma Coagulation for Hemorrhagic Radiation Proctopathy Therapy: A Prospective and Randomized Clinical Trial. Gastrointest. Endosc. 2021, 93, 1393–1400. [Google Scholar] [CrossRef] [PubMed]
- Jazrawi, S.F.; Nguyen, D.; Barnett, C.; Tang, S. Novel Application of Intraductal Argon Plasma Coagulation in Biliary Papillomatosis (with Video). Gastrointest. Endosc. 2009, 69, 372–374. [Google Scholar] [CrossRef] [PubMed]
- Overgaard, K.; Overgaard, J. Hyperthermic Tumour-Cell Devitalization in Vivo. Acta Radiol. Ther. Phys. Biol. 1977, 16, 1–16. [Google Scholar] [CrossRef]
- Schneider, A.; Feussner, H. Chapter 6—Classical (Open) Surgery. In Biomedical Engineering in Gastrointestinal Surgery; Schneider, A., Feussner, H., Eds.; Academic Press: Cambridge, MA, USA, 2017; pp. 221–267. ISBN 978-0-12-803230-5. [Google Scholar]
- Zhang, Y.; Cheng, H.; Gao, H.; Liu, D.; Lu, X. On the Charged Aerosols Generated by Atmospheric Pressure Non-Equilibrium Plasma. High Voltage 2021, 6, 408–425. [Google Scholar] [CrossRef]
- Yang, Z.; Liu, D. Enhanced Transmembrane Transport of Reactive Oxygen Species by Electroporation Effect of Plasma. Plasma Processes Polym. 2021, 18, 2100054. [Google Scholar] [CrossRef]
- Gao, H.; Li, J.; Liu, D. Enhanced Aerosol Deposition by a Low-Cost Compact Nanosecond-Pulsed Plasma System. Plasma Processes Polym. 2021, 19, e2100147. [Google Scholar] [CrossRef]
- Liu, D.; Zhang, Y.; Xu, M.; Chen, H.; Lu, X.; Ostrikov, K. Cold Atmospheric Pressure Plasmas in Dermatology: Sources, Reactive Agents, and Therapeutic Effects. Plasma Processes Polym. 2020, 17, 1900218. [Google Scholar] [CrossRef]
- Liu, D.; Szili, E.J.; Ostrikov, K. Plasma Medicine: Opportunities for Nanotechnology in a Digital Age. Plasma Processes Polym. 2020, 17, 2000097. [Google Scholar] [CrossRef] [PubMed]
- Lu, X.; Reuter, S.; Laroussi, M.; Liu, D.; Reuter, S.; Laroussi, M.; Liu, D. Nonequilibrium Atmospheric Pressure Plasma Jets: Fundamentals, Diagnostics, and Medical Applications; CRC Press: Boca Raton, FL, USA, 2019; ISBN 978-0-429-05366-5. [Google Scholar]
- Chu, P.K.; Lu, X. (Eds.) Low Temperature Plasma Technology: Methods and Applications, 1st ed.; CRC Press: Boca Raton, FL, USA, 2013. [Google Scholar]
- Liu, X.Y.; Pei, X.K.; Ostrikov, K.; Lu, X.P.; Liu, D.W. The Production Mechanisms of OH Radicals in a Pulsed Direct Current Plasma Jet. Phys. Plasmas 2014, 21, 093513. [Google Scholar] [CrossRef]
- Liu, X.Y.; Pei, X.K.; Lu, X.P.; Liu, D.W. Numerical and Experimental Study on a Pulsed-Dc Plasma Jet. Plasma Sources Sci. Technol. 2014, 23, 035007. [Google Scholar] [CrossRef]
- Vanraes, P.; Bogaerts, A. Plasma Physics of Liquids—A Focused Review. Appl. Phys. Rev. 2018, 5, 031103. [Google Scholar] [CrossRef]
- Vanraes, P.; Bogaerts, A. The Essential Role of the Plasma Sheath in Plasma–Liquid Interaction and Its Applications—A Perspective. J. Appl. Phys. 2021, 129, 220901. [Google Scholar] [CrossRef]
