A Simple Visible Recognition Method for Copper Ions Using Dibenzo[b,j][1,10]Phenanthroline Scaffold as a Colorimetric Sensor
Abstract
1. Introduction
2. Materials and Methods
2.1. Chemicals
2.2. Apparatus
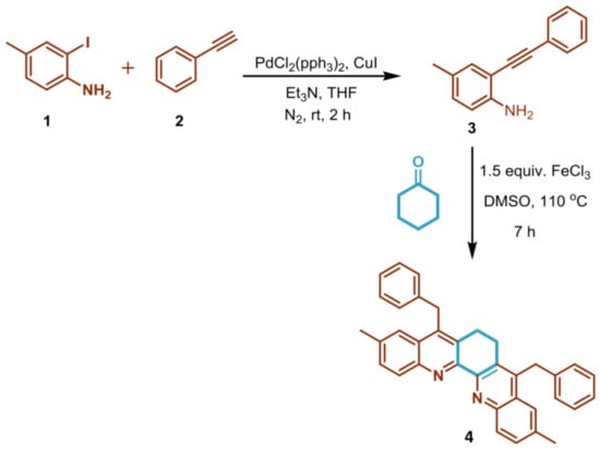
2.3. Preparation of DBPhen
2.4. Assessing of Quantum Yield
2.5. Measurement of Fluorescence and UV-VIS Spectra
2.6. Determination of Limit of Detection
3. Results and Discussion
3.1. Preparation and Characteristics of DBPhen
3.2. Optical Properties of DBPhen
3.3. Selectivity of DBPhen toward Metal Ions
3.4. Sensitivity of DBPhen to Copper Ions
3.5. Reversibility of DBPhen Origin by Adding CN−
3.6. Recognition of Cu2+ in Real Water Samples
3.7. Possible Sensing Mechanism
4. Conclusions
Supplementary Materials
Author Contributions
Funding
Institutional Review Board Statement
Informed Consent Statement
Data Availability Statement
Acknowledgments
Conflicts of Interest
References
- Rasheed, T.; Bilal, M.; Nabeel, F.; Iqbal, H.M.N.; Li, C.; Zhou, Y. Fluorescent sensor based models for the detection of environmentally-related toxic heavy metals. Sci. Total Environ. 2018, 615, 476–485. [Google Scholar] [CrossRef] [PubMed]
- Liu, S.; Wang, Y.M.; Han, J. Fluorescent chemosensors for copper(II) ion: Structure, mechanism and application. J. Photochem. Photobiol. C Photochem. Rev. 2017, 32, 78–103. [Google Scholar] [CrossRef]
- Tapiero, H.; Townsend, D.M.; Tew, K.D. Trace elements in human physiology and pathology. Copper. Biomed. Pharmacother. 2003, 57, 386–398. [Google Scholar] [CrossRef]
- Chen, Z.E.; Zang, X.F.; Yang, M.; Zhang, H. A simple indolo[2,3-a]carbazole based colorimetric chemosensor for simultaneous detection of Cu2+ and Fe3+ ions. Spectrochim. Acta Part A Mol. Biomol. Spectrosc. 2020, 234, 118236. [Google Scholar] [CrossRef]
- DiDonato, M.; Sarkar, B. Copper transport and its alterations in Menkes and Wilson diseases. Biochim. Biophys. Acta Mol. Basis Dis. 1997, 1360, 3–16. [Google Scholar] [CrossRef]
- Gaggelli, E.; Kozlowski, H.; Valensin, D.; Valensin, G. Copper homeostasis and neurodegenerative disorders (Alzheimer’s, prion, and Parkinson’s diseases and amyotrophic lateral sclerosis). Chem. Rev. 2006, 106, 1995–2044. [Google Scholar] [CrossRef]
- Dusek, P.; Roos, P.M.; Litwin, T.; Schneider, S.A.; Flaten, T.P.; Aaseth, J. The neurotoxicity of iron, copper and manganese in Parkinson’s and Wilson’s diseases. J. Trace Elem. Med. Biol. 2015, 31, 193–203. [Google Scholar] [CrossRef]
- Şahan, S.; Şahin, U. Determination of copper(II) using atomic absorption spectrometry and eriochrome blue black R loaded Amberlite XAD-1180 resin. Clean Soil Air Water 2010, 38, 485–491. [Google Scholar] [CrossRef]
- Saleem, M.; Lee, K.H. Selective fluorescence detection of Cu2+ in aqueous solution and living cells. J. Lumin. 2014, 145, 843–848. [Google Scholar] [CrossRef]
- Ganjali, M.R.; Hajiagha Babaei, L.; Badiei, A.; Mohammadi Ziarani, G.; Tarlani, A. Novel Method for the Fast Preconcentration and Monitoring of a ppt Level of Lead and Copper with a Modified Hexagonal Mesoporous Silica Compound and Inductively Coupled Plasma Atomic Emission Spectrometry. Anal. Sci. 2004, 20, 725–729. [Google Scholar] [CrossRef]
