Voltammetric Fingerprinting and Chemometrics: A Rapid and Robust Platform for Ground Clove Bud Authentication and Adulteration Detection
Abstract
1. Introduction
2. Materials and Methods
2.1. Reagents
2.2. Sample Preparation
2.3. Instrumentation
2.4. Analytical Procedure
2.5. Statistical Analysis
3. Results and Discussion
3.1. Characterization of the MWCNTs
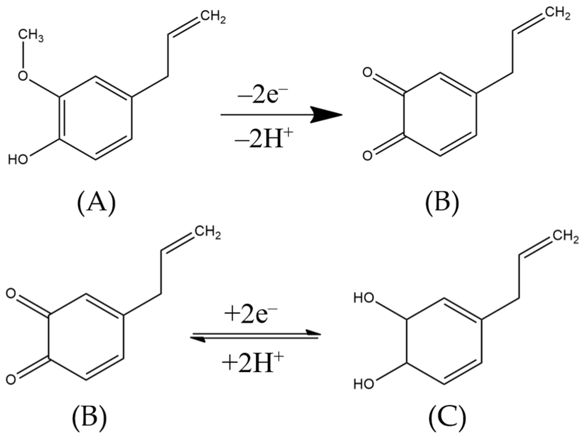
3.2. The Voltammetric Fingerprint of Clove Bud
3.3. Multivariate Analysis of Voltammetric Data
3.3.1. Clove Bud Geographical Origin Authentication
3.3.2. Discrimination of Clove Buds from Adulterants
3.3.3. Clove Bud Adulteration with Clove Stem and Soil
4. Conclusions
Supplementary Materials
Author Contributions
Funding
Institutional Review Board Statement
Informed Consent Statement
Data Availability Statement
Conflicts of Interest
References
- Indonesia Cloves (Whole Fruit, Cloves and Stems) Exports by Country. 2023. Available online: https://wits.worldbank.org/trade/comtrade/en/country/IDN/year/2023/tradeflow/Exports/partner/ALL/product/090700 (accessed on 24 October 2025).
- Velázquez, R.; Rodríguez, A.; Hernández, A.; Casquete, R.; Benito, M.J.; Martín, A. Spice and Herb Frauds: Types, Incidence, and Detection: The State of the Art. Foods 2023, 12, 3373. [Google Scholar] [CrossRef]
- Khan, M.K.; Hassan, S.; Imran, M.; Ahmad, M.H. Extraction of Bioactive Compounds from Clove (Syzygium aromaticum); Academic Press: San Diego, CA, USA, 2022; pp. 405–417. [Google Scholar] [CrossRef]
- Ayoola, G.A.; Lawore, F.M.; Adelowotan, T.; Aibinu, I.E.; Adenipekun, E.; Coker, H.A.B.; Odugbemi, T.O. Chemical Analysis and Antimicrobial Activity of the Essential Oil of Syzigium aromaticum (Clove). Afr. J. Microbiol. Res. 2008, 2, 162–166. [Google Scholar]
- El-Maati, M.F.A.; Mahgoub, S.A.; Labib, S.M.; Al-Gaby, A.M.A.; Ramadan, M.F. Phenolic Extracts of Clove (Syzygium aromaticum) with Novel Antioxidant and Antibacterial Activities. Eur. J. Integr. Med. 2016, 8, 494–504. [Google Scholar] [CrossRef]
- Wang, Y.F.; Jia, J.X.; Tian, Y.Q.; Shu, X.; Ren, X.J.; Guan, Y.; Yan, Z.Y. Antifungal Effects of Clove Oil Microcapsule on Meat Products. LWT 2018, 89, 604–609. [Google Scholar] [CrossRef]
- Kiki, M.J. In Vitro Antiviral Potential, Antioxidant, and Chemical Composition of Clove (Syzygium aromaticum) Essential Oil. Molecules 2023, 28, 2421. [Google Scholar] [CrossRef]
- Abadi, A.V.M.; Karimi, E.; Oskoueian, E.; Mohammad, G.R.K.S.; Shafaei, N. Chemical Investigation and Screening of Anti-Cancer Potential of Syzygium aromaticum L. Bud (Clove) Essential Oil Nanoemulsion. 3 Biotech 2022, 12, 49. [Google Scholar] [CrossRef]
- Afrendi, E.; Prastya, M.E.; Astuti, R.I.; Wahyuni, W.T.; Batubara, I. Bioactivity of the Ethanol Extract of Clove (Syzygium aromaticum) as Antitoxin. Int. J. Food Sci. 2023, 2023, 3245210. [Google Scholar] [CrossRef] [PubMed]
