Abstract
In this work, novel platforms for paracetamol sensing were developed by the deposition of Bi2O3, Bi5O7NO3 and their heterostructures onto screen-printed carbon-paste electrodes. An easy and scalable solid state synthesis route was employed, and by setting the calcination temperatures at 500 °C and 525 °C we induced the formation of heterostructures of Bi2O3 and Bi5O7NO3. Cyclic voltammetry measurements highlighted that the heterostructure produced at 500 °C provided a significant enhancement in performance compared to the monophases of Bi2O and Bi5O7NO3, respectively. That heterostructure showed a mean peak-to-peak separation of 411 mV and a sensitivity increment of up to 70% compared to bare electrodes. A computational study was also performed in order to evaluate the geometrical and kinetic parameters of representative clusters of bismuth oxide and subnitrate when they interact with paracetamol.
1. Introduction
Paracetamol (PCM) is one of the most commonly consumed drugs in the world, being used as an antipyretic, analgesic, and non-steroidal anti-inflammatory compound [1]. The mechanism of its action is still under study [2], while evidence shows the inhibition of the cyclooxygenase activity in the brain and the synthesis of prostaglandins [3]. Under the correct therapeutic dosage, no side effects are reported. However, liver and kidney damage are a frequent consequence in the case of overdose [4]. As reported in Stravitz et al. [5], PCM toxicity is the main cause of acute liver failure in the U.S., which leads to a liver transplant for approximately 30% of the cases. Furthermore, PCM is considered an emerging freshwater pollutant by Murray et al. [6], based on a number of criteria such as its toxicity to aquatic organisms and its environmental persistence. This problem is exacerbated by the fact that many waste treatment facilities are not capable of adequately detecting and removing its toxic degradation products [7]. Some of the treatment methods to remove PCM use photo–electro–Fenton oxidation, activated charcoal, ultrafiltration and ozone oxidation [8]. It has been reported that the presence of PCM or its degradation products in water can induce neurotoxic effects on aquatic organisms [9], by inhibiting acetylcholinesterase. Additionally, even if the concentration of this particular xenobiotic is relatively low, Elersek et al. [10] showed that the presence of other drugs with a similar mode of action can lead to synergistic interactions, increasing the risk of toxic effects. Consequently, given its role as a freshwater pollutant and its toxic effects on the liver with overdoses, the development of effective detection techniques is of paramount importance.
Among the wide range of analytical tools, electrochemical sensors have shown significant advantages over other techniques (i.e., HPLC, spectrophotometry, colorimetry and chemiluminescence) due to their ability to provide cheap, fast, easy-to-use and in-line measurements [11]. An effective approach to improving the sensitivity and electrooxidation kinetics of electrochemical sensors is to employ nanostructured catalysts [12,13]. Furthermore, multiple studies have now shown a clear size-dependence of the catalytic activity that may briefly be ascribed to surface-enhancement and quantum effects [14,15], with detectable amounts ranging from 1–2 nM [16,17] up to 3 μM [18]. Noble metal nanoparticles, especially Au, Pd and Pt, show exceptional electrocatalytic behavior, decreased overpotentials in relevant electrochemical reactions and even an improved reversibility [19]. Unfortunately, the use of noble metals is usually prohibitive for many applications due to the materials’ cost. For this reason, an interesting alternative is offered by metal oxides, which have shown promising results in the oxidation of aromatic compounds [20]. In particular, the introduction of structural defects (i.e., substitutional atoms or oxygen vacancies in metal oxides) can alter the electronic structure and improve the electrochemical performance [21]. Consequently, a metal oxide with accurately designed defects could show significant improvements in its electrochemical activity. Among all the available metal oxide species, bismuth-based materials show a wide range of oxide phases easily produced through thermal routes [22], displaying a notable performance as photocatalysts [23]. In this work, bismuth oxide and a bismuth subnitrate are evaluated as potential electroactive materials for PCM detection. Our focus is the synergistic effects of their heterostructures as produced through solid-state synthesis routes: Bi2O3, Bi5O7NO3 and their heterostructures were deposited onto screen-printed electrodes (SPE) and tested through cyclic voltammetry. The modified SPEs were characterized both in terms of their kinetics and sensitivity. Furthermore, a computational study based on semiempirical methods was performed to evaluate the geometrical and energetic parameters of the transitional state.
2. Materials and Methods
2.1. Materials
Bismuth nitrate pentahydrate Bi(NO3)3·5H2O was purchased from Sigma Aldrich (Burlington, MA, USA). Paracetamol was purchased in powder form with a purity higher than 98% (Sigma Aldrich). Phosphate Buffered Saline (PBS) tablets were purchased as well (Sigma Aldrich). The deionized water was subject to a bi-distillation process.
