Bimetallic MOF-Derived NiO/In2O3 Heterojunctions for NO2 Sensing
Abstract
1. Introduction
2. Experiment
2.1. Materials
2.2. Synthesis of Ni MOF and Ni/In MOF
2.3. Synthesis of NiO and NiO/In2O3 NPs Derived from MOF Precursors
2.4. Gas Sensor Fabrication and Test
2.5. Materials Characterization
3. Results and Discussion
3.1. Structure and Morphology
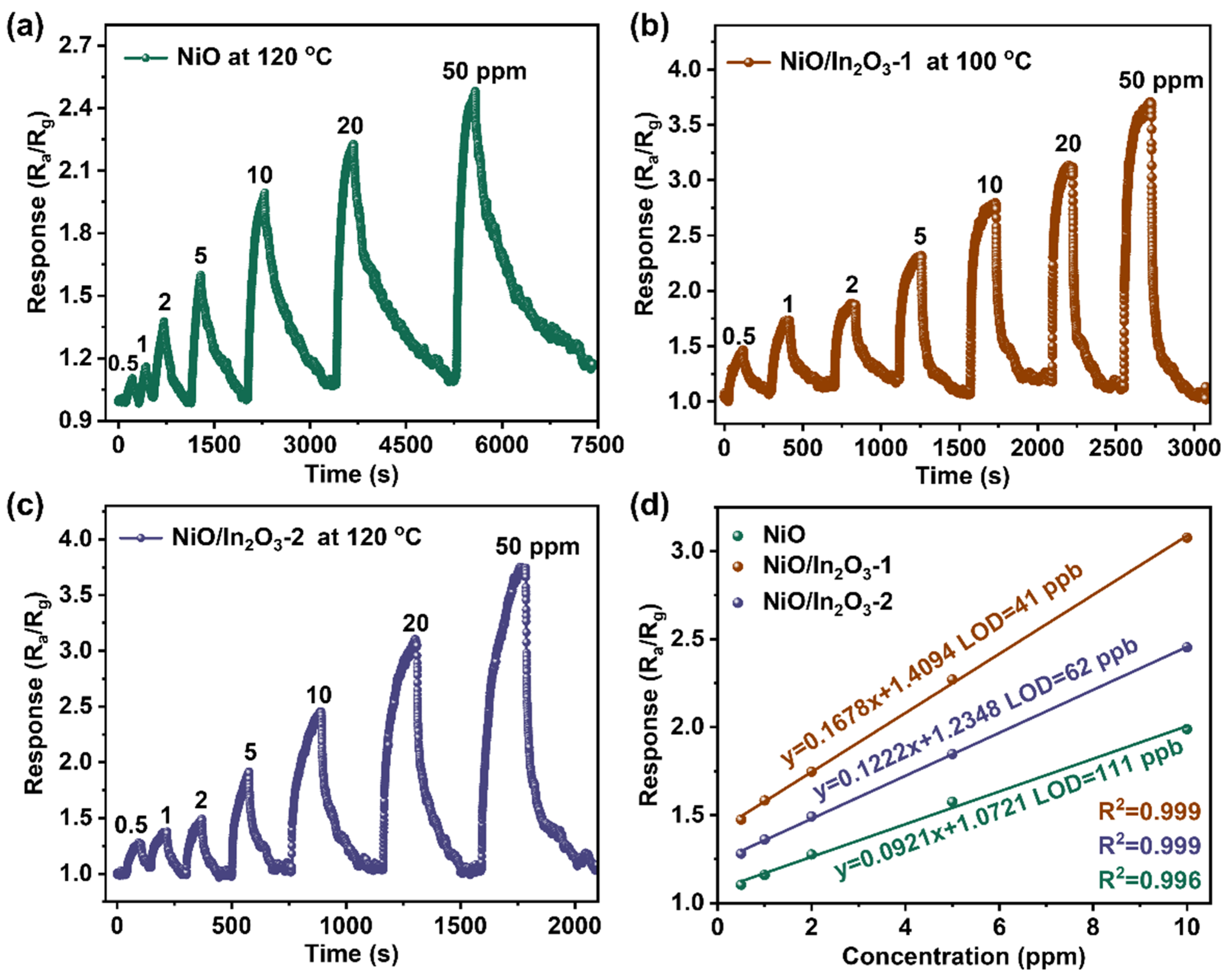
3.2. Gas Sensing Performances
3.3. Gas Sensing Mechanism
4. Conclusions
Supplementary Materials
Author Contributions
Funding
Institutional Review Board Statement
Informed Consent Statement
Data Availability Statement
Conflicts of Interest
References
- Lu, G.-C.; Liu, X.-H.; Zheng, W.; Xie, J.-Y.; Li, Z.-S.; Lou, C.-M.; Lei, G.-L.; Zhang, J. UV-activated single-layer WSe2 for highly sensitive NO2 detection. Rare Met. 2022, 41, 1520–1528. [Google Scholar] [CrossRef]
- Gasso, S.; Sohal, M.K.; Mahajan, A. MXene modulated SnO2 gas sensor for ultra-responsive room-temperature detection of NO2. Sens. Actuators B 2022, 357, 131427. [Google Scholar] [CrossRef]
- Zhang, J.; Liu, X.H.; Neri, G.; Pinna, N. Nanostructured Materials for Room-Temperature Gas Sensors. Adv. Mater. 2016, 28, 795–831. [Google Scholar] [CrossRef]
- Zhu, J.Q.; Chen, L.C.; Ni, W.Z.; Cheng, W.W.; Yang, Z.; Xu, S.S.; Wang, T.; Zhang, B.W.; Xuan, F.Z. NiO/ZnO Nanocomposites for Multimodal Intelligent MEMS Gas Sensors. ACS Sens. 2025, 10, 2531–2541. [Google Scholar] [CrossRef] [PubMed]
- Guo, Y.J.; Qu, J.Y.; Zhang, Z.K.; Liu, Z.Y.; Yue, C.; Chen, Q.Y.; Yang, Z.G.; Mu, Y.; Wang, X.N.; Dastan, D.; et al. Outstandingly selective n-butanol gas sensor based on ZnS/NiO lychee-shaped nanospheres. Sens. Actuators B 2025, 433, 137573. [Google Scholar] [CrossRef]
- Zhu, H.M.; Yuan, Z.Y.; Ji, H.Y.; Liu, Y.; Zhang, R.Z.; Mu, Z.Z.; Shen, Y.B.; Gao, H.L.; Meng, F.L. Electronic structure analysis of NiO quantum dot-modified jackfruit-shaped ZnO sensors and sensing properties investigation of their highly sensitive and selective for butyl acetate. J. Colloid Interface Sci. 2023, 650, 466–479. [Google Scholar] [CrossRef] [PubMed]
- Liu, Z.; Zhang, C.Z.; Liu, H.; Feng, L.G. Efficient synergism of NiSe2 nanoparticle/NiO nanosheet for energy-relevant water and urea electrocatalysis. Appl. Catal. B-Environ. 2020, 276, 119165. [Google Scholar] [CrossRef]
- Saha, P.; Nath, N.C.D.; Islam, M.M.; Aziz, M.A.; Ahammad, A.J.S. Recent progress of high-energy density supercapacitors based on nanostructured nickel oxides. Electrochim. Acta 2024, 504, 144982. [Google Scholar] [CrossRef]