- Han, X.; Parker, T.L. Anti-Inflammatory Activity of Clove (Eugenia caryophyllata) Essential Oil in Human Dermal Fibroblasts. Pharm. Biol. 2017, 55, 1619–1622. [Google Scholar] [CrossRef]
- Kumar Pandey, V.; Shams, R.; Singh, R.; Dar, A.H.; Pandiselvam, R.; Rusu, A.V.; Trif, M. A Comprehensive Review on Clove (Caryophyllus aromaticus L.) Essential Oil and Its Significance in the Formulation of Edible Coatings for Potential Food Applications. Front. Nutr. 2022, 9, 987674. [Google Scholar] [CrossRef] [PubMed]
- Kusuma, R.M.; Wiyatiningsih, S. Quantitative Analysis of Eugenol Content in Clove Oil (Eugenia caryophyllus) Extracted from Flower, Stem, and Leaf Using GC-MS Instrument. Nusant. Sci. Technol. Proc. 2025, 2025, 42–50. [Google Scholar] [CrossRef]
- Pages-Rebull, J.; Pérez-Ràfols, C.; Serrano, N.; del Valle, M.; Díaz-Cruz, J.M. Classification and Authentication of Spices and Aromatic Herbs by Means of HPLC-UV and Chemometrics. Food Biosci. 2023, 52, 102401. [Google Scholar] [CrossRef]
- Vargas Jentzsch, P.; Gualpa, F.; Ramos, L.A.; Ciobotă, V. Adulteration of Clove Essential Oil: Detection Using a Handheld Raman Spectrometer. Flavour Fragr. J. 2018, 33, 184–190. [Google Scholar] [CrossRef]
- Tarhan, İ.; Bakır, M.R.; Kalkan, O.; Yöntem, M.; Kara, H. Rapid Determination of Adulteration of Clove Essential Oil with Benzyl Alcohol and Ethyl Acetate: Towards Quality Control Analysis by FTIR with Chemometrics. Vib. Spectrosc. 2022, 118, 103339. [Google Scholar] [CrossRef]
- Selim, D.A.; Darwish, R.S.; Shawky, E. Authentication and Detection of Common Adulterants in Clove Buds (Syzygium aromaticum L.) Powders and Oils Using near IR Combined to Multivariate Analysis. Microchem. J. 2023, 191, 108890. [Google Scholar] [CrossRef]
- Guntarti, A.; Nurani, L.H.; Lestari, P.; Edityaningrum, C.A.; Irham, L.M.; Rohman, A. Authentication of clove leaf oil in products (Syzygium aromaticum (L.) merr. & lm perry) using GC-MS and FTIR methods combined with chemometric. Malays. J. Anal. Sci. 2024, 28, 664–680. [Google Scholar]
- Graboski, A.M.; Feltes, G.; Zakrzevski, C.A.; Shimizu, F.M.; Steffens, J.; Paroul, N.; Steffens, C. Adulteration of Clove Essential Oil: Detection Using an Electronic Nose with Polymeric Gas Sensors. Food Anal. Methods 2023, 17, 296–308. [Google Scholar] [CrossRef]
- Irannejad, N.; Rezaei, B. Electrochemical Sensors for Food Adulterants. In Biosensing and Micro-Nano Devices; Springer Nature: Singapore, 2022; pp. 69–90. ISBN 9789811683336. [Google Scholar]
- Oliveira, T.M.B.F.; Morais, S. New Generation of Electrochemical Sensors Based on Multi-Walled Carbon Nanotubes. Appl. Sci. 2018, 8, 1925. [Google Scholar] [CrossRef]
- Golikand, A.N.; Asgari, M.; Maragheh, M.G.; Lohrasbi, E. Carbon Nanotube-Modified Glassy Carbon Electrode for Anodic Stripping Voltammetric Detection of Uranyle. J. Appl. Electrochem. 2009, 39, 65–70. [Google Scholar] [CrossRef]