2.2. Bismuth Subnitrate Heterostructures Synthesis
Following the procedure reported by Kodama [24] and Gadhi et al. [23], heterostructures of Bi2O3 and Bi5O7NO3 were produced via a simple solid state method using as a precursor salt Bi(NO3)3·5H2O. First, the precursor salt was ground in a mortar. The pulverized precursor was heated in a tubular furnace (Carbolite TZF 12/65/550) at 200 °C in a nitrogen atmosphere for one hour to obtain a complete dehydration. Afterwards, the temperature was raised to 300 °C and maintained for two hours. In the last step of the process, the temperature was kept between 400 and 600 °C, depending on the degree of oxidation targeted. Four different kinds of samples were synthesized at distinct calcination temperatures, as shown in Table 1. Afterward, all of the samples were cooled in air, to promote the formation of β-Bi2O3. For all the described steps, the heating ramp was set to 10 °C/min. The samples were labelled as Bxxx, where xxx represents the final step temperature in °C.
Table 1.
Thermal treatment used for the synthesis of bismuth oxide and bismuth subnitrate structures.
The samples were analyzed with a Renishaw Invia confocal Raman spectrometer with an exciting CW laser of 514 nm at a temperature of 298 K in the range 500–3500 cm−1.
Sample morphology was investigated using high-resolution field emission scanning electron microscopy (FE-SEM) (Supra 40 microscope, Zeiss, Oberkochen, Germany).
2.3. Working Electrode Modification
The synthesized materials were used to decorate a commercial SPE (Dropsens DRP110C), following the procedure reported by Madagalam et al. [25]. Well-dispersed suspensions of synthesized materials were prepared by adding around 12 mg of material to 4 mL of distilled water and ultrasonically treated for 10 min. SPEs with a carbon-based working electrode (with area of up to around 0.12 cm2), a carbon-based counter electrode, and silver pseudo-reference electrode were used as electrochemical sensors. The potential of the pseudo-reference electrode was stable under the conditions and timescale used in the experiments. SPEs were modified by the drop-casting technique, spreading 5 μL of bismuth species suspension on the surface of the working electrode, and drying overnight at room temperature. Bare and modified SPEs were stored under atmospheric conditions after the surface modification.
2.4. Electrochemical Measurements
A cyclic voltammetry study was performed using an Autolab potentiostat under atmospheric conditions. A volume of 100 μL of PCM solution (0.1 M of PBS + 1 mM PCM) at pH 7.4 was dropped onto the surface of the working electrode by means of a micropipette. The potential was swept from −0.3 V to 0.9 V and the scan rate was varied between 0.1 V/s and 0.3 V/s in steps of 0.05 V/s. Calibration curves were produced by acquiring multiple voltammograms at 0.1 V/s using concentrations of PCM (0.5 mM, 1 mM, 2 mM, 3 mM) in 0.1 M of PBS. All measurements were replicated three times and the results reported as average values with related uncertainty.
For each voltammogram, the baseline was removed with Matlab, following known approaches [26], to ensure that only faradaic currents were considered.
2.5. Computational Study
Clusters of Bi2O3 and Bi5O7NO3 were defined according to their unit cells and then modified appropriately to compensate for the lack of border atoms (and thus they were in a state of undervalence), according with Harwing [27] and Ziegler et al. [28], respectively. For , the crystal structure of reference was the tetragonal one, which was most likely that of the synthesized bismuth oxide. The clusters were first roughly defined with the use of the software Avogadro and subsequently optimized with the commercial software Hyperchem 8.0.1. The optimization was performed with the semiempirical Parametric Method 3 (PM3) using an optimization algorithm based on the conjugate gradient (Polak–Ribiere) with a set limit of energy convergence of 0.01 kcal/(Åmol) [29]. For each cluster, the interaction with a molecule of PCM was evaluated. Five water molecules were added in both cases to account at least partially for solvation effects. Both systems were thus optimized with PM3. The resulting configurations were considered hypothetical transition states for the electron transfer between PCM and the respective cluster. In this way, it was possible to apply the generalized theory of Marcus [30,31] and to estimate the rate constant of the electron transfer.
3. Results
3.1. Characterization of Bismuth-Based Heterostructures through Raman Spectroscopy
In Figure 1, the Raman spectra of the synthesized materials are reported.
Figure 1.
Raman spectra of the synthesized materials. From bottom to top: B450, B500, B525, B600.
The spectrum of sample B450 showed five bands peaking at 712 , 811 , 1049 , 1328 and 1380 , respectively.
According to Xu et al. [32], the last three peaks were due to the symmetrical and asymmetrical υNO of nitro groups, while the peaks at 712 (in-plane deformation), 811 (out-of-plane deformation) were due to skeletal vibrations. While the peaks 1328 and 1380 were very low in intensity, the peak centered on 1049 was very intense and could easily be used to monitor the evolution of Bi5O7NO3 by increasing the calcination temperature. Across the temperature range investigated, the peak centered on 1049 decreased according with the preliminary observation of Kodama [24] due to the thermal decomposition of nitro residues with the release of NO. The spectra of sample B600 showed bands peaking at 282 , 315 , 418 , 448 and 530 , which is compatible with the reported spectrum of pure [33,34].
The morphologies of B450 and B600 were investigated using FESEM as shown in Figure 2.
Figure 2.
Scanning electron microscope captures of (a) B450 and (b) B600.