- Fu, J.C.; Zhao, C.H.; Zhang, J.L.; Peng, Y.; Xie, E.Q. Enhanced Gas Sensing Performance of Electrospun Pt-Functionalized NiO Nanotubes with Chemical and Electronic Sensitization. ACS Appl. Mater. Interfaces 2013, 5, 7410–7416. [Google Scholar] [CrossRef]
- Dey, A. Semiconductor metal oxide gas sensors: A review. Mater. Sci. Eng. B 2018, 229, 206–217. [Google Scholar] [CrossRef]
- Sun, Y.J.; Zhao, Z.T.; Suematsu, K.; Zhang, W.L.; Zhang, W.D.; Zhuiykov, S.; Shimanoe, K.; Hu, J. MOF-derived Au-NiO/In2O3 for selective and fast detection of toluene at ppb-level in high humid environments. Sens. Actuators B 2022, 360, 131223. [Google Scholar] [CrossRef]
- Furukawa, H.; Ko, N.; Go, Y.B.; Aratani, N.; Choi, S.B.; Choi, E.; Yazaydin, A.; Snurr, R.Q.; O’Keeffe, M.; Kim, J.; et al. Ultrahigh Porosity in Metal-Organic Frameworks. Science 2010, 329, 424–428. [Google Scholar] [CrossRef]
- Wang, S.L.; Xu, M.; Peng, T.Y.; Zhang, C.X.; Li, T.; Hussain, I.; Wang, J.Y.; Tan, B.E. Porous hypercrosslinked polymer-TiO2-graphene composite photocatalysts for visible-light-driven CO2 conversion. Nat. Commun. 2019, 10, 676. [Google Scholar] [CrossRef]
- Stassen, I.; Burtch, N.C.; Talin, A.A.; Falcaro, P.; Allendorf, M.D.; Ameloot, R. An updated roadmap for the integration of metal-organic frameworks with electronic devices and chemical sensors. Chem. Soc. Rev. 2017, 46, 3185–3241. [Google Scholar] [CrossRef]
- Wang, D.; Qin, R.-J.; Yu, J.-J.; Hu, J.-W.; Zhang, W.-H.; Xu, H.; Xu, J.-C.; Liao, Q.-B.; Li, H.-J.; Wang, X.-H. Bilayer cascade of WO3 nanofibers/Ag@CeO2 nanosheets for ppb-level xylene detection under the catalysis-gas sensitivity synergistic mechanism. Rare Met. 2025, 44, 4868–4880. [Google Scholar] [CrossRef]
- Sun, Y.; Zhao, Z.; Suematsu, K.; Li, P.; Zhang, W.; Hu, J. Moisture-resisting acetone sensor based on MOF-derived ZnO-NiO nanocomposites. Mater. Res. Bull. 2022, 146, 111607. [Google Scholar] [CrossRef]
- Hassan, M.; Liang, Z.; Liu, S.; Hussain, S.; Qiao, G.; Liu, G. Temperature-driven n- to p-type transition of a chemiresistive NiO/CdS-CdO NO2 gas sensor. Sens. Actuators B 2024, 398, 134755. [Google Scholar] [CrossRef]
- Xu, H.; Zhong, H.; Hu, J.; Rong, X.; Zhang, W.; Wang, Y.; Li, S.; Li, G.; Wang, D. Facile engineering of metal-organic framework derived SnO2@NiO core-shell nanocomposites based gas sensor toward superior VOCs sensing performance. Chem. Eng. J. 2024, 501, 157692. [Google Scholar] [CrossRef]