- Ergül, S. Qualitative Analysis of Cu2+, Co2+, and Ni2+ Cations Using Thin-Layer Chromatography. J. Chromatogr. Sci. 2004, 42, 121–124. [Google Scholar] [CrossRef] [PubMed][Green Version]
- Huang, G.G.; Yang, J. Selective detection of copper ions in aqueous solution based on an evanescent wave infrared absorption spectroscopic method. Anal. Chem. 2003, 75, 2262–2269. [Google Scholar] [CrossRef] [PubMed]
- Wang, Y.; Su, Z.; Wang, L.; Dong, J.; Xue, J.; Yu, J.; Wang, Y.; Hua, X.; Wang, M.; Zhang, C.; et al. SERS Assay for Copper(II) Ions Based on Dual Hot-Spot Model Coupling with MarR Protein: New Cu2+-Specific Biorecognition Element. Anal. Chem. 2017, 89, 6392–6398. [Google Scholar] [CrossRef]
- Xi, W.; Gong, Y.; Mei, B.; Zhang, X.; Zhang, Y.; Chen, B.; Wu, J.; Tian, Y.; Zhou, H. Schiff base derivatives based on diaminomaleonitrile: Colorimetric and fluorescent recognition of Cu(II), cell imaging application, polymorph-dependent fluorescence and aggregation-enhanced emission. Sens. Actuators B Chem. 2014, 205, 158–167. [Google Scholar] [CrossRef]
- An, R.; Zhang, D.; Chen, Y.; Cui, Y. zhi A “turn-on” fluorescent and colorimetric sensor for selective detection of Cu2+ in aqueous media and living cells. Sens. Actuators B Chem. 2016, 222, 48–54. [Google Scholar] [CrossRef]
- Xiong, J.J.; Huang, P.C.; Zhang, C.Y.; Wu, F.Y. Colorimetric detection of Cu2+ in aqueous solution and on the test kit by 4-aminoantipyrine derivatives. Sens. Actuators B Chem. 2016, 226, 30–36. [Google Scholar] [CrossRef]
- Mohammadi, A.; Yaghoubi, S. Development of a highly selective and colorimetric probe for simultaneous detection of Cu2+ and CN− based on an azo chromophore. Sens. Actuators B Chem. 2017, 251, 264–271. [Google Scholar] [CrossRef]
- Ye, B.H.; Tong, M.L.; Chen, X.M. Metal-organic molecular architectures with 2,2′-bipyridyl-like and carboxylate ligands. Coord. Chem. Rev. 2005, 249, 545–565. [Google Scholar] [CrossRef]
- Chelucci, G.; Thummel, R.P. Chiral 2,2′-bipyridines, 1,10-phenanthrolines, and 2,2′:6′,2″-terpyridines: Syntheses and applications in asymmetric homogeneous catalysis. Chem. Rev. 2002, 102, 3129–3170. [Google Scholar] [CrossRef]
- Sammes, P.G.; Yahioglu, G. 1-10-Phenanthroline: A Versatile Ligand. Chem. Soc. Rev. 1994, 23, 327–334. [Google Scholar] [CrossRef]
- Bencini, A.; Lippolis, V. 1,10-Phenanthroline: A versatile building block for the construction of ligands for various purposes. Coord. Chem. Rev. 2010, 254, 2096–2180. [Google Scholar] [CrossRef]
- Alreja, P.; Kaur, N. Recent advances in 1,10-phenanthroline ligands for chemosensing of cations and anions. RSC Adv. 2016, 6, 23169–23217. [Google Scholar] [CrossRef]
- Zheng, J.R.; Ren, N.; Zhang, J.J.; Zhang, D.H.; Yan, L.Z.; Li, Y. Crystal structures and luminescent and thermal properties of lanthanide complexes with 3,5-diisopropylsalicylic acid and 1,10-phenanthroline. J. Chem. Eng. Data 2012, 57, 2503–2512. [Google Scholar] [CrossRef]
- Correa-Ascencio, M.; Galván-Miranda, E.K.; Rascón-Cruz, F.; Jiménez-Sandoval, O.; Jiménez-Sandoval, S.J.; Cea-Olivares, R.; Jancik, V.; Toscano, R.A.; García-Montalvo, V. Lanthanide(III) complexes with 4,5-Bis(diphenylphosphinoyl)-1,2,3- triazolate and the use of 1,10-phenanthroline as auxiliary ligand. Inorg. Chem. 2010, 49, 4109–4116. [Google Scholar] [CrossRef]