According to data reported by Gadhi et al. [23], pure (Figure 2a) has a structure characterized by flower-like particles composed of interconnected planes of few nanometers in thickness. B600 showed a partial sinterization of pure grains due to the high calcination temperatures (Figure 2b) as was reported by Balint et al. [35].
3.2. Electrochemical Measurements
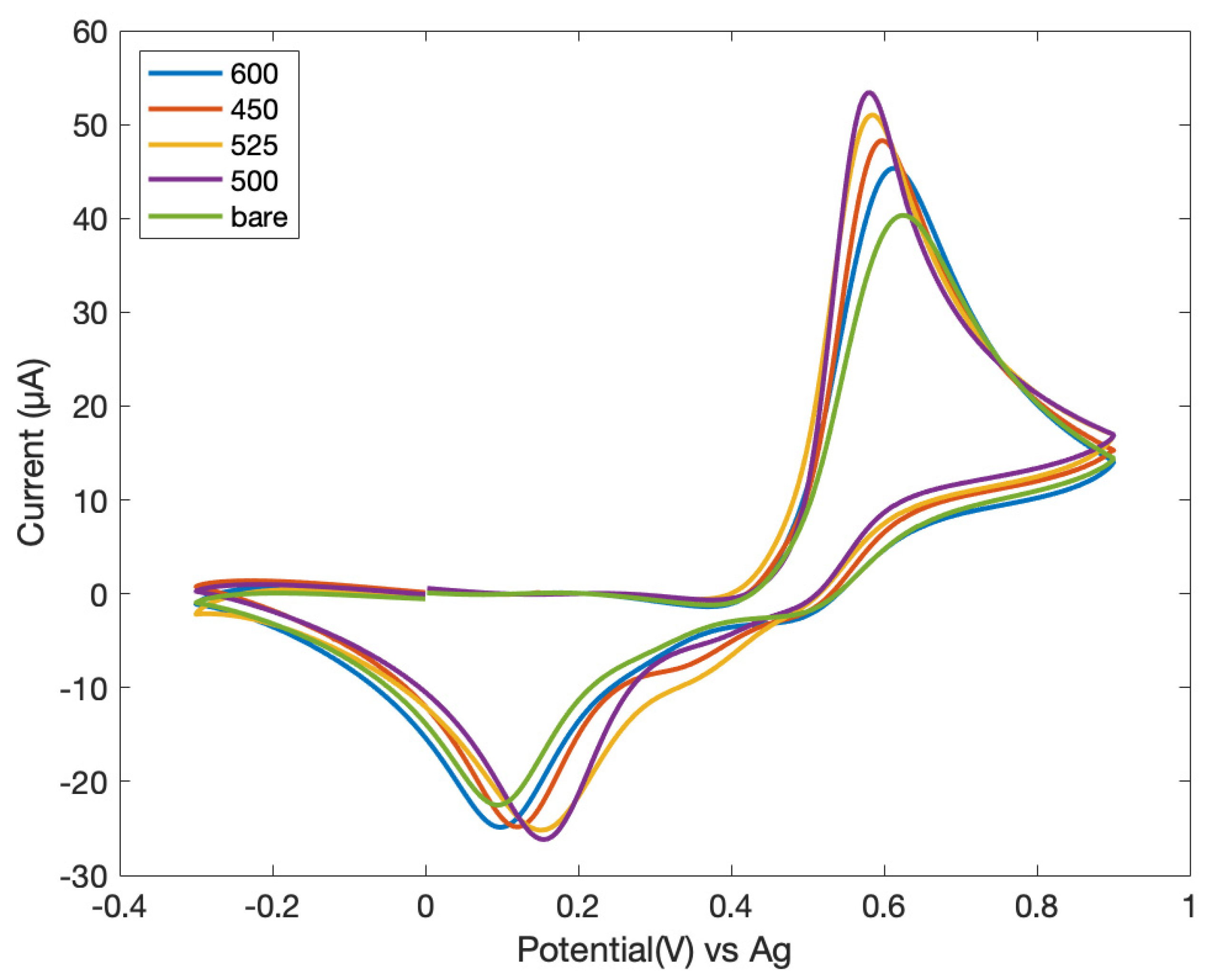
Figure 3 presents the voltammograms of the modified SPEs compared to the bare electrode. The electrolytic solution was composed of 0.1 M PBS at pH 7.4 and 1 mM of PCM, and the scan rate was 0.1 V/s. In the absence of PCM, no redox peaks could be detected. Table 2 summarizes the mean anodic peak currents and the peak-to-peak distance, with their respective standard error. All of the functionalized sensors presented a higher current peak compared to the bare electrode and a reduced peak-to-peak separation (). The heterostructures B500 and B525 displayed even greater currents, with a reduction of . All the sensors showed a cathodic current peak intensity of up to around 50% of the anodic current peak. This suggests that the electrooxidation of PCM involves two electrons and two protons and is pH-dependent, as elucidated by Miner et al. [36].
Figure 3.
Voltammograms of the differently modified sensors at 0.1 V/s scan rate for an electrolytic solution of 0.1 M PBS with 1 mM PCM.
Table 2.
Anodic peak and peak-to peak separations for bare electrode and modified SPEs. (0.1 V/s).