- Li, Q.Y.; Zhang, P.; Ning, T.G.; Sun, Y.S.; Ren, Q.Q.; Xu, M.Z.; Zhao, X.Y.; Luo, X.L.; Zhai, C.X.; Yan, J.F.; et al. Gas Sensor Based on Flower-like NiO Modified with WO3 Nanoparticles for NO2 Detection. ACS Appl. Nano Mater. 2024, 7, 7856–7864. [Google Scholar] [CrossRef]
- Arbia, M.B.; Comini, E. Growth Processing and Strategies: A Way to Improve the Gas Sensing Performance of Nickel Oxide-Based Devices. Chemosensors 2024, 12, 45. [Google Scholar] [CrossRef]
- Meng, W.W.; Tian, M.; Dai, L.; Wang, L.; Liu, Y.G.; Zhou, H.Z.; He, Z.X.; Li, Y.H. Impedimetric-type NO2 sensor based on the p-NiO/n-NiNb2O6 heterojunction sensing electrode. Sens. Actuators B 2022, 371, 132604. [Google Scholar] [CrossRef]
- Li, Q.; Wang, Q.; Li, Y.; Zhang, X.; Huang, Y. 2D bimetallic Ni/Fe MOF nanosheet composites as a peroxidase-like nanozyme for colorimetric assay of multiple targets. Anal. Methods 2021, 13, 2066–2074. [Google Scholar] [CrossRef]
- Rui, K.; Zhao, G.; Chen, Y.; Lin, Y.; Zhou, Q.; Chen, J.; Zhu, J.; Sun, W.; Huang, W.; Dou, S.X. Hybrid 2D dual-metal–organic frameworks for enhanced water oxidation catalysis. Adv. Funct. Mater. 2018, 28, 1801554. [Google Scholar] [CrossRef]
- Zhao, S.; Wang, Y.; Dong, J.; He, C.-T.; Yin, H.; An, P.; Zhao, K.; Zhang, X.; Gao, C.; Zhang, L.; et al. Ultrathin metal–organic framework nanosheets for electrocatalytic oxygen evolution. Nat. Energy 2016, 1, 16184. [Google Scholar] [CrossRef]
- Głowniak, S.; Szczęśniak, B.; Choma, J.; Jaroniec, M. Recent Developments in Sonochemical Synthesis of Nanoporous Materials. Molecules 2023, 28, 2639. [Google Scholar] [CrossRef] [PubMed]
- Son, D.H.; Hughes, S.M.; Yin, Y.; Alivisatos, A.P. Cation Exchange Reactions in Ionic Nanocrystals. Science 2004, 306, 1009–1012. [Google Scholar] [CrossRef]
- Lei, G.; Li, Z.; Lu, G.; Hu, J.; Shang, H.; Zhang, X.; Liu, X.; Zhang, J.; Guo, X. Tungsten oxide thin films for highly sensitive triethylamine detection. J. Mater. 2022, 8, 408–416. [Google Scholar] [CrossRef]
- Chen, G.-L.; Jiang, H.-Y.; Jiang, Y.; Deng, Z.-P.; Xu, Y.-M.; Huo, L.-H.; Gao, S. Temperature-tuned dual-selective NO2/diisopropylamine sensor based on (NH4)0.33WO3 doped γ-WO3 nanosheets-assembled hollow microspheres via simple pyrolysis of commercial ammonium metatungstate. Chem. Eng. J. 2025, 512, 162684. [Google Scholar] [CrossRef]
- Gao, R.; Wang, S.; Xu, Y.; Zhang, X.; Gao, J.; Zheng, M.; Zhou, X.; Huo, L. Dual-defect enhanced NO2 sensing performance at low power consumption of ZnO-ZnTe core-shell nanorods via one-step controllable assembly. J. Alloys Compd. 2025, 1029, 180794. [Google Scholar] [CrossRef]
