Sensing Properties of NiO Loaded SnO2 Nanoparticles—Specific Selectivity to H2S
Abstract
1. Introduction
2. Materials and Methods
2.1. Materials Preparation and Sensors Fabrication
2.2. Materials Characterization
2.2.1. Structural, Morphological and Surface Chemistry Investigations
2.2.2. Gas Sensing Investigations
3. Results
3.1. XRD Results
3.2. Morphological Results
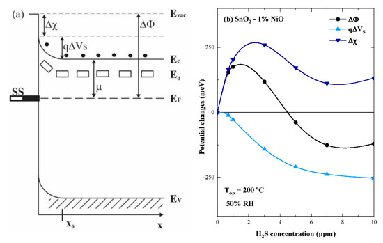
3.3. Surface Chemistry Results
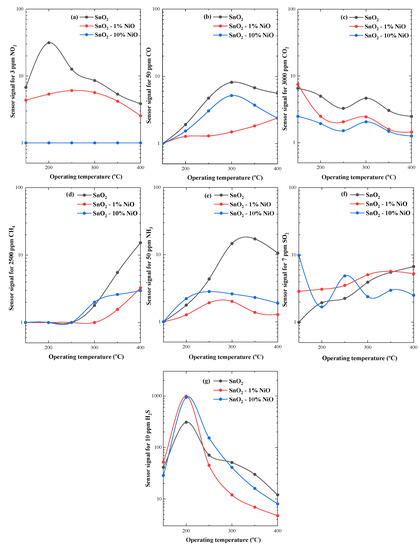
3.4. Gas Sensing Properties
4. Conclusions
Author Contributions
Funding
Conflicts of Interest
References
- Moseley, P.T. Progress in the development of semiconducting metal oxide gas sensors: A review. Meas. Sci. Technol. 2017, 28, 082001. [Google Scholar] [CrossRef]
- Miller, D.R.; Akbar, S.A.; Morris, P.A. Nanoscale metal oxide-based heterojunctions for gas sensing: A review. Sens. Actuators B Chem. 2014, 204, 250–272. [Google Scholar] [CrossRef]
- Nikolic, M.V.; Milovanovic, V.; Vasiljevic, Z.Z.; Stamenkovic, Z. Semiconductor Gas Sensors: Materials, Technology, Design, and Application. Sensors 2020, 20, 6694. [Google Scholar] [CrossRef] [PubMed]
- Wang, C.; Yin, L.; Zhang, L.; Xiang, D.; Gao, R. Metal Oxide Base Sensors: Sensitivity and Influencing Factors. Sensors 2010, 10, 2088–2106. [Google Scholar] [CrossRef] [PubMed]
- Fine, G.F.; Cavanagh, L.M.; Afonja, A.; Binions, R. Metal Oxide Semi-Conductor Gas Sensors in Environmental Monitoring. Sensors 2010, 10, 5469–5502. [Google Scholar] [CrossRef]
- Heiland, G.; Kohl, D. Chemical Sensor Technology; Seiyama, T., Ed.; Kodansha: Japan, Tokyo, 1988; Volume 1, pp. 15–38. [Google Scholar]
- Kim, H.-J.; Lee, J.-H. Highly sensitive and selective gas sensors using p-type oxide semiconductors: Overview. Sens. Actuators B Chem. 2014, 192, 607–627. [Google Scholar] [CrossRef]
- Hübner, M.; Simion, C.E.; Tomescu-Stanoiu, A.; Pokhrel, S.; Barsan, N.; Weimar, U. Influence of humidity on CO sensing with p-type CuO thick film gas sensors. Sens. Actuators B Chem. 2011, 153, 347–353. [Google Scholar] [CrossRef]
- Arshaka, K.; Twomey, K.; Egan, D. A Ceramic Thick Film Humidity Sensor Based on MnZn Ferrite. Sensors 2002, 2, 50–61. [Google Scholar] [CrossRef]
- Hashtroudi, H.; Mackinnon, I.D.R.; Shafiei, M. Emerging 2D hybrid nanomaterials: Towards enhanced sensitive and selective conductometric gas sensors at room temperature. J. Mater. Chem. C 2020, 8, 13108–13126. [Google Scholar] [CrossRef]
- Han, Y.; Huang, D.; Ma, Y.; He, G.; Hu, J.; Zhang, J.; Hu, N.; Su, Y.; Zhou, Z.; Zhang, Y.; et al. Design of Hetero-Nanostructures on MoS2 Nanosheets to Boost NO2 room-temperature sensing. ACS Appl. Mater. Interfaces 2018, 10, 22640–22649. [Google Scholar] [CrossRef]
- Tian, H.; Fan, H.; Dong, G.; Ma, L.; Ma, J. NiO/ZnO p-n heterostructures and their gas sensing properties for reduced operating temperature. RSC Adv. 2016, 6, 109091–109098. [Google Scholar] [CrossRef]