- Xu, Z.; Chen, X.; Qu, X.; Dong, S. Electrocatalytic Oxidation of Catechol at Multi-Walled Carbon Nanotubes Modified Electrode. Electroanalysis 2004, 16, 684–687. [Google Scholar] [CrossRef]
- Dalmasso, P.R.; Pedano, M.L.; Rivas, G.A. Electrochemical Determination of Cu(II) Using a Glassy Carbon Electrode Modified with Multiwall Carbon Nanotubes Dispersed in Polyhistidine. Electroanalysis 2015, 27, 2164–2170. [Google Scholar] [CrossRef]
- Hwang, S.; Choi, H.; Jeon, M.; Vedala, H.; Kim, T.; Choi, W. ?Fabrication and Electrochemical Characterization of Multi-Walled Carbon Nanotube Electrode for Application to Nano-Electrochemical Sensing. J. Korean Phys. Soc. 2010, 56, 677–681. [Google Scholar] [CrossRef]
- Guo, Y.; Yan, W.; Lou, X.; Xiao, D.; Zhai, P.; Zhao, G.; Zhang, W.; Huang, P.; Wang, Z.; Liu, J. Multiwall Carbon Nanotubes-Modified Glassy Carbon Electrode for Square-Wave Stripping Voltammetric Determination of Aqueous Antimony (III) Ion. Adv. Mater. Res. 2012, 518–523, 1571–1575. [Google Scholar] [CrossRef]
- Zhang, W.; Liu, T.; Zheng, X.; Huang, W.; Wan, C. Surface-Enhanced Oxidation and Detection of Sunset Yellow and Tartrazine Using Multi-Walled Carbon Nanotubes Film-Modified Electrode. Colloids Surf. B Biointerfaces 2009, 74, 28–31. [Google Scholar] [CrossRef] [PubMed]
- Patil, R.H.; Hegde, R.N.; Nandibewoor, S.T. Electro-Oxidation and Determination of Antihistamine Drug, Cetirizine Dihydrochloride at Glassy Carbon Electrode Modified with Multi-Walled Carbon Nanotubes. Colloids Surf. B Biointerfaces 2011, 83, 133–138. [Google Scholar] [CrossRef]
- Wu, Y. Determination of 1-Hydroxypyrene in Human Urine by a Multi-Wall Carbon Nanotubes-Modified Glassy Carbon Electrode. Int. J. Environ. Anal. Chem. 2011, 91, 1244–1255. [Google Scholar] [CrossRef]
- Nikolaou, P.; Deskoulidis, E.; Topoglidis, E.; Kakoulidou, A.T.; Tsopelas, F. Application of Chemometrics for Detection and Modeling of Adulteration of Fresh Cow Milk with Reconstituted Skim Milk Powder Using Voltammetric Fingerpriting on a Graphite/SiO2 Hybrid Electrode. Talanta 2020, 206, 120223. [Google Scholar] [CrossRef]
- Demiati; Wahyuni, W.T.; Rafi, M.; Putra, B.R. The Detection of Goat Milk Adulteration with Cow Milk Using a Combination of Voltammetric Fingerprints and Chemometrics Analysis. Chem. Pap. 2023, 77, 4307–4317. [Google Scholar] [CrossRef]
- Nikma, S.H.; Rafi, M.; Putra, B.R.; Wahyuni, W.T. Voltammetric Fingerprint Using Hydroxyl-Functionalized Multiwalled Carbon Nanotubes Modified Electrode Combined with Chemometrics Analysis for Detection of Cow Milk Adulteration with Coconut Milk and Corn Starch. Discov. Food 2025, 5, 58. [Google Scholar] [CrossRef]