- Zhao, N.; Chang, X.; Liu, X.; Li, J.; Zheng, W.; Zhang, J. Probing the Structural Dynamics of In2O3 Using in Situ Raman Spectroscopy: Bridging Material Dynamics and Sensor Functionality. Angew. Chem. Int. Ed. 2025, 64, e202512808. [Google Scholar] [CrossRef] [PubMed]
- Bulemo, P.M.; Cheong, J.Y. Review on Porosity Control in Nanostructured Semiconducting Metal Oxides and Its Influence on Chemiresistive Gas Sensing. ACS Appl. Nano Mater. 2023, 6, 1027–1049. [Google Scholar] [CrossRef]
- Xu, H.; Wang, Y.; Dong, X.; Zheng, N.; Ma, H.; Zhang, X. Fabrication of In2O3/In2S3 microsphere heterostructures for efficient and stable photocatalytic nitrogen fixation. Appl. Catal. B 2019, 257, 117932. [Google Scholar] [CrossRef]
- Mironova-Ulmane, N.; Kuzmin, A.; Sildos, I.; Puust, L.; Grabis, J. Magnon and Phonon Excitations in Nanosized NiO. Latv. J. Phys. Tech. Sci. 2019, 56, 61–72. [Google Scholar] [CrossRef]
- Bala, N.; Singh, H.K.; Verma, S.; Rath, S. Magnetic-order induced effects in nanocrystalline NiO probed by Raman spectroscopy. Phys. Rev. B 2020, 102, 024423. [Google Scholar] [CrossRef]
- Xie, J.; Liu, X.; Jing, S.; Pang, C.; Liu, Q.; Zhang, J. Chemical and Electronic Modulation via Atomic Layer Deposition of NiO on Porous In2O3 Films to Boost NO2 Detection. ACS Appl. Mater. Interfaces 2021, 13, 39621–39632. [Google Scholar] [CrossRef]
- Natile, M.M.; Glisenti, A. New NiO/Co3O4 and Fe2O3/Co3O4 Nanocomposite Catalysts: Synthesis and Characterization. Chem. Mater. 2003, 15, 2502–2510. [Google Scholar] [CrossRef]
- Chen, Q.; Wang, X.; Liu, W.; Luo, T.; Jin, Z.; Zhang, Y.; Huang, J.; Zhang, H.; Wang, J.; Peng, F. Rapid photocatalytic reduction of Cr(VI) with high concentration in wastewater by In2S3-ZnIn2S4 heterostructure hierarchical microtubes under visible light. J. Solid State Chem. 2022, 306, 122721. [Google Scholar] [CrossRef]
- Li, N.; Hu, J.; Li, J.; Cheng, M.; Wei, T.; Liu, Q.; Wang, R.; Li, W.; Ling, Y.; Zhang, Y.; et al. Cu-MOF-74-derived Cu2O/CuO-C nanocomposite as an effective chemiresistive sensor for detection of NO2 at room temperature. J. Alloys Compd. 2024, 976, 173074. [Google Scholar] [CrossRef]
- Li, S.; Li, X.; Guo, J.; Liu, X.; Zhang, J. Heterostructured SnO2/CuO Hydrangea Nanocomposites for Highly Sensitive NO2 Detection. ACS Appl. Nano Mater. 2025, 8, 10549–10558. [Google Scholar] [CrossRef]
- Hu, C.; Feng, Y.; Huo, J.; Zhang, B.; Cui, H.; Wang, S.; Song, Q.; Cao, J.; Dong, X. Regulating microscopic surfaces and structures to boost n-butanol sensing performances in NiCo2O4/NiO composites. Sens. Actuators B 2025, 429, 137341. [Google Scholar] [CrossRef]