Accordingly, in this study N-acetyl-p-benzoquinone-imine (NAPQI) was the main product of the oxidation of paracetamol at pH 7 and showed a tendency to form with a dimeric structure. Hence, the coupling of the dimerization chemical reaction with the electrochemical oxidation of paracetamol was most likely the cause of the lower cathodic currents.
Nematollahi et al. [37] suggested that an adsorbed layer of dimers prevents the reduction of NAPQI. Nevertheless, the linear dependence of the peak currents on the square root of the scan rate would indicate the presence of freely diffusing redox species. Moreover, an inverse dependence of on the concentration of PCM was observed for all sensors. This indicates that a second-order reaction was taking place [26], such as a dimerization reaction.
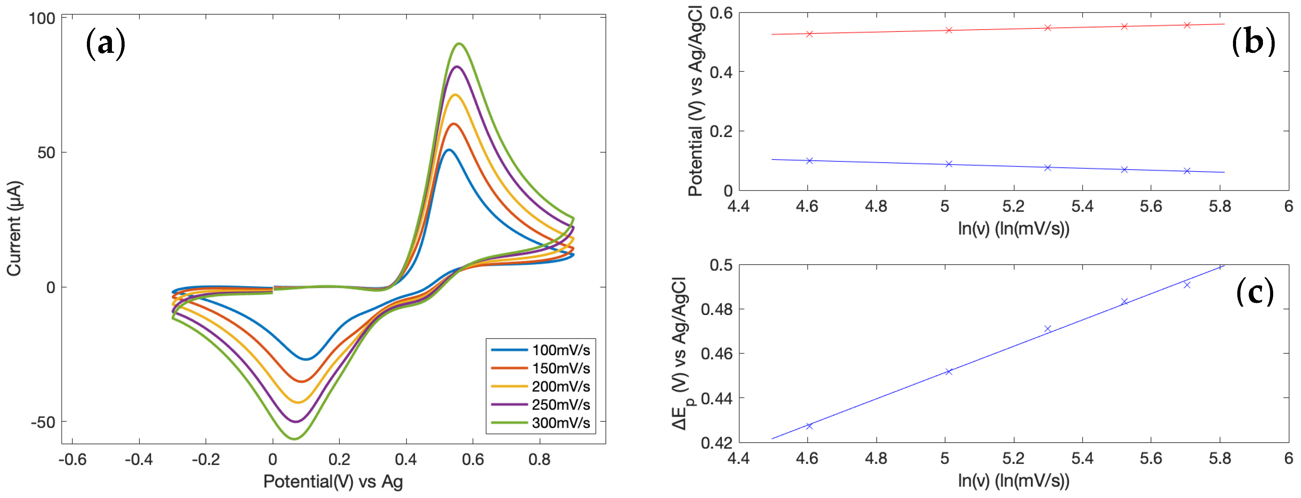
To perform a kinetic characterization of the sensors, the voltammograms were acquired from a range of scans from 0.1 V/s to 0.3 V/s, as shown in Figure 4.
Figure 4.
(a) Cyclic voltammograms of 1 mM PCM in 0.1 M of PBS with scan rate varied from 100 mV to 300 mV for a sensor functionalized with B500. (b) Linear dependence of the peak currents’ positions with respect to the natural logarithm of the scan rate. (c) Linear dependence of the peak-to-peak separation with respect to the natural logarithm of scan rate.
A linear dependence of the peak currents (anodic and cathodic) with respect to the square root of the scan rate was observed as shown in Table 3.
Table 3.
Linear regression equations () for the different modified SPEs (scan rate = 0.1 V/s) and calculated diffusion coefficient of PCM for a scan rate of 100 mV/s.
Such behavior is indicative of an electrochemical process controlled by diffusion and not by adsorption [38].
Accordingly, the Randles–Sevcik equation can thus be applied:
where n is the number of electrons exchanged in the reaction, A is the working electrode area, is the concentration of the analyte in the bulk, is the diffusion coefficient of the redox species; the n (number of exchanged electrons) was 2, according with Nematollahi et al. [37].
The peak currents’ positions and were observed to shift linearly with respect to the Napierian logarithm of the scan rate, which is indicative of a quasi-reversible process [39]. The charge transfer coefficient () was calculated by taking the slope of the regression line of the anodic () and cathodic () peaks’ positions with respect to the logarithm of the scan rate and then by considering the following equation by Laviron [40]:
Similarly, with the use of the Laviron theory the rate constant of the electron transfer k was calculated with the use of the following relationship:
It is worth noting that the use of the Laviron theory is compatible with the peak-to-peak distance of well over 200 mV/n observed in all samples.
Table 4 summarizes the calculated values of the electron transfer rate (k) and of the charge transfer coefficient (). The sensors functionalized with the heterostructures (samples B500 and B525) presented superior kinetics on PCM electrooxidation with respect to the single phase samples of (sample B450) (sample B600).
Table 4.
Experimental values of electron transfer and alpha for bismuth subnitrates, heterostructures and oxides as computed by the Laviron theory.