- Liveri, M.; Tsantili-Kakoulidou, A.; Tsopelas, F. Identification of White Wine Adulteration with Apple Juice and Apple Cider Using Cyclic Voltammetry on a Screen-Printed Electrode Aided by Chemometric Analysis. J. Food Compos. Anal. 2024, 136, 106751. [Google Scholar] [CrossRef]
- Ristivojević, P.; Trifković, J.; Stanković, D.M.; Radoičić, A.; Manojlović, D.; Milojković-Opsenica, D. Cyclic Voltammetry and UV/Vis Spectroscopy in Combination with Multivariate Data Analysis for the Assessment of Authenticity of Poplar Type Propolis. J. Apic. Res. 2017, 56, 559–568. [Google Scholar] [CrossRef]
- Mutz, Y.S.; do Rosario, D.; Silva, L.R.G.; Galvan, D.; Stefano, J.S.; Janegitz, B.C.; Weitz, D.A.; Bernardes, P.C.; Conte-Junior, C.A. Lab-Made 3D Printed Electrochemical Sensors Coupled with Chemometrics for Brazilian Coffee Authentication. Food Chem. 2023, 403, 134411. [Google Scholar] [CrossRef]
- Tsopelas, F.; Konstantopoulos, D.; Kakoulidou, A.T. Voltammetric Fingerprinting of Oils and Its Combination with Chemometrics for the Detection of Extra Virgin Olive Oil Adulteration. Anal. Chim. Acta 2018, 1015, 8–19. [Google Scholar] [CrossRef] [PubMed]
- Wójcik, S.; Jakubowska, M. Deep Neural Networks in Profiling of Apple Juice Adulteration Based on Voltammetric Signal of the Iridium Quadruple-Disk Electrode. Chemom. Intell. Lab. Syst. 2021, 209, 104246. [Google Scholar] [CrossRef]
- Ray, P.; Reddy, S.S.; Banerjee, T. Various Dimension Reduction Techniques for High Dimensional Data Analysis: A Review. Artif. Intell. Rev. 2021, 54, 3473–3515. [Google Scholar] [CrossRef]
- Xiong, Q.; Xiong, H.; Kong, Q.; Ni, X.; Li, Y.; Yuan, C. Machine Learning-Driven Seismic Failure Mode Identification of Reinforced Concrete Shear Walls Based on PCA Feature Extraction. Structures 2022, 44, 1429–1442. [Google Scholar] [CrossRef]
- Ivosev, G.; Burton, L.; Bonner, R. Dimensionality Reduction and Visualization in Principal Component Analysis. Anal. Chem. 2008, 80, 4933–4944. [Google Scholar] [CrossRef]
- Gewers, F.L.; Ferreira, G.R.; De Arruda, H.F.; Silva, F.N.; Comin, C.H.; Amancio, D.R.; Costa, L.D.F. Principal Component Analysis: A Natural Approach to Data Exploration. ACM Comput. Surv. 2022, 54, 1–34. [Google Scholar] [CrossRef]
- Lasalvia, M.; Capozzi, V.; Perna, G. A Comparison of PCA-LDA and PLS-DA Techniques for Classification of Vibrational Spectra. Appl. Sci. 2022, 12, 5345. [Google Scholar] [CrossRef]
- Piao, Y.; Tondare, V.N.; Davis, C.S.; Gorham, J.M.; Petersen, E.J.; Gilman, J.W.; Scott, K.; Vladár, A.E.; Hight Walker, A.R. Comparative Study of Multiwall Carbon Nanotube Nanocomposites by Raman, SEM, and XPS Measurement Techniques. Compos. Sci. Technol. 2021, 208, 108753. [Google Scholar] [CrossRef]
- Ezgin, H.; Ajjaq, A.; Acar, S. Tunable Dielectric and Charge Transport in Functionalized MWCNT/SiC Schottky Diodes for Smart Electronics. ACS Appl. Eng. Mater. 2025, 3, 3095–3110. [Google Scholar] [CrossRef]