- Yu, Q.; Jin, R.; Zhao, L.; Wang, T.; Liu, F.; Yan, X.; Wang, C.; Sun, P.; Lu, G. MOF-derived mesoporous and hierarchical hollow-structured In2O3-NiO composites for enhanced triethylamine sensing. ACS Sens. 2021, 6, 3451–3461. [Google Scholar] [CrossRef]
- Yan, S.; Song, W.; Wu, D.; Jin, S.; Dong, S.; Hao, H.; Gao, W. Assembly of In2O3 nanoparticles decorated NiO nanosheets heterostructures and their enhanced gas sensing characteristics. J. Alloys Compd. 2022, 896, 162887. [Google Scholar] [CrossRef]
- Wu, K.; Debliquy, M.; Zhang, C. Room temperature gas sensors based on Ce doped TiO2 nanocrystals for highly sensitive NH3 detection. Chem. Eng. J. 2022, 444, 136449. [Google Scholar] [CrossRef]
- Zhang, S.; Zhou, L.; Hu, Y.; Liu, X.; Zhang, J. Metal-organic gel derived ZnO/α-Fe2O3 heterostructures for sensitive NO2 detection. Sens. Actuators B 2023, 396, 134524. [Google Scholar] [CrossRef]
- Zheng, W.; Lu, G.; Liu, X.; Fan, S.; Hu, Y.; Pinna, N.; Zhang, J. Mixed-dimensional heterojunction by 3D CdS nanowire arrays bridged with 2D WSe2 for ultrafast photoelectric gas sensor. Matter 2025, 8, 101914. [Google Scholar] [CrossRef]
- Fan, Y.; Li, L.; Song, B.; Wu, H.; Qi, L.; Khan, M.; Wu, H.; Shi, K. Heterostructures of hollow Co3O4 nanocages wrapped in NiO cilia for conductometric NO2 sensing at room temperature. Sens. Actuators B 2024, 404, 135299. [Google Scholar] [CrossRef]
- Shan, B.H.; Guo, J.B.; Liu, X.H.; Zhang, J. Pt/Pd-functionalized NiO nanorods for low-power NO2 detection at room temperature. Sens. Actuators B 2025, 444, 138334. [Google Scholar] [CrossRef]
- Zhao, H.; Ge, W.Y.; Tian, Y.; Wang, P.T.; Li, X.; Liu, Z.F. Pr2Sn2O7/NiO heterojunction for ultra-fast and low operating temperature to NO2 gas sensing. Sens. Actuators A: Phys. 2023, 349, 114100. [Google Scholar] [CrossRef]
- Niavol, S.S.; Budde, M.; Papadogianni, A.; Heilmann, M.; Moghaddam, H.M.; Aldao, C.M.; Ligorio, G.; List-Kratochvil, E.J.W.; Lopes, J.M.J.; Barsan, N.; et al. Conduction mechanisms in epitaxial NiO/Graphene gas sensors. Sens. Actuators, B 2020, 325, 128797. [Google Scholar] [CrossRef]
- Gawali, S.R.; Patil, V.L.; Deonikar, V.G.; Patil, S.S.; Patil, D.R.; Patil, P.S.; Pant, J. Ce doped NiO nanoparticles as selective NO2 gas sensor. J. Phys. Chem. Solids 2018, 114, 28–35. [Google Scholar] [CrossRef]
- Xu, H.; Zhang, J.W.; Rehman, A.U.; Gong, L.H.; Kan, K.; Li, L.; Shi, K.Y. Synthesis of NiO@CuO nanocomposite as high-performance gas sensing material for NO2 at room temperature. Appl. Surf. Sci. 2017, 412, 230–237. [Google Scholar] [CrossRef]