Gadhi et al. [18] showed that the valence and the conduction band of are lower in energy compared with . Consequently, a Type-II heterojunction is formed as a result of the misaligned band edges at the interphase improving the charge carrier separation. These heterostructures can generate a built-in electric field that could promote the charge transfer during electrocatalytic applications [41,42,43]. Accordingly, the kinetics of the modified SPEs with B600 (pure ) and B450 (pure ) was found to be slower compared to those functionalized with the heterostructured materials. This was due to a combination of the electrons’ mobility and particles’ morphologies as shown in Figure 2a,b.
In order to fully characterize the performance of the different SPEs on PCM detection, it was important to evaluate their responses at different analyte concentrations. CV, at a scan rate of 100 mV/s, was thus performed at four different PCM concentrations (0.5 mM, 1 mM, 2 mM, 3 mM). The peak anodic current was taken for each measurement, and by plotting those values against the molar concentration a linear regression curve could be obtained, as shown in Figure 5.
Figure 5.
(a) Cyclic voltammograms of 1 mM PCM in 0.1 M of PBS with scan rate varied from 100 mV to 300 mV for a sensor functionalized with B525. (b) Linear dependence of the peak currents’ positions with respect to the natural logarithm of the scan rate. (c) Linear dependence of the peak-to-peak separation with respect to the natural logarithm of the scan rate.
Figure 6 shows the different calibration curves of the bare and functionalized electrodes. From the slopes of the curves, sensitivity values were obtained, and the Standard Deviation (SD) for the three samples calculated. The SD was then divided by the square root of the number of samples to obtain the standard error of the mean.
Figure 6.
Calibration curves for the bare electrode, B450, B500, B525, and B600 obtained by plotting the anodic peak currents at 100 mV/s with respect to the different concentrations of PCM.
It can clearly be seen that the deposition of bismuth oxide/bismuth subnitrate species greatly improved the sensitivity of the sensors. The B500-modified sensor had a sensitivity of 48.47 0.32 μA/mM, while the B525-modified one had a sensitivity of 46.73 0.28 μA/mM, almost twice the reported value for the bare electrode. This is likely due to a higher surface area arising from the nanoflake morphology of the synthesized heterostructures (as reported by Gadhi et al. [23]) and also simply the presence of more favorable sites for the adsorption related to the presence of interphases.
The limit of detection (LOD) is the minimum amount of a species that can be detected by a sensor from the blank measurement (in the absence of the analyte) within a certain confidence interval. To calculate the LOD for the different sensors in Table 5, the following formula was used:
where is the standard deviation of the blank measurement, S is the calculated sensitivity, K = 3 is a constant that depends on the desired confidence interval (here 99.6%).
Table 5.
Sensitivity and limit of detection.
Surprisingly, the LOD of the functionalized sensors was slightly higher than for the bare electrode, even though the sensitivity (at the denominator) was greater. The different responses of the modified electrodes to the blank solution led to larger standard deviations, which caused a modest increase in the LOD.
Furthermore, it is interesting to note that the capacitive current also significantly changed with the structuration of the SPEs. In addition, Figure 2 shows a decreased offset current moving from the base electrodes to sample B450, while the apparent differences among the four samples were not statistically significant. Therefore, we cannot conclude that the two heterostructures improved the capacitive current more than the single phase samples, while we can conclude that all of the functionalizations with bismuth improved the capacitive current with respect to the base SPE.
3.3. Computational Study
The interaction between a modified SPE’s surface and bismuth clusters is a key point for understanding such a system, and could lead to further improvements in tailoring the structure. Accordingly, we evaluated the electron transfer rate and the geometrical parameters of two representative bismuth structures, Bi2O3 and Bi5O7NO3, as shown in Figure 7.
Figure 7.
Optimized structures of PCM interaction with (a) Bi2O3 and (b) Bi5O7NO3 representative units. Bismuth atoms are represented as purple spheres, carbon atoms as grey spheres, oxygen atoms as red spheres, nitrogen atoms as blue spheres and hydrogen atoms as white spheres.
By using the generalized Marcus theory as developed by Tachiya et al. [31], we estimated the rate constant of the electron transfer k using Equation (5):
where is the ionization potential, is the electron affinity, is the solvation energy of the ion pair due to solvent electronic polarization, J is the electron coupling and is ion pair Coulomb interaction energy. The reorganizational energy was obtained with the classical expression provided by Marcus:
where is the distance Bi(30)–Bi(27) = 3.32Å in the cluster and Bi(1)–Bi(8) = 3.3Å in the cluster; is the distance C(12)–C(15) = 2.79Å in the cluster and C(27)–C(28) = 2.79Å in the cluster; R is the mean distance between Bi(30)–C(12) and Bi(27)–C(15) in the cluster, and it is equal to 3.62 Å; in , R is the mean distance between Bi(1)–C(27) and Bi(8)–C(28), and it is equal 3.51Å; = 2 is the number of electrons exchanged; and are the optical and static dielectric constants of water, respectively.
The calculated rate constant was for and for . Both theoretical values were close to the experimental ones reported in Table 4. However, the proposed computational model does not account for coupled chemical reactions such as the dimerization of NAPQI and possible diffusion limitations. For this reason, a slight overestimation of the rate constant in the theoretical model for both and is expected.