- Lehman, J.H.; Terrones, M.; Mansfield, E.; Hurst, K.E.; Meunier, V. Evaluating the Characteristics of Multiwall Carbon Nanotubes. Carbon 2011, 49, 2581–2602. [Google Scholar] [CrossRef]
- Datsyuk, V.; Kalyva, M.; Papagelis, K.; Parthenios, J.; Tasis, D.; Siokou, A.; Kallitsis, I.; Galiotis, C. Chemical Oxidation of Multiwalled Carbon Nanotubes. Carbon 2008, 46, 833–840. [Google Scholar] [CrossRef]
- Sivkov, D.V.; Petrova, O.V.; Nekipelov, S.V.; Vinogradov, A.S.; Skandakov, R.N.; Bakina, K.A.; Isaenko, S.I.; Ob’edkov, A.M.; Kaverin, B.S.; Vilkov, I.V.; et al. Quantitative Characterization of Oxygen-Containing Groups on the Surface of Carbon Materials: XPS and NEXAFS Study. Appl. Sci. 2022, 12, 7744. [Google Scholar] [CrossRef]
- Ziyatdinova, G.; Ziganshina, E.; Budnikov, H. Voltammetric Sensing and Quantification of Eugenol Using Nonionic Surfactant Self-Organized Media. Anal. Methods 2013, 5, 4750–4756. [Google Scholar] [CrossRef]
- Głowacz, K.; Wawrzyniak, U.E.; Ciosek-Skibińska, P. Comparison of Various Data Analysis Techniques Applied for the Classification of Oligopeptides and Amino Acids by Voltammetric Electronic Tongue. Sens. Actuators B Chem. 2021, 331, 129354. [Google Scholar] [CrossRef]
- Skeika, T.; De Faria, M.F.; Nagata, N.; Pessoa, C.A. Simultaneous Voltammetric Determination of Dypirone and Paracetamol with Carbon Paste Electrode and Multivariate Calibration Methodology. J. Braz. Chem. Soc. 2008, 19, 762–768. [Google Scholar] [CrossRef][Green Version]
- Bueno, L.; de Araujo, W.R.; Salles, M.O.; Kussuda, M.Y.; Paixão, T.R.L.C. Voltammetric Electronic Tongue for Discrimination of Milk Adulterated with Urea, Formaldehyde and Melamine. Chemosensors 2014, 2, 251–266. [Google Scholar] [CrossRef]
- Dayananda, B.; Owen, S.; Kolobaric, A.; Chapman, J.; Cozzolino, D. Pre-Processing Applied to Instrumental Data in Analytical Chemistry: A Brief Review of the Methods and Examples. Crit. Rev. Anal. Chem. 2024, 54, 2745–2753. [Google Scholar] [CrossRef]
- Li, J. Assessing Spatial Predictive Models in the Environmental Sciences: Accuracy Measures, Data Variation and Variance Explained. Environ. Model. Softw. 2016, 80, 1–8. [Google Scholar] [CrossRef]
- Tharwat, A. Principal Component Analysis—A Tutorial. Int. J. Appl. Pattern Recognit. 2016, 3, 197. [Google Scholar] [CrossRef]
- Shamshiri, N.; Fattahi, R.; Mani-Varnosfaderani, A.; Barzegar, M.; Sahari, M.A. Geographical Authentication of Saffron by Chemometrics Applied to the Ion Mobility Spectrometry Data. Food Chem. X 2024, 22, 101455. [Google Scholar] [CrossRef] [PubMed]










| X Total Variance | Y Total Variance | |||
|---|---|---|---|---|
| Calibration | Validation | Calibration | Validation | |
| Factor-1 | 77.10 | 73.55 | 24.19 | 12.60 |
