Intrapatient Variability (IPV) and the Blood Concentration Normalized by the Dose (C/D Ratio) of Tacrolimus—Their Correlations and Effects on Long-Term Renal Allograft Function
Abstract
1. Introduction
2. Patients and Study Design
Patients
3. Materials and Methods
4. Statistical Analysis
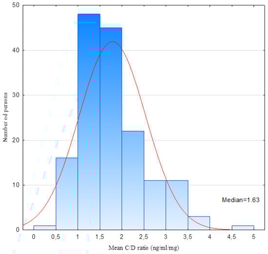
5. Results
6. Discussion
7. Conclusions
Author Contributions
Funding
Institutional Review Board Statement
Informed Consent Statement
Data Availability Statement
Conflicts of Interest
References
- Ekberg, H.; Bernasconi, C.; Tedesco-Silva, H.; Vítko, S.; Hugo, C.; Demirbas, A.; Acevedo, R.R.; Grinyó, J.; Frei, U.; Vanrenterghem, Y.; et al. Calcineurin inhibitor minimization in the Symphony study: Observational results 3 years after transplantation. Am. J. Transplant. 2009, 9, 1876–1885. [Google Scholar] [CrossRef] [PubMed]
- Lamb, K.E.; Lodhi, S.; Meier-Kriesche, H.U. Long-term renal allograft survival in the United States: A critical reappraisal. Am. J. Transplant. 2011, 11, 450–462. [Google Scholar] [CrossRef] [PubMed]
- Laskow, D.A.; Vincenti, F.; Neylan, J.F.; Mendez, R.; Matas, A.J. An open-label, concentration-ranging trial of FK506 in primary kidney transplantation: A report of the United States Multicenter FK506 Kidney Transplant Group. Transplantation 1996, 62, 900–905. [Google Scholar] [CrossRef] [PubMed]
- Kershner, R.P.; Fitzsimmons, W.E. Realtionship of FK506 whole blood cancentration and efficacy and toxicity after liver and kidney transplantation. Transplantation 1996, 62, 920–926. [Google Scholar] [CrossRef] [PubMed]
- Japanese study of FK506 on kidney transplantation: The benefit of monitoring the whole blood FK506 concentration. Japanese FK 506 Study Group. Transplant. Proc. 1991, 23, 3085–3088.
- Winkler, M.; Christins, U. A risk-benefit assessment of tacrolimus in transplantation. Drug Saf. 1995, 12, 348–357. [Google Scholar] [CrossRef] [PubMed]
- Shuker, N.; Shuker, L.; Rosmalen, J.; Roodnat, J.I.; Borra, L.C.; Weimar, W.; Hesselink, D.A.; Gelder, T. A high intrapatient variability in tacrolimus exposure is associated with poor long-term outcome of kidney transplantation. Transpl. Int. 2016, 29, 1158–1167. [Google Scholar] [CrossRef] [PubMed]
- Del Bello, A.; Congy-Jolivet, N.; Danjoux, M.; Muscari, F.; Lavayssière, L.; Esposito, L.; Hebral, A.L.; Bellière, J.; Kamar, N. High tacrolimus intra-patient variability is associated with graft rejection, and de novo donor-specific antibodies occurrence after liver transplantation. World J. Gastroenterol. 2018, 24, 1795–1802. [Google Scholar] [CrossRef] [PubMed]
- Aksoy, K.; Comak, E.; Koyun, M.; Akbaş, H.; Akkaya, B.; Aydinli, B.; Uçar, F.; Akman, S. Tacrolimus Variability: A Cause of Donor-Specific Anti-HLA Antibody Formation in Children. Eur. J. Drug Metab. Pharmacokinet. 2019, 44, 539–548. [Google Scholar] [CrossRef] [PubMed]
- Vanhove, T.; Vermeulen, T.; Annaert, P.; Lerut, E.; Kuypers, D.R.J. High Intrapatient Variability of Tacrolimus Concentrations Predicts Accelerated Progression of Chronic Histologic Lesions in Renal Recipients. Am. J. Transplant. 2016, 16, 2954–2963. [Google Scholar] [CrossRef] [PubMed]