- Goyal, C.P.; Goyal, D.; Ramgir, N.S.; Navaneethan, M.; Hayakawa, Y.; Muthamizhehelvan, C.; Ikeda, H.; Ponnusamy, S. Surface Modification of ZnO Nanowires with CuO: A tool to realize Highly-Sensitive H2S sensor. Phys. Solid State 2021, 63, 460–467. [Google Scholar] [CrossRef]
- Xuemei, H.; Yukun, S.; Bo, B. Fabrication of Cubic p-n Heterojunction-Like NiO/In2O3 Composite Microparticles and their enhanced gas sensing characteristics. J. Nanomater. 2016, 2016, 7589028. [Google Scholar] [CrossRef]
- Dey, S.; Nag, S.; Santra, S.; Ray, S.K.; Guha, P.K. Voltage-controlled NiO/ZnO p–n heterojunction diode: A new approach towards selective VOC sensing. Microsyst. Nanoeng. 2020, 6, 35. [Google Scholar] [CrossRef]
- Ali, F.I.M.; Awwad, F.; Greish, Y.E.; Mahmoud, S.T. Hydrogen Sulfide (H2S) Gas Sensor: A review. IEEE Sens. J. 2019, 19, 2394–2407. [Google Scholar] [CrossRef]
- Shannon, R.D. Revised effective ionic radii and systematic studies of interatomic distances in halides and chalcogenides. Acta Cryst. A 1976, 32, 751–767. [Google Scholar] [CrossRef]
- Naumkin, A.V.; Kraut-Vass, A.; Gaarenstroom, S.W.; Powell, C.J. NIST X-ray Photoelectron Spectroscopy Database; NIST Standard Reference Database 20, Version 4.1; National Institute of Standards and Technology: Gaithersburg, MD, USA, 2012. [Google Scholar] [CrossRef]
- Ji, H.; Zeng, W.; Li, Y. Gas sensing mechanisms of metal oxide semiconductors: A focus review. Nanoscale 2019, 11, 22664. [Google Scholar] [CrossRef] [PubMed]
- Soleimanpour, A.M.; Jayatissa, A.H.; Sumanasekera, G. Surface and gas sensing properties of nanoscrystalline nickel oxide thin films. Appl. Surf. Sci. 2013, 276, 291–297. [Google Scholar] [CrossRef]
- Yamazoe, N.; Sakai, G.; Shimanoe, K. Oxide semiconductor gas sensors. Catal. Surv. Asia 2003, 7, 63–75. [Google Scholar] [CrossRef]
- Gercher, V.A.; Cox, D.F. Water adsorption on stoichiometric and defective SnO2 (110) surfaces. Surf. Sci. 1995, 322, 177–184. [Google Scholar] [CrossRef]
- Oprea, A.; Barsan, N.; Weimar, U. Work function changes in gas sensitive materials: Fundamentals and applications. Sens. Actuators B Chem. 2009, 142, 470–493. [Google Scholar] [CrossRef]
- Barsan, N.; Koziej, D.; Weimar, U. Metal oxide-based gas sensor research: How to? Sens. Actuators B Chem. 2007, 121, 18–35. [Google Scholar] [CrossRef]
- Boroun, Z.; Ghorbani, M.; Mohammadpour, R.; Moosavi, A. Importance of N-P-N Junction in H2S Sensing Process of SnO2-CuO Heterostructures: A Theoretical Macroscopic Approach. IEEE Sens. J. 2021, 21, 7123–7129. [Google Scholar] [CrossRef]
- Shanmugasundaram, A.; Kim, D.S.; Hou, T.F.; Lee, D.W. Facile in situ Formation of CuO/ZnO p-n Heterojunction for Improved H2S-sensing Applications. J. Sens. Sci. Technol. 2020, 29, 156–161. [Google Scholar] [CrossRef]
- Ao, D.; Li, Z.; Fu, Y.; Tang, Y.; Yan, S.; Zu, X. Heterostructured NiO/ZnO Nanorod Arrays with Significantly Enhanced H2S Sensing Performance. Nanomaterials 2019, 9, 900. [Google Scholar] [CrossRef]
- Zhang, P.; Zhu, H.; Xue, K.; Chen, L.; Shi, C.; Wang, D.; Li, J.; Wang, X.; Cui, G. H2S detection at low temperatures by Cu2O/Fe2O3 heterostructure ordered array sensors. RSC Adv. 2020, 10, 8332. [Google Scholar] [CrossRef]