- Zou, M.M.; Meng, H.; Qu, F.D.; Feng, L.; Yang, M.H. A mesoporous Ni3N/NiO composite with a core-shell structure for room temperature, selective and sensitive NO2 gas sensing. RSC Adv. 2016, 6, 42917–42922. [Google Scholar] [CrossRef]
- Ueda, T.; Sakai, M.; Kamada, K.; Hyodo, T.; Shimizu, Y. Effects of composition and structure of sensing electrode on NO2 sensing properties of mixed potential-type YSZ-based gas sensors. Sens. Actuators B 2016, 237, 247–255. [Google Scholar] [CrossRef]
- Park, S.; Kim, S.; Sun, G.J.; Lee, C. NO2 Gas Sensing Performance of Co-Doped NiO Thin Film Sensors. Nanosci. Nanotechnol. Lett. 2015, 7, 713–717. [Google Scholar] [CrossRef]
- Nalage, S.R.; Chougule, M.A.; Sen, S.; Patil, V.B. Novel method for fabrication of NiO sensor for NO2 monitoring. J. Mater. Sci. Mater. Electron. 2013, 24, 368–375. [Google Scholar] [CrossRef]
- Cui, Y.F.; Ge, W.Y.; Yang, M.H.; Dong, X.; Zhang, B.C.; Wu, C.E. Ultralow ppb-level NO2 sensing at room temperature enabled by Ag-loaded MOF-templated In2O3. Vacuum 2026, 245, 114950. [Google Scholar] [CrossRef]
- Guo, Y.J.; Zhang, Z.X.; Feng, H.S.; Dai, Q.F.; Zhao, Q.N.; Duan, Z.H.; Guo, S.H.; Yang, L.; Hou, M.; Xia, Y. Electrostatic Self-Assembly of Heterostructured In2O3/Ti3C2Tx Nanocomposite for High-Selectivity NO2 Gas Sensing at Room Temperature. Chemosensors 2025, 13, 249. [Google Scholar] [CrossRef]
- Wei, W.T.; Luo, N.; Wang, X.W.; Xue, Z.G.; Shah, L.A.; Hu, Q.M.; Xu, J.Q. Amorphous RhOx decorated black indium oxide for rapid and flexible NO2 detection at room temperature. Sens. Actuators, B 2024, 414, 135944. [Google Scholar] [CrossRef]
- Vishnuraj, R.; Unnathpadi, R.; Rangarajan, M.; Pullithadathil, B. n-n type In2O3@WO3 heterojunction nanowires: Enhanced NO2 gas sensing characteristics for environmental monitoring. Microchim. Acta 2024, 191, 645. [Google Scholar] [CrossRef] [PubMed]
- Sahoo, S.J.; Das, A.; Maji, B.; Goutam, U.K.; Dash, P. Effect of a Ni-Substituted Cu-MOF Precursor toward Efficient NO2 Gas Detection: A Comprehensive Comparative Gas-Sensing Study of MOF-Derived and Traditionally Synthesized CuO/NiO-Based Nanocomposites. ACS Appl. Electron. Mater. 2024, 6, 2349–2368. [Google Scholar] [CrossRef]
- Han, J.Y.; Kong, D.H.; Zhou, W.R.; Gao, Y.B.; Gao, Y.; Liu, G.N.; Lu, G.Y. Interface-engineering in MOF-derived In2O3 for highly sensitive and dual-functional gas sensor towards NO2 and triethylamine. Sens. Actuators, B 2023, 395, 134491. [Google Scholar] [CrossRef]