- Satheeshkumar, R.; Edatt, L.; Muthusankar, A.; Sameer Kumar, V.B.; Rajendra Prasad, K.J. Synthesis of Novel Quin[1,2-b]Acridines: In Vitro Cytotoxicity and Molecular Docking Studies. Polycycl. Aromat. Compd. 2019, 1–15. [Google Scholar] [CrossRef]
- Luo, S.P.; Chen, N.Y.; Sun, Y.Y.; Xia, L.M.; Wu, Z.C.; Junge, H.; Beller, M.; Wu, Q.A. Heteroleptic copper(I) photosensitizers of dibenzo[b,j]-1,10-phenanthroline derivatives driven hydrogen generation from water reduction. Dyes Pigment. 2016, 134, 580–585. [Google Scholar] [CrossRef]
- Choi, A.W.T.; Poon, C.S.; Liu, H.W.; Cheng, H.K.; Lo, K.K.W. Rhenium(i) polypyridine complexes functionalized with a diaminoaromatic moiety as phosphorescent sensors for nitric oxide. New J. Chem. 2013, 37, 1711–1719. [Google Scholar] [CrossRef]
- Dhandabani, G.K.; Mutra, M.R.; Wang, J.J. FeCl3-Promoted ring size-dictating diversity-oriented synthesis (DOS) of N-heterocycles using: In situ -generated cyclic imines and enamines. Chem. Commun. 2019, 55, 7542–7545. [Google Scholar] [CrossRef]
- Tian, M.; Liu, Y.; Wang, Y.; Zhang, Y. Yellow-emitting carbon dots for selective detecting 4-NP in aqueous media and living biological imaging. Spectrochim. Acta Part A Mol. Biomol. Spectrosc. 2019, 220, 117117. [Google Scholar] [CrossRef]
- Ramya, S.; Nataraj, D.; Krishnan, S.; Premkumar, S.; Thrupthika, T.; Sangeetha, A.; Senthilkumar, K.; Thangadurai, T.D. Aggregation induced emission behavior in oleylamine acetone system and its application to get improved photocurrent from In2S3 quantum dots. Sci. Rep. 2020, 10, 19712. [Google Scholar] [CrossRef]
- Kagatikar, S.; Sunil, D.; Kekuda, D.; Kulkarni, S.D.; Abdul Salam, A.A. New salicylaldehyde azine esters: Structural, aggregation induced fluorescence, electrochemical and theoretical studies. J. Mol. Liq. 2020, 318, 114029. [Google Scholar] [CrossRef]
- Jia, W.; Yang, P.; Li, J.; Yin, Z.; Kong, L.; Lu, H.; Ge, Z.; Wu, Y.; Hao, X.; Yang, J. Synthesis and characterization of a novel cyanostilbene derivative and its initiated polymers: Aggregation-induced emission enhancement behaviors and light-emitting diode applications. Polym. Chem. 2014, 5, 2282–2292. [Google Scholar] [CrossRef]
- Tammiku, J.; Burk, P.; Tuulmets, A. UV-VIS spectrum of the 1,10-phenanthroline- ethylmagnesium bromide complex. An experimental and computational study. Main Gr. Met. Chem. 2000, 23, 301–305. [Google Scholar] [CrossRef]
- Kumar, V.; Baker, G.A.; Pandey, S.; Baker, S.N.; Pandey, S. Contrasting behavior of classical salts versus ionic liquids toward aqueous phase J-aggregate dissociation of a cyanine dye. Langmuir 2011, 27, 12884–12890. [Google Scholar] [CrossRef] [PubMed]
- Dineshkumar, S.; Muthusamy, A. Investigation of aggregation induced emission in 4-hydroxy-3- methoxybenzaldehyde azine and polyazine towards application in (opto) electronics: Synthesis, characterization, photophysical and electrical properties. Des. Monomers Polym. 2017, 20, 234–249. [Google Scholar] [CrossRef]
- Shekari, Z.; Younesi, H.; Heydari, A.; Tajbakhsh, M.; Chaichi, M.J.; Shahbazi, A.; Saberi, D. Fluorescence chemosensory determination of Cu2+ using a new rhodamine-Morpholine conjugate. Chemosensors 2017, 5, 26. [Google Scholar] [CrossRef]