- Thölking, G.; Fortmann, C.; Koch, R.; Gerth, H.U.; Pabst, D.; Pavenstädt, H.; Kabar, I.; Hüsing, A.; Wolters, H.; Reuter, S.; et al. The tacrolimus metabolism rate influences renal function after kidney transplantation. PLoS ONE 2014, 9, e111128. [Google Scholar] [CrossRef] [PubMed]
- Heilman, R.L.; Devarapalli, Y.; Chakkera, H.A.; Mekeel, K.L.; Moss, A.A.; Mulligan, D.C.; Mazur, M.J.; Hamawi, K.; Williams, J.W.; Reddy, K.S. Impact of Subclinical Inflammation on the Development of Interstitial Fibrosis and Tubular Atrophy in Kidney Transplant Recipients. Am. J. Transplant. 2010, 10, 563–570. [Google Scholar] [CrossRef] [PubMed]
- Borra, L.C.P.; Roodnat, J.I.; Kal, J.A.; Mathot, R.A.A.; Weimar, W.; Gelder, T. High within-patient variability in the clearance of tacrolimus is a risk factor for poor long-term outcome after kidney transplantation. Nephrol. Dial. Transplant. 2010, 25, 2757–2763. [Google Scholar] [CrossRef] [PubMed]
- Whalen, H.R.; Glen, J.A.; Harkins, V.; Stevens, K.K.; Jardine, A.G.; Geddes, C.C.; Clancy, M.J. High Intrapatient Tacrolimus Variability is Associated with Worse Outcomes in Renal Transplantation Using a Low-Dose Tacrolimus Immunosuppressive Regime. Transplantation 2017, 101, 430–436. [Google Scholar] [CrossRef] [PubMed]
- Davis, S.; Gralla, J.; Klem, P.; Stites, E.; Wiseman, A.; Cooper, J.E. Tacrolimus Intrapatient Variability, Time in Therapeutic Range, and Risk of De Novo Donor-Specific Antibodies. Transplantation 2020, 104, 881–887. [Google Scholar] [CrossRef] [PubMed]
- Shuker, N.; Gelder, T.; Hesselink, D.A. Intra-patient variability in tacrolimus exposure: Causes, consequences for clinical management. Transplant. Rev. 2015, 29, 78–84. [Google Scholar] [CrossRef] [PubMed]
- Chung, J.Y.; Lee, Y.J.; Jang, S.B.; Lim, L.A.; Park, M.S.; Kim, K.H. CYP3A5*3 Genotype Associated with Intrasubject Pharmacokinetic Variation Toward Tacrolimus in Bioequivalence Study. Ther. Drug Monit. 2010, 32, 67–72. [Google Scholar] [CrossRef] [PubMed]
- Ro, H.; Min, S.I.; Yang, J.; Moon, K.C.; Kim, Y.S.; Kim, S.J.; Ahn, C.; Ha, J. Impact of tacrolimus intraindividual variability and CYP3A5 genetic polymorphism on acute rejection in kidney transplantation. Ther. Drug Monit. 2012, 34, 680–685. [Google Scholar] [CrossRef] [PubMed]
- Spierings, N.; Holt, D.W.; MacPhee, I.A. CYP3A5 genotype had no impact on intrapatient variability of tacrolimus clearance in renal transplant recipients. Ther. Drug Monit. 2013, 35, 328–331. [Google Scholar] [CrossRef] [PubMed]
- Kim, I.W.; Noh, H.; Ji, E.; Han, N.; Hong, S.H.; Ha, J.; Burckart, G.J.; Oh, J.M. Identification of Factors Affecting Tacrolimus Level and 5-Year Clinical Outcome in Kidney Transplant Patients. Basic Clin. Pharmacol. Toxicol. 2012, 111, 217–223. [Google Scholar] [CrossRef] [PubMed]




| N | ME | MIN | MAX | |
|---|---|---|---|---|
| Last Crea (mg/dL) | 170 | 1.24 | 0.56 | 9.6 |
| Last eGFR (mL/min/1.73 m2) | 170 | 58.5 | 4.0 | 107 |
| NADIR Crea (mg/dL) | 170 | 1.18 | 0.6 | 5.42 |
| ZENITH eGFR (mL/min/1.73 m2) | 170 | 67 | 11.0 | 118.0 |
| Time after RTx (month) | 177 | 70.0 | 5.0 | 218.0 |
| IPV | 148 | 20.3 | 0.2 | 83.0 |
| Mean C/D ratio | 158 | 1.63 | 0.5 | 4.5 |
| C/D ratio at 1 mo | 138 | 1.37 | 0.24 | 4.2 |
