Impedimetric Detection of Free Fatty Acids in Patient Serum Using Commercially Available Screen-Printed Carbon Electrode
Abstract
1. Introduction
2. Materials and Methods
2.1. Patients
2.2. Electrochemical Measurement
2.3. Free FA Measurement
2.4. Statistical Analysis
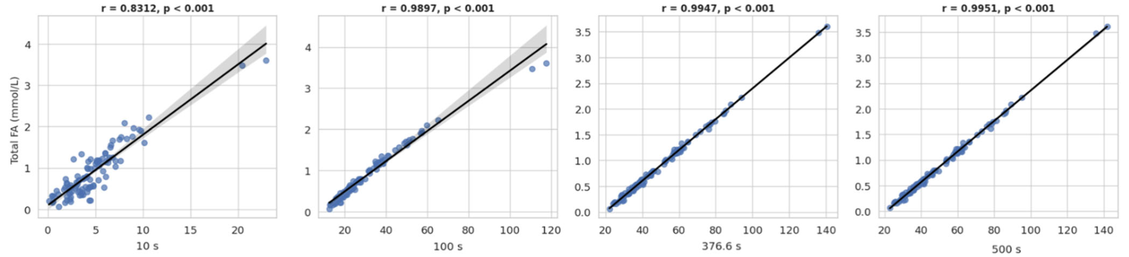
3. Results
4. Discussion
Limitations and Future Perspectives
5. Conclusions
Supplementary Materials
Author Contributions
Funding
Data Availability Statement
Acknowledgments
Conflicts of Interest
References
- Miedema, M.D.; Maziarz, M.; Biggs, M.L.; Zieman, S.J.; Kizer, J.R.; Ix, J.H.; Mozaffarian, D.; Tracy, R.P.; Psaty, B.M.; Siscovick, D.S.; et al. Plasma-free fatty acids, fatty acid-binding protein 4, and mortality in older adults (from the Cardiovascular Health Study). Am. J. Cardiol. 2014, 114, 843–848. [Google Scholar] [CrossRef]
- Johnston, L.W.; Harris, S.B.; Retnakaran, R.; Giacca, A.; Liu, Z.; Bazinet, R.P.; Hanley, A.J. Association of NEFA composition with insulin sensitivity and beta cell function in the Prospective Metabolism and Islet Cell Evaluation (PROMISE) cohort. Diabetologia 2018, 61, 821–830. [Google Scholar] [CrossRef]
- Zhang, M.H.; Cao, Y.X.; Wu, L.G.; Guo, N.; Hou, B.J.; Sun, L.J.; Guo, Y.L.; Wu, N.Q.; Dong, Q.; Li, J.J. Association of plasma free fatty acids levels with the presence and severity of coronary and carotid atherosclerotic plaque in patients with type 2 diabetes mellitus. BMC Endocr. Disord. 2020, 20, 156. [Google Scholar] [CrossRef] [PubMed]
- Yu, Y.; Jin, C.; Zhao, C.; Zhu, S.; Meng, S.; Ma, H.; Wang, J.; Xiang, M. Serum Free Fatty Acids Independently Predict Adverse Outcomes in Acute Heart Failure Patients. Front. Cardiovasc. Med. 2021, 8, 761537. [Google Scholar] [CrossRef] [PubMed]
- Kan, Y.; Wang, H.; Lu, J.; Lin, Z.; Lin, J.; Gong, P. Significance of plasma free fatty acid level for assessing and diagnosing acute myocardial infarction. Biomark. Med. 2020, 14, 739–747. [Google Scholar] [CrossRef]
- Li, F.; Ye, J.; Sun, Y.; Lin, Y.; Wu, T.; Shao, C.; Ma, Q.; Liao, X.; Feng, S.; Zhong, B. Distinct Dose-Dependent Association of Free Fatty Acids with Diabetes Development in Nonalcoholic Fatty Liver Disease Patients. Diabetes Metab. J. 2021, 45, 417–429. [Google Scholar] [CrossRef]
- Glaesser, D.; Iwig, M. Increased molar ratio of free fatty acids to albumin in blood as cause and early biomarker for the development of cataracts and Alzheimer’s disease. Exp. Eye Res. 2024, 243, 109888. [Google Scholar] [CrossRef] [PubMed]
- Giaretta, J.; Oveissi, F.; Naficy, S.; Farajikhah, S.; Dehghani, F. Thread-Based Bienzymatic Biosensor for Linoleic Acid Detection. ACS Omega 2024, 9, 43184–43192. [Google Scholar] [CrossRef]
- Yavarinasab, A.; Flibotte, S.; Liu, S.; Tropini, C. An impedance-based chemiresistor for the real-time, simultaneous detection of gut microbiota-generated short-chain fatty acids. Sens. Actuators B Chem. 2023, 393, 134182. [Google Scholar] [CrossRef]
- Uygun, Z.O.; Duman, S.; Oran, I. Impedimetric Detection of Albumin-Bound Fatty Acids Using Graphene Oxide Electrode. Chemosensors 2021, 9, 240. [Google Scholar] [CrossRef]