- Xu, X.; Daniel, W.L.; Wei, W.; Mirkin, C.A. Colorimetric Cu2+ detection using DNA-modified gold-nanoparticle aggregates as probes and click chemistry. Small 2010, 6, 623–626. [Google Scholar] [CrossRef]
- Yadav, N.; Singh, A.K. Dicarbohydrazide based chemosensors for copper and cyanide ions: Via a displacement approach. New J. Chem. 2018, 42, 6023–6033. [Google Scholar] [CrossRef]
- Ni, Y.; Lin, D.; Kokot, S. Synchronous fluorescence, UV-visible spectrophotometric, and voltammetric studies of the competitive interaction of bis(1,10-phenanthroline)copper(II) complex and neutral red with DNA. Anal. Biochem. 2006, 352, 231–242. [Google Scholar] [CrossRef]
- Bhalla, V.; Singh, H.; Kumar, M. Triphenylene based copper ensemble for the detection of cyanide ions. Dalton Trans. 2012, 41, 11413–11418. [Google Scholar] [CrossRef]









| No. | Compound | Method | Linear Range (µM) | LOD (µM) | Ref. |
|---|---|---|---|---|---|
| 1 | Indolo[2,3-a]carbazole | Colorimetry | 0–20 | 0.293 | [4] |
| 2 | Rhodamine B semicarbazide | Fluorometry | 2–38 | 0.16 | [9] |
| 3 | Dicyanoisophorone | Fluorometry/Colorimetry | 0.5–10 | 0.20 | [15] |
| 4 | 4-aminoantipyrine derivative | Colorimetry | 0–8.5 | 0.214 | [16] |
| 5 | Rhodamine-B carbonyl-morpholine | Fluorometry | 1–55 | 0.21 | [36] |
| 6 | DNA-modified Au NPs | Colorimetry | 20–100 | 20.0 | [37] |
| 7 | DBPhen | Colorimetry | 10–100 | 0.14 | This work |
| Samples | Added (μM) | Found (µM) | Recovery Rate (%) | RSD (%) |
|---|---|---|---|---|
| Groundwater | 10 | 10.60 | 105.97 | 2.18 |
| 20 | 20.71 | 103.53 | 3.49 | |
| 50 | 47.51 | 95.02 | 3.72 | |
| Lake water | 94.61 | 9.46 | 94.61 | 2.63 |
| 93.89 | 18.78 | 93.89 | 3.49 | |
| 91.05 | 45.53 | 91.05 | 3.79 |
Publisher’s Note: MDPI stays neutral with regard to jurisdictional claims in published maps and institutional affiliations. |
© 2020 by the authors. Licensee MDPI, Basel, Switzerland. This article is an open access article distributed under the terms and conditions of the Creative Commons Attribution (CC BY) license (http://creativecommons.org/licenses/by/4.0/).
Share and Cite
Zulfajri, M.; Dhandabani, G.K.; Chen, H.-F.; Wang, J.-J.; Huang, G.G. A Simple Visible Recognition Method for Copper Ions Using Dibenzo[b,j][1,10]Phenanthroline Scaffold as a Colorimetric Sensor. Chemosensors 2021, 9, 7. https://doi.org/10.3390/chemosensors9010007
Zulfajri M, Dhandabani GK, Chen H-F, Wang J-J, Huang GG. A Simple Visible Recognition Method for Copper Ions Using Dibenzo[b,j][1,10]Phenanthroline Scaffold as a Colorimetric Sensor. Chemosensors. 2021; 9(1):7. https://doi.org/10.3390/chemosensors9010007
Chicago/Turabian StyleZulfajri, Muhammad, Ganesh Kumar Dhandabani, Hui-Fen Chen, Jeh-Jeng Wang, and Genin Gary Huang. 2021. "A Simple Visible Recognition Method for Copper Ions Using Dibenzo[b,j][1,10]Phenanthroline Scaffold as a Colorimetric Sensor" Chemosensors 9, no. 1: 7. https://doi.org/10.3390/chemosensors9010007
APA StyleZulfajri, M., Dhandabani, G. K., Chen, H.-F., Wang, J.-J., & Huang, G. G. (2021). A Simple Visible Recognition Method for Copper Ions Using Dibenzo[b,j][1,10]Phenanthroline Scaffold as a Colorimetric Sensor. Chemosensors, 9(1), 7. https://doi.org/10.3390/chemosensors9010007