The computational studies showed a greater interaction distance between PCM and the bismuth in the case of Bi2O3 than that in the case of Bi5O7NO3. The tight interaction between PCM and Bi5O7NO3 is one possible reason for the increased electron transfer, as is also demonstrated by Table 3. On the other hand, that was also likely limited by the desorption of the oxidized PCM, as is demonstrated in cyclic voltammetry experiments by the dependence of on the concentration of PCM. Heterostructures of Bi2O3/Bi5O7NO3 seem to mitigate this issue by providing a better balance between the adsorption of reduced species and the desorption of oxidized products due to a more disordered surface topography.
4. Conclusions
In this work, we reported a systematic study on the effect of the production temperature on the electrochemical performances of bismuth subnitrate species, evaluating their electron transfer rate constant through empirical data using the Laviron model and semiempirical computational methods.
Furthermore, we have shown that it is possible to follow the progressive oxidation of a bismuth subnitrate through the Raman spectroscopy. Consequently, the intensity of the symmetric stretching peak at a Raman shift of was observed to inversely correlate with the calcination temperature. This allowed us to monitor the transition of Bi5O7NO3 to pure Bi2O3 through bismuth subnitrate heterostructures.
A comprehensive characterization of the modified SPEs compared to the bare electrode was provided through cyclic voltammetry measurements. Enhancements in (anodic–cathodic) peak currents were noticed for all the SPEs. The introduction of deliberate defects into the structure of the subnitrate, in the form of partial oxidation sites, was shown to favor an improved electron transfer. The heterostructure B500 caused the greatest improvement to the carbonaceously working electrode in terms of its sensitivity and kinetics. We also evaluated the interaction of modified SPEs with PCM through a computational study, identifying the geometrical factors that maximized the electron transfer rate. The computational study showed that the presence of nitric residues induced geometrical constraints on the transitional state, but also that it is still more energetically favorable compared with pure bismuth oxide. This suggest that a combination of bismuth oxide and bismuth subnitrate could give rise to the synergistic effects observed.
This work lays the foundation for future developments of defective-bismuth-tailored SPEs with improved responses in non-enzymatic sensing.
Author Contributions
Conceptualization, M.B., A.T. and S.C.; methodology, F.F. and M.B.; software, F.F.; formal analysis, F.F. and M.B.; investigation, F.F., M.B., A.T. and S.C.; resources, A.T. and S.C.; data curation, F.F.; writing—original draft preparation, F.F., M.B., A.T. and S.C.; writing—review and editing, F.F., M.B., A.T. and S.C.; visualization, F.F.; supervision, A.T. and S.C. All authors have read and agreed to the published version of the manuscript.
Funding
This research received no external funding.
Data Availability Statement
Not applicable.
Conflicts of Interest
The authors declare no conflict of interest.
References
- Chiam, E.; Weinberg, L.; Bellomo, R. Paracetamol: A review with specific focus on the haemodynamic effects of intravenous administration. Heart Lung Vessel. 2015, 7, 121. [Google Scholar]
- Przybyła, G.W.; Szychowski, K.A.; Gmiński, J. Paracetamol—An old drug with new mechanisms of action. Clin. Exp. Pharmacol. Physiol. 2021, 48, 3–19. [Google Scholar] [CrossRef] [PubMed]
- Graham, G.G.; Scott, K.F. Mechanism of action of paracetamol. Am. J. Ther. 2005, 12, 46–55. [Google Scholar] [CrossRef]
- Graham, G.G.; Davies, M.J.; Day, R.O.; Mohamudally, A.; Scott, K.F. The modern pharmacology of paracetamol: Therapeutic actions, mechanism of action, metabolism, toxicity and recent pharmacological findings. Inflammopharmacology 2013, 21, 201–232. [Google Scholar] [CrossRef] [PubMed]
- Stravitz, R.T.; Lee, W.M. Acute liver failure. Lancet 2019, 394, 869–881. [Google Scholar] [CrossRef]
- Murray, K.E.; Thomas, S.M.; Bodour, A.A. Prioritizing research for trace pollutants and emerging contaminants in the freshwater environment. Environ. Pollut. 2010, 158, 3462–3471. [Google Scholar] [CrossRef]