| Factor-2 | 89.22 | 84.96 | 86.03 | 81.22 |
| Factor-3 | 98.22 | 96.79 | 91.46 | 87.68 |
| Factor-4 | 98.84 | 97.88 | 92.78 | 78.32 |
| Factor-5 | 99.05 | 98.34 | 95.72 | 74.00 |
| Factor-6 | 99.51 | 98.64 | 96.82 | 77.87 |
| Factor-7 | 99.75 | 99.28 | 97.90 | 81.75 |
| PLSR | Slope | Offset | Correlation | R2 | RMSE | Bias | |
|---|---|---|---|---|---|---|---|
| Clove bud adulteration with clove stem | |||||||
| Before pre-processing | C * | 0.944 | 0.0244 | 0.971 | 0.944 | 0.0734 | 1∙10−4 |
| V * | 0.937 | 0.0270 | 0.963 | 0.929 | 0.0830 | 1.215∙10−4 | |
| After pre-processing | C * | 0.963 | 0.0158 | 0.982 | 0.963 | 0.0591 | 1∙10−4 |
| V * | 0.9504 | 0.0145 | 0.962 | 0.925 | 0.0849 | 6.947∙10−3 | |
| Clove bud adulteration with soil | |||||||
| Before pre-processing | C * | 0.966 | 0.0146 | 0.983 | 0.966 | 0.0568 | 1∙10−4 |
| V * | 0.954 | 0.0240 | 0.977 | 0.956 | 0.0664 | 3.855∙10−3 | |
| After pre-processing | C * | 0.976 | 0.0104 | 0.988 | 0.976 | 0.0479 | 1∙10−4 |
| V * | 0.971 | 0.0134 | 0.982 | 0.965 | 0.0582 | 7.669∙10−4 | |
Disclaimer/Publisher’s Note: The statements, opinions and data contained in all publications are solely those of the individual author(s) and contributor(s) and not of MDPI and/or the editor(s). MDPI and/or the editor(s) disclaim responsibility for any injury to people or property resulting from any ideas, methods, instructions or products referred to in the content. |
© 2026 by the authors. Licensee MDPI, Basel, Switzerland. This article is an open access article distributed under the terms and conditions of the Creative Commons Attribution (CC BY) license.
Share and Cite
Nikma, S.H.; Putra, B.R.; Rafi, M.; Rohaeti, E.; Khalil, M.; Wahyuni, W.T. Voltammetric Fingerprinting and Chemometrics: A Rapid and Robust Platform for Ground Clove Bud Authentication and Adulteration Detection. Chemosensors 2026, 14, 80. https://doi.org/10.3390/chemosensors14040080
Nikma SH, Putra BR, Rafi M, Rohaeti E, Khalil M, Wahyuni WT. Voltammetric Fingerprinting and Chemometrics: A Rapid and Robust Platform for Ground Clove Bud Authentication and Adulteration Detection. Chemosensors. 2026; 14(4):80. https://doi.org/10.3390/chemosensors14040080
Chicago/Turabian StyleNikma, Shelly Hafira, Budi Riza Putra, Mohamad Rafi, Eti Rohaeti, Munawar Khalil, and Wulan Tri Wahyuni. 2026. "Voltammetric Fingerprinting and Chemometrics: A Rapid and Robust Platform for Ground Clove Bud Authentication and Adulteration Detection" Chemosensors 14, no. 4: 80. https://doi.org/10.3390/chemosensors14040080
APA StyleNikma, S. H., Putra, B. R., Rafi, M., Rohaeti, E., Khalil, M., & Wahyuni, W. T. (2026). Voltammetric Fingerprinting and Chemometrics: A Rapid and Robust Platform for Ground Clove Bud Authentication and Adulteration Detection. Chemosensors, 14(4), 80. https://doi.org/10.3390/chemosensors14040080