- Neyts, E.C.; Yusupov, M.; Verlackt, C.C.; Bogaerts, A. Computer Simulations of Plasma–Biomolecule and Plasma–Tissue Interactions for a Better Insight in Plasma Medicine. J. Phys. D Appl. Phys. 2014, 47, 293001. [Google Scholar] [CrossRef]
- Bogaerts, A.; Yusupov, M.; der Paal, J.V.; Verlackt, C.C.W.; Neyts, E.C. Reactive Molecular Dynamics Simulations for a Better Insight in Plasma Medicine. Plasma Processes Polym. 2014, 11, 1156–1168. [Google Scholar] [CrossRef]
- Bergler, W.; Huber, K.; Hammerschmitt, N.; Hörmann, K. Tonsillectomy With Argon Plasma Coagulation (APC): Evaluation of Pain and Hemorrhage. Laryngoscope 2001, 111, 1423–1429. [Google Scholar] [CrossRef]
- Quinlan, D.M.; Naslund, M.J.; Brendler, C.B. Application of Argon Beam Coagulation in Urological Surgery. J. Urol. 1992, 147, 410–412. [Google Scholar] [CrossRef]
- Szura, M.; Pasternak, A. Upper Non-Variceal Gastrointestinal Bleeding—Review the Effectiveness of Endoscopic Hemostasis Methods. World J. Gastrointest. Endosc. 2015, 7, 1088–1095. [Google Scholar] [CrossRef]
- Daga, S. Liver Mobilisation during Recipient Hepatectomy Using Argon Plasma Coagulation—Tricks of Trade. HPB 2021, 23, S436. [Google Scholar] [CrossRef]
- Jones, O.; Cheng, X.; Murthy, S.R.K.; Ly, L.; Zhuang, T.; Basadonna, G.; Keidar, M.; Canady, J. The Synergistic Effect of Canady Helios Cold Atmospheric Plasma and a FOLFIRINOX Regimen for the Treatment of Cholangiocarcinoma in Vitro. Sci. Rep. 2021, 11, 1–11. [Google Scholar] [CrossRef] [PubMed]
- Clarkson, D. Surgery: Plasma Cutting in Ophthalmology. Optician 2016, 2016, 139952-1. [Google Scholar] [CrossRef]
- Reitberger, H.H.; Czugala, M.; Chow, C.; Mohr, A.; Burkovski, A.; Gruenert, A.K.; Schoenebeck, R.; Fuchsluger, T.A. Argon Cold Plasma—A Novel Tool to Treat Therapy-Resistant Corneal Infections. Am. J. Ophthalmol. 2018, 190, 150–163. [Google Scholar] [CrossRef]








Publisher’s Note: MDPI stays neutral with regard to jurisdictional claims in published maps and institutional affiliations. |
© 2022 by the authors. Licensee MDPI, Basel, Switzerland. This article is an open access article distributed under the terms and conditions of the Creative Commons Attribution (CC BY) license (https://creativecommons.org/licenses/by/4.0/).
Share and Cite
Xiao, A.; Liu, D.; He, D.; Lu, X.; Ostrikov, K. Plasma Scalpels: Devices, Diagnostics, and Applications. Biomedicines 2022, 10, 2967. https://doi.org/10.3390/biomedicines10112967
Xiao A, Liu D, He D, Lu X, Ostrikov K. Plasma Scalpels: Devices, Diagnostics, and Applications. Biomedicines. 2022; 10(11):2967. https://doi.org/10.3390/biomedicines10112967
Chicago/Turabian StyleXiao, Ao, Dawei Liu, Dongcheng He, Xinpei Lu, and Kostya (Ken) Ostrikov. 2022. "Plasma Scalpels: Devices, Diagnostics, and Applications" Biomedicines 10, no. 11: 2967. https://doi.org/10.3390/biomedicines10112967
APA StyleXiao, A., Liu, D., He, D., Lu, X., & Ostrikov, K. (2022). Plasma Scalpels: Devices, Diagnostics, and Applications. Biomedicines, 10(11), 2967. https://doi.org/10.3390/biomedicines10112967