- Żur, J.; Piński, A.; Marchlewicz, A.; Hupert-Kocurek, K.; Wojcieszyńska, D.; Guzik, U. Organic micropollutants paracetamol and ibuprofen—Toxicity, biodegradation, and genetic background of their utilization by bacteria. Environ. Sci. Pollut. Res. 2018, 25, 21498–21524. [Google Scholar] [CrossRef]
- Gogate, P.R.; Pandit, A.B. A review of imperative technologies for wastewater treatment I: Oxidation technologies at ambient conditions. Adv. Environ. Res. 2004, 8, 501–551. [Google Scholar] [CrossRef]
- Merciai, R.; Guasch, H.; Kumar, A.; Sabater, S.; García-Berthou, E. Trace metal concentration and fish size: Variation among fish species in a Mediterranean river. Ecotoxicol. Environ. Saf. 2014, 107, 154–161. [Google Scholar] [CrossRef]
- Elersek, T.; Milavec, S.; Korošec, M.; Brezovsek, P.; Negreira, N.; Zonja, B.; de Alda, M.L.; Barceló, D.; Heath, E.; Ščančar, J. Toxicity of the mixture of selected antineoplastic drugs against aquatic primary producers. Environ. Sci. Pollut. Res. 2016, 23, 14780–14790. [Google Scholar] [CrossRef]
- Alanazi, K.; Cruz, A.G.; Di Masi, S.; Voorhaar, A.; Ahmad, O.S.; Cowen, T.; Piletska, E.; Langford, N.; Coats, T.J.; Sims, M.R. Disposable paracetamol sensor based on electroactive molecularly imprinted polymer nanoparticles for plasma monitoring. Sens. Actuators B Chem. 2021, 329, 129128. [Google Scholar] [CrossRef]
- Claussen, J.; Shi, J.; Rout, C.S.; Artiles, M.; Roushar, M.; Stensberg, M.; Porterfield, D.M.; Fisher, T. Nano-sized biosensors for medical applications. In Biosensors for Medical Applications; Elsevier: Amsterdam, The Netherlands, 2012; pp. 65–102. [Google Scholar]
- Maduraiveeran, G.; Jin, W. Nanomaterials based electrochemical sensor and biosensor platforms for environmental applications. Trends Environ. Anal. Chem. 2017, 13, 10–23. [Google Scholar] [CrossRef]
- Roduner, E. Size matters: Why nanomaterials are different. Chem. Soc. Rev. 2006, 35, 583–592. [Google Scholar] [CrossRef] [PubMed]
- Sasidharan, S.; Raj, S.; Sonawane, S.; Sonawane, S.; Pinjari, D.; Pandit, A.; Saudagar, P. Nanomaterial synthesis: Chemical and biological route and applications. In Nanomaterials Synthesis; Elsevier: Amsterdam, The Netherlands, 2019; pp. 27–51. [Google Scholar]
- Kang, X.; Wang, J.; Wu, H.; Liu, J.; Aksay, I.A.; Lin, Y. A graphene-based electrochemical sensor for sensitive detection of paracetamol. Talanta 2010, 81, 754–759. [Google Scholar] [CrossRef]
- Li, Z.-Y.; Gao, D.-Y.; Wu, Z.-Y.; Zhao, S. Simultaneous electrochemical detection of levodapa, paracetamol and l-tyrosine based on multi-walled carbon nanotubes. RSC Adv. 2020, 10, 14218–14224. [Google Scholar] [CrossRef]
- Annadurai, K.; Sudha, V.; Murugadoss, G.; Thangamuthu, R. Electrochemical sensor based on hydrothermally prepared nickel oxide for the determination of 4-acetaminophen in paracetamol tablets and human blood serum samples. J. Alloys Compd. 2021, 852, 156911. [Google Scholar] [CrossRef]
- Veloso, A.; Cheng, X.; Kerman, K. Electrochemical biosensors for medical applications. In Biosensors for Medical Applications; Elsevier: Amsterdam, The Netherlands, 2012; pp. 3–40. [Google Scholar]
- Wu, W.; Huang, Z.-H.; Lim, T.-T. Recent development of mixed metal oxide anodes for electrochemical oxidation of organic pollutants in water. Appl. Catal. A Gen. 2014, 480, 58–78. [Google Scholar] [CrossRef]
- Xie, C.; Yan, D.; Chen, W.; Zou, Y.; Chen, R.; Zang, S.; Wang, Y.; Yao, X.; Wang, S. Insight into the design of defect electrocatalysts: From electronic structure to adsorption energy. Mater. Today 2019, 31, 47–68. [Google Scholar] [CrossRef]
- Bartoli, M.; Jagdale, P.; Tagliaferro, A. A Short Review on Biomedical Applications of Nanostructured Bismuth Oxide and Related Nanomaterials. Materials 2020, 13, 5234. [Google Scholar] [CrossRef]
- Gadhi, T.A.; Hernández, S.; Castellino, M.; Jagdale, P.; Husak, T.; Hernández-Gordillo, A.; Tagliaferro, A.; Russo, N. Insights on the role of β-Bi2O3/Bi5O7NO3 heterostructures synthesized by a scalable solid-state method for the sunlight-driven photocatalytic degradation of dyes. Catal. Today 2019, 321–322, 135–145. [Google Scholar] [CrossRef]
- Kodama, H. Synthesis of a new compound, Bi5O7NO3, by thermal decomposition. J. Solid State Chem. 1994, 112, 27–30. [Google Scholar] [CrossRef]