- Buchanan, C.D.C.; Lust, C.A.C.; Burns, J.L.; Hillyer, L.M.; Martin, S.A.; Wittert, G.A.; Ma, D.W.L. Analysis of major fatty acids from matched plasma and serum samples reveals highly comparable absolute and relative levels. Prostaglandins Leukot. Essent. Fatty Acids 2021, 168, 102268. [Google Scholar] [CrossRef] [PubMed]
- Cruz-Hernandez, C.; Thakkar, S.K.; Masserey-Elmelegy, I.; Buosi, W.; Fontannaz, P.; Giuffrida, F. Quantification of fatty acids in erythrocytes and plasma by fast gas chromatography. J. Sep. Sci. 2017, 40, 3289–3300. [Google Scholar] [CrossRef] [PubMed]
- Ren, J.; Mozurkewich, E.L.; Sen, A.; Vahratian, A.M.; Ferreri, T.G.; Morse, A.N.; Djuric, Z. Total Serum Fatty Acid Analysis by GC-MS: Assay Validation and Serum Sample Stability. Curr. Pharm. Anal. 2013, 9, 331–339. [Google Scholar] [CrossRef]
- Steiger, J.H. Comparing correlations: Pattern hypothesis tests between and/or within independent samples. In Contemporary Psychometrics: A Festschrift for Roderick P. McDonald; Lawrence Erlbaum Associates, Inc.: Mahwah, NJ, USA, 2005; pp. 377–414. [Google Scholar]
- Song, Y.; Zhou, L.; Jensen, M.D. Errors in measuring plasma free fatty acid concentrations with a popular enzymatic colorimetric kit. Clin. Biochem. 2019, 66, 83–90. [Google Scholar] [CrossRef] [PubMed]
- Sode, K.; Tamiya, E.; Karube, I.; Kameda, Y. Sensor for free fatty acids based on acyl coenzyme-A synthetase and acyl coenzyme-A oxidase. Anal. Chim. Acta 1989, 220, 251–255. [Google Scholar] [CrossRef]
- Kang, J.; Hussain, A.T.; Catt, M.; Trenell, M.; Haggett, B.; Yu, E.H. Electrochemical detection of non-esterified fatty acid by layer-by-layer assembled enzyme electrodes. Sens. Actuators B Chem. 2014, 190, 535–541. [Google Scholar] [CrossRef]
- Şahin, S.; Merotra, J.; Kang, J.; Trenell, M.; Catt, M.; Yu, E.H. Simultaneous electrochemical detection of glucose and non-esterified fatty acids (NEFAs) for diabetes management. IEEE Sens. J. 2018, 18, 9075–9080. [Google Scholar] [CrossRef]
- Burgos-Flórez, F.; Rodríguez, A.; Cervera, E.; Zucolotto, V.; Sanjuán, M.; Villalba, P.J. TBISTAT: An open-source, wireless portable, electrochemical impedance spectroscopy capable potentiostat for the point-of-care detection of S100B in plasma samples. PLoS ONE 2022, 17, e0263738. [Google Scholar] [CrossRef]
- Medina, S.; Benítez, J.J.; Castro, M.A.; Cerrillos, C.; Millán, C.; Alba, M.D. Monolayer arrangement of fatty hydroxystearic acids on graphite: Influence of hydroxyl groups. Thin Solid. Films 2013, 539, 194–200. [Google Scholar] [CrossRef]
- Wu, S.H.; Pendleton, P. Adsorption of anionic surfactant by activated carbon: Effect of surface chemistry, ionic strength, and hydrophobicity. J. Colloid Interface Sci. 2001, 243, 306–315. [Google Scholar] [CrossRef]
- Yang, T.; Berber, S.; Liu, J.-F.; Miller, G.P.; Tománek, D. Self-assembly of long chain alkanes and their derivatives on graphite. J. Chem. Phys. 2008, 128, 124709. [Google Scholar] [CrossRef] [PubMed]
- Chen, R.F. Removal of fatty acids from serum albumin by charcoal treatment. J. Biol. Chem. 1967, 242, 173–181. [Google Scholar] [CrossRef] [PubMed]
- Muñoz, J.; Montes, R.; Baeza, M. Trends in electrochemical impedance spectroscopy involving nanocomposite transducers: Characterization, architecture surface and bio-sensing. TrAC Trends Anal. Chem. 2017, 97, 201–215. [Google Scholar] [CrossRef]