- Liu, Y.S.; Liu, X.P.; Wang, Y.B.; Wang, R.; Zhang, T. Metal-organic-framework-derived In2O3 microcolumnar structures embedded with Pt nanoparticles for NO2 detection near room temperature. Ceram. Int. 2019, 45, 9820–9828. [Google Scholar] [CrossRef]
- Park, S.; An, S.; Ko, H.; Jin, C.; Lee, C. Enhanced Gas Sensing Properties of Bi2O3-Core/In2O3-Shell Nanorod Gas Sensors. Bull. Korean Chem. Soc. 2012, 33, 3368–3372. [Google Scholar] [CrossRef]
- Raju, P.; Rambeloson, J.; Ioannou, D.E.; Motayed, A.; Li, Q.L. Noble Metal-Decorated In2O3 for NO2 Gas Sensor: An Experimental and DFT Study. Chemosensors 2025, 13, 350. [Google Scholar] [CrossRef]
- Lu, Z.J.; Tian, Y.; Hong, B.; Xu, J.C.; Peng, X.L.; Li, J.; Chen, H.W.; Qiu, S.; Zhang, N.; Wang, X.Q. Enhanced room-temperature detection of ultra-low level nitrogen dioxide: Improved sensitivity, selectivity and stability through MXene-modified In2O3 microspheres. Talanta 2025, 293, 128145. [Google Scholar] [CrossRef]
- Plashnitsa, V.V.; Ueda, T.; Elumalai, P.; Kawaguchi, T.; Miura, N. Zirconia-based planar NO2 sensor using ultrathin NiO or laminated NiO-Au sensing electrode. Ionics 2008, 14, 15–25. [Google Scholar] [CrossRef]
- Yang, Z.M.; Zhang, D.Z.; Chen, H.N. MOF-derived indium oxide hollow microtubes/MoS2 nanoparticles for NO2 gas sensing. Sens. Actuators, B 2019, 300, 127037. [Google Scholar] [CrossRef]
- Liu, X.T.; Yang, W.Y.; Wang, T.Q.; Li, F.; Yu, H.; Yang, M.; Li, D.; Yang, Y. RGO functionalized MIL-68-derived In2O3 hollow hexagonal prisms as room temperature flexible NO2 sensor. J. Environ. Chem. Eng. 2025, 13, 118498. [Google Scholar] [CrossRef]
- Wang, X.; Zhang, W.; Wang, X.; Li, X.; Sui, X.; Jiang, H.; Liu, G.; Li, B.; Sheng, Y.; Zhou, J.; et al. Heterostructure engineering of NiO foam/In2S3 film for high-performance ethylene glycol gas sensors. Sens. Actuators, B 2023, 392, 134110. [Google Scholar] [CrossRef]
- Yang, W.; Feng, L.; He, S.; Liu, L.; Liu, S. Density gradient strategy for preparation of broken In2O3 microtubes with remarkably selective detection of triethylamine vapor. ACS Appl. Mater. Interfaces 2018, 10, 27131–27140. [Google Scholar] [CrossRef]
- Bi, H.; Shen, Y.; Zhao, S.; Zhou, P.; Gao, S.; Cui, B.; Wei, D.; Zhang, Y.; Wei, K. Synthesis of NiO-In2O3 heterojunction nanospheres for highly selective and sensitive detection of ppb-level NO2. Vacuum 2020, 172, 109086. [Google Scholar] [CrossRef]






| Meterials | T (°C) | NO2 (ppm) | Response | LOD (ppb) | Res./Rec. Time (s) | Ref. |
|---|---|---|---|---|---|---|
| Co-NiO | 250 | 10 | 7.22 | - | - | [54] |
| WO3/NiO | 200 | 10 | 16.06 | 20 | 9/13 | [19] |