- Madagalam, M.; Bartoli, M.; Tagliaferro, A.; Carrara, S. Bismuth-nanocomposites modified SPCEs for non-enzymatic electrochemical sensors. IEEE Sens. J. 2021, 21, 11155–11162. [Google Scholar] [CrossRef]
- Bard, A.J.; Faulkner, L.R. Electrochemical Methods: Fundamentals and Applications; Wiley: New York, NY, USA, 1980. [Google Scholar]
- Harwig, H. On the Structure of Bismuthsesquioxide: The α, β, γ, and δ-Phase. Z. Für Anorg. Allg. Chem. 1978, 444, 151–166. [Google Scholar] [CrossRef]
- Ziegler, P.; Ströbele, M.; Meyer, H.-J. Crystal structure of pentabismuth heptaoxide nitrate, Bi5O7NO3. Z. Für Krist. New Cryst. Struct. 2004, 219, 91–92. [Google Scholar] [CrossRef][Green Version]
- Syrovaya, A.O.; Levashova, O.L.; Andreeva, S.V. Investigation of quantum-chemical properties of paracetamol. J. Chem. Pharm. Res. 2015, 7, 307–311. [Google Scholar]
- Marcus, R.A. Chemical and electrochemical electron-transfer theory. Annu. Rev. Phys. Chem. 1964, 15, 155–196. [Google Scholar] [CrossRef]
- Tachiya, M. Generalization of the Marcus equation for the electron-transfer rate. J. Phys. Chem. 1993, 97, 5911–5916. [Google Scholar] [CrossRef]
- Xu, M.; Larentzos, J.P.; Roshdy, M.; Criscenti, L.J.; Allen, H.C. Aqueous divalent metal–nitrate interactions: Hydration versus ion pairing. Phys. Chem. Chem. Phys. 2008, 10, 4793–4801. [Google Scholar] [CrossRef]
- Madelung, O.; Rössler, U.; Schulz, M. Bismuth oxide (Bi2O3) IR absorption bands, Raman spectra. In Non-Tetrahedrally Bonded Elements and Binary Compounds I; Springer: Berlin, Germany, 1998; pp. 1–4. [Google Scholar]
- Hardcastle, F.D.; Wachs, I.E. The molecular structure of bismuth oxide by Raman spectroscopy. J. Solid State Chem. 1992, 97, 319–331. [Google Scholar] [CrossRef]
- Balint, R.; Bartoli, M.; Jagdale, P.; Tagliaferro, A.; Memon, A.S.; Rovere, M.; Martin, M. Defective Bismuth Oxide as Effective Adsorbent for Arsenic Removal from Water and Wastewater. Toxics 2021, 9, 158. [Google Scholar] [CrossRef]
- Miner, D.J.; Rice, J.R.; Riggin, R.M.; Kissinger, P.T. Voltammetry of acetaminophen and its metabolites. Anal. Chem. 1981, 53, 2258–2263. [Google Scholar] [CrossRef]
- Nematollahi, D.; Shayani-Jam, H.; Alimoradi, M.; Niroomand, S. Electrochemical oxidation of acetaminophen in aqueous solutions: Kinetic evaluation of hydrolysis, hydroxylation and dimerization processes. Electrochim. Acta 2009, 54, 7407–7415. [Google Scholar] [CrossRef]
- Elgrishi, N.; Rountree, K.J.; McCarthy, B.D.; Rountree, E.S.; Eisenhart, T.T.; Dempsey, J.L. A practical beginner’s guide to cyclic voltammetry. J. Chem. Educ. 2018, 95, 197–206. [Google Scholar] [CrossRef]
- Mirceski, V.; Stojanov, L.; Ogorevc, B. Step potential as a diagnostic tool in square-wave voltammetry of quasi-reversible electrochemical processes. Electrochim. Acta 2019, 327, 134997. [Google Scholar] [CrossRef]
- Laviron, E. General expression of the linear potential sweep voltammogram in the case of diffusionless electrochemical systems. J. Electroanal. Chem. Interfacial Electrochem. 1979, 101, 19–28. [Google Scholar] [CrossRef]
- Wu, J.; Chen, T.; Zhu, C.; Du, J.; Huang, L.; Yan, J.; Cai, D.; Guan, C.; Pan, C. Rational Construction of a WS2/CoS2 Heterostructure Electrocatalyst for Efficient Hydrogen Evolution at All pH Values. ACS Sustain. Chem. Eng. 2020, 8, 4474–4480. [Google Scholar] [CrossRef]
- Wu, Y.; Li, F.; Chen, W.; Xiang, Q.; Ma, Y.; Zhu, H.; Tao, P.; Song, C.; Shang, W.; Deng, T.; et al. Coupling Interface Constructions of MoS2/Fe5Ni4S8 Heterostructures for Efficient Electrochemical Water Splitting. Adv. Mater. 2018, 30, 1803151. [Google Scholar] [CrossRef] [PubMed]
- Jing, Y.; Mu, X.; Xie, C.; Liu, H.; Yan, R.; Dai, H.; Liu, C.; Zhang, X.-D. Enhanced hydrogen evolution reaction of WS2–CoS2 heterostructure by synergistic effect. Int. J. Hydrogen Energy 2019, 44, 809–818. [Google Scholar] [CrossRef]
Publisher’s Note: MDPI stays neutral with regard to jurisdictional claims in published maps and institutional affiliations. |
© 2021 by the authors. Licensee MDPI, Basel, Switzerland. This article is an open access article distributed under the terms and conditions of the Creative Commons Attribution (CC BY) license (https://creativecommons.org/licenses/by/4.0/).