- Wang, X.; Li, S.; Xie, L.; Li, X.; Lin, D.; Zhu, Z. Low-temperature and highly sensitivity H2S gas sensor based on ZnO/CuO composite derived from bimetal metal-organic frameworks. Ceram. Int. 2020, 46, 15858–15866. [Google Scholar] [CrossRef]
- Muezzinoglu, M.K.; Vergara, A.; Huerta, R.; Rulkov, N.; Rabinovich, M.I.; Selverston, A.; Abarbanel, H.D.I. Acceleration of chemo-sensory information processing using transients features. Sens. Actuators B Chem. 2009, 137, 507–512. [Google Scholar] [CrossRef]
- Ulrich, M.; Bunde, A.; Kohl, C.D. Percolation and gas sensitivity in nanocrystalline metal oxide films. Appl. Phys Lett. 2004, 85, 242–244. [Google Scholar] [CrossRef]












| Sample | Binding Energies (eV) | Atomic Relative Concentrations (atom %) | |||||
|---|---|---|---|---|---|---|---|
| Ni2p3/2 | Sn3d5/2 | O1s | C | O | Ni | Sn | |
| SnO2 | - | 486.5 | 530.3-Olattice 531.6-OHads 532.9-H2O | 8.0 | 61.4 | - | 30.6 |
| - | 66.8 | 33.2 | |||||
| SnO2-1%NiO | 855.6 | 486.3 | 530.2-Olattice 531.5-OHads 532.8-H2O | 8.9 | 60.6 | 0.95 (~1.2 wt.%) | 29.6 |
| 66.4 | 1.04 | 32.5 | |||||
| SnO2-10%NiO | 855.6 | 486.1 | 530.1-Olattice 531.6-OHads 5.2.9-H2O | 11.7 | 57.8 | 4.6 | 25.9 |
| - | 65.5 | 5.2 (~6.5 wt.%) | 29.3 | ||||
| Material | H2S Concentration | Sensor Signal | Presence of Moisture | Reference |
|---|---|---|---|---|
| SnO2-CuO | 1 ppm | 8 × 103@150 °C | No | [25] |
| CuO-ZnO | 120 ppb | 344@150 °C | No | [26] |
| NiO-ZnO | 20 ppm | 21.3@160 °C | No | [27] |
| Cu2O-Fe2O3 | 10 ppm | 4.8 × 103@5 °C | No | [28] |
| ZnO-CuO | 10 ppm | 23.03@40 °C | No | [29] |
| NiO-SnO2 | 5 ppm | 1 × 103@200 °C | Yes | This work |
Publisher’s Note: MDPI stays neutral with regard to jurisdictional claims in published maps and institutional affiliations. |
© 2021 by the authors. Licensee MDPI, Basel, Switzerland. This article is an open access article distributed under the terms and conditions of the Creative Commons Attribution (CC BY) license (https://creativecommons.org/licenses/by/4.0/).
Share and Cite
Stanoiu, A.; Kuncser, A.C.; Ghica, D.; Florea, O.G.; Somacescu, S.; Simion, C.E. Sensing Properties of NiO Loaded SnO2 Nanoparticles—Specific Selectivity to H2S. Chemosensors 2021, 9, 125. https://doi.org/10.3390/chemosensors9060125
Stanoiu A, Kuncser AC, Ghica D, Florea OG, Somacescu S, Simion CE. Sensing Properties of NiO Loaded SnO2 Nanoparticles—Specific Selectivity to H2S. Chemosensors. 2021; 9(6):125. https://doi.org/10.3390/chemosensors9060125
Chicago/Turabian StyleStanoiu, Adelina, Andrei C. Kuncser, Daniela Ghica, Ovidiu G. Florea, Simona Somacescu, and Cristian E. Simion. 2021. "Sensing Properties of NiO Loaded SnO2 Nanoparticles—Specific Selectivity to H2S" Chemosensors 9, no. 6: 125. https://doi.org/10.3390/chemosensors9060125
APA StyleStanoiu, A., Kuncser, A. C., Ghica, D., Florea, O. G., Somacescu, S., & Simion, C. E. (2021). Sensing Properties of NiO Loaded SnO2 Nanoparticles—Specific Selectivity to H2S. Chemosensors, 9(6), 125. https://doi.org/10.3390/chemosensors9060125