| C/D ratio at 3 mo | 139 | 1.42 | 0.31 | 4.59 |
| C/D ratio at 6 mo | 147 | 1.62 | 0.3 | 6.1 |
| C/D ratio at 12 mo | 141 | 1.76 | 0.48 | 6.0 |
| C/D ratio at 24 mo | 141 | 1.88 | 0.55 | 6.3 |
| C/D ratio at 60 mo | 126 | 1.74 | 0.39 | 6.8 |
| C/D ratio at 120 mo | 52 | 1.93 | 0.34 | 9.1 |
| N | MEAN | SD | |
|---|---|---|---|
| Age of recipients (years) | 176 | 46 | 12.3 |
| Age of donors | 176 | 45 | 12 |
| CIT hours | 176 | 21 | 9 |
| HLA mismatches | 176 | ||
| A | 1 | 0.7 | |
| B | 1 | 0.7 | |
| DR | 0.75 | 0.6 | |
| Rejection | 176 | 0.16 | 0.34 |
| Viremia BKV | 176 | 0.08 | 0.02 |
| Viremia CMV | 176 | 0.09 | 0.02 |
| Dependent Variable: C/D Ratio | p Value for Multiple (Bilateral) Comparisons; C/D Ratio | ||||||
|---|---|---|---|---|---|---|---|
| 1 m | 3 m | 6 m | 12 m | 24 m | 60 m | 120 m | |
| 1 m | 1.000000 | 0.332275 | 0.027241 | 0.000024 | 0.000151 | 0.025557 | |
| 3 m | 1.000000 | 1.000000 | 0.156188 | 0.000324 | 0.001603 | 0.097722 | |
| 6 m | 0.332275 | 1.000000 | 1.000000 | 0.247089 | 0.587393 | 1.000000 | |
| 12 m | 0.027241 | 0.156188 | 1.000000 | 1.000000 | 1.000000 | 1.000000 | |
| 24 m | 0.000024 | 0.000324 | 0.247089 | 1.000000 | 1.000000 | 1.000000 | |
| 60 m | 0.000151 | 0.001603 | 0.587393 | 1.000000 | 1.000000 | 1.000000 | |
| 120 m | 0.025557 | 0.097722 | 1.000000 | 1.000000 | 1.000000 | 1.000000 | |
Publisher’s Note: MDPI stays neutral with regard to jurisdictional claims in published maps and institutional affiliations. |
© 2022 by the authors. Licensee MDPI, Basel, Switzerland. This article is an open access article distributed under the terms and conditions of the Creative Commons Attribution (CC BY) license (https://creativecommons.org/licenses/by/4.0/).
Share and Cite
Kwiatkowska, E.; Ciechanowski, K.; Domański, L.; Dziedziejko, V.; Przybyciński, J.; Pawlik, A. Intrapatient Variability (IPV) and the Blood Concentration Normalized by the Dose (C/D Ratio) of Tacrolimus—Their Correlations and Effects on Long-Term Renal Allograft Function. Biomedicines 2022, 10, 2860. https://doi.org/10.3390/biomedicines10112860
Kwiatkowska E, Ciechanowski K, Domański L, Dziedziejko V, Przybyciński J, Pawlik A. Intrapatient Variability (IPV) and the Blood Concentration Normalized by the Dose (C/D Ratio) of Tacrolimus—Their Correlations and Effects on Long-Term Renal Allograft Function. Biomedicines. 2022; 10(11):2860. https://doi.org/10.3390/biomedicines10112860
Chicago/Turabian StyleKwiatkowska, Ewa, Kazimierz Ciechanowski, Leszek Domański, Violetta Dziedziejko, Jarosław Przybyciński, and Andrzej Pawlik. 2022. "Intrapatient Variability (IPV) and the Blood Concentration Normalized by the Dose (C/D Ratio) of Tacrolimus—Their Correlations and Effects on Long-Term Renal Allograft Function" Biomedicines 10, no. 11: 2860. https://doi.org/10.3390/biomedicines10112860
APA StyleKwiatkowska, E., Ciechanowski, K., Domański, L., Dziedziejko, V., Przybyciński, J., & Pawlik, A. (2022). Intrapatient Variability (IPV) and the Blood Concentration Normalized by the Dose (C/D Ratio) of Tacrolimus—Their Correlations and Effects on Long-Term Renal Allograft Function. Biomedicines, 10(11), 2860. https://doi.org/10.3390/biomedicines10112860