- Świetlow, A.; Skoog, M.; Johansson, G. Double-layer capacitance measurements of self-assembled layers on gold electrodes. Electroanalysis 1992, 4, 921–928. [Google Scholar] [CrossRef]
- Chung, B.H.; Tallis, G.A.; Cho, B.; Segrest, J.P.; Henkin, Y. Lipolysis-induced partitioning of free fatty acids to lipoproteins: Effect on the biological properties of free fatty acids. J. Lipid Res. 1995, 36, 1956–1970. [Google Scholar] [CrossRef]
- Lagrost, L.; Florentin, E.; Guyard-Dangremont, V.; Athias, A.; Gandjini, H.; Lallemant, C.; Gambert, P. Evidence for nonesterified fatty acids as modulators of neutral lipid transfers in normolipidemic human plasma. Arterioscler. Thromb. Vasc. Biol. 1995, 15, 1388–1396. [Google Scholar] [CrossRef]
- Petitpas, I.; Grüne, T.; Bhattacharya, A.A.; Curry, S. Crystal structures of human serum albumin complexed with monounsaturated and polyunsaturated fatty acids. J. Mol. Biol. 2001, 314, 955–960. [Google Scholar] [CrossRef]
- Richieri, G.V.; Anel, A.; Kleinfeld, A.M. Interactions of long-chain fatty acids and albumin: Determination of free fatty acid levels using the fluorescent probe ADIFAB. Biochemistry 1993, 32, 7574–7580. [Google Scholar] [CrossRef]




Disclaimer/Publisher’s Note: The statements, opinions and data contained in all publications are solely those of the individual author(s) and contributor(s) and not of MDPI and/or the editor(s). MDPI and/or the editor(s) disclaim responsibility for any injury to people or property resulting from any ideas, methods, instructions or products referred to in the content. |
© 2026 by the authors. Licensee MDPI, Basel, Switzerland. This article is an open access article distributed under the terms and conditions of the Creative Commons Attribution (CC BY) license.
Share and Cite
Oran, İ.; Özdemir, H.İ.; Kılıç, T.Y.; Uygun, H.D.E.; Uzun, H.G.; Kılıçaslan, B.; Şimşek, E.; Altuncı, Y.A.; Mıdık, Ş.; Ergin, A.M. Impedimetric Detection of Free Fatty Acids in Patient Serum Using Commercially Available Screen-Printed Carbon Electrode. Chemosensors 2026, 14, 53. https://doi.org/10.3390/chemosensors14030053
Oran İ, Özdemir Hİ, Kılıç TY, Uygun HDE, Uzun HG, Kılıçaslan B, Şimşek E, Altuncı YA, Mıdık Ş, Ergin AM. Impedimetric Detection of Free Fatty Acids in Patient Serum Using Commercially Available Screen-Printed Carbon Electrode. Chemosensors. 2026; 14(3):53. https://doi.org/10.3390/chemosensors14030053
Chicago/Turabian StyleOran, İsmail, Halil İbrahim Özdemir, Turgay Yılmaz Kılıç, Hilmiye Deniz Ertuğrul Uygun, Hakan Gökalp Uzun, Barış Kılıçaslan, Evrim Şimşek, Yusuf Ali Altuncı, Şadiye Mıdık, and Ali Murat Ergin. 2026. "Impedimetric Detection of Free Fatty Acids in Patient Serum Using Commercially Available Screen-Printed Carbon Electrode" Chemosensors 14, no. 3: 53. https://doi.org/10.3390/chemosensors14030053
APA StyleOran, İ., Özdemir, H. İ., Kılıç, T. Y., Uygun, H. D. E., Uzun, H. G., Kılıçaslan, B., Şimşek, E., Altuncı, Y. A., Mıdık, Ş., & Ergin, A. M. (2026). Impedimetric Detection of Free Fatty Acids in Patient Serum Using Commercially Available Screen-Printed Carbon Electrode. Chemosensors, 14(3), 53. https://doi.org/10.3390/chemosensors14030053