| Pd/Pb/NiO | RT | 10 | 19.68 | 42 | 49.6/92.4 | [47] |
| NiO-NiV | RT | 20 | 12.42 | - | - | [38] |
| Ce:NiO | 150 | - | 0.719% ppm | - | - | [50] |
| Ni3N/NiO | RT | 1 | 0.09 | 300 | - | [52] |
| NiO/Au | 600 | 80 | 49.1 mV | - | 666/- | [53] |
| NiO | 200 | 200 | 23.3% | - | 20/498 | [55] |
| Pr2Sn2O7/NiO | 180 | 250 | 27.4 | 1 | 2/38 | [48] |
| NiO/CuO | RT | 100 | 77.16% | 1 ppm | 2/- | [51] |
| NiO-SE | 700 | 400 | 19 mV | - | <10/<10 | [66] |
| NiO/Gr/SiC | 100 | 10 | 33% | - | <60/4~5 h | [49] |
| RhOX/B-In2O3 | RT | 5 | 180 | 1 ppm | 8/17 | [58] |
| In2O3/Ti3C2TX | RT | 100 | 55.9 | 0.3 ppm | 197.6/93.8 | [57] |
| Bi2O3/In2O3 | 300 | 5 | 155.5% | 1 ppm | - | [63] |
| MOF-In2O3 | 30 | 200 | 1210 | 1 | 298/18 | [61] |
| Pt/In2O3 | 40 | 1 | 44.9 | - | -/7 min | [62] |
| In2O3/MoS2 | RT | 200 | 371.9 | 8.8 | - | [67] |
| rGO/In2O3 | RT | 100 | 393 | 92.8 | 27/46 | [68] |
| CuO/NiOOM | 110 | 60 | 13.9% | 5 ppm | 18/29 | [60] |
| NiO/Co3O4 | RT | 100 | 47.4 | 10 | 1.3/9.6 | [46] |
| Ag-In2O3 | RT | 200 | 98 | 0.05 | 24/40 | [56] |
| In2O3/MXene | RT | 4 | 24.98 | 3.56 | 409/- | [65] |
| In2O3/WO3 | 200 | 0.5 | 182% | 500 | 10/57 | [59] |
| Au/In2O3 | RT | 10 | 38.9% | [64] | ||
| NiO/In2O3 | 100 | 20 | 12.5 | 41 | 23/100 | This work |
Disclaimer/Publisher’s Note: The statements, opinions and data contained in all publications are solely those of the individual author(s) and contributor(s) and not of MDPI and/or the editor(s). MDPI and/or the editor(s) disclaim responsibility for any injury to people or property resulting from any ideas, methods, instructions or products referred to in the content. |
© 2026 by the authors. Licensee MDPI, Basel, Switzerland. This article is an open access article distributed under the terms and conditions of the Creative Commons Attribution (CC BY) license.
Share and Cite
Chen, Y.; Weng, X.; Lei, G.; Jiang, H.; Zheng, W.; Zhang, J.; Liu, X. Bimetallic MOF-Derived NiO/In2O3 Heterojunctions for NO2 Sensing. Chemosensors 2026, 14, 54. https://doi.org/10.3390/chemosensors14030054
Chen Y, Weng X, Lei G, Jiang H, Zheng W, Zhang J, Liu X. Bimetallic MOF-Derived NiO/In2O3 Heterojunctions for NO2 Sensing. Chemosensors. 2026; 14(3):54. https://doi.org/10.3390/chemosensors14030054
Chicago/Turabian StyleChen, Yilin, Xiaofei Weng, Guanglu Lei, Hao Jiang, Wei Zheng, Jun Zhang, and Xianghong Liu. 2026. "Bimetallic MOF-Derived NiO/In2O3 Heterojunctions for NO2 Sensing" Chemosensors 14, no. 3: 54. https://doi.org/10.3390/chemosensors14030054
APA StyleChen, Y., Weng, X., Lei, G., Jiang, H., Zheng, W., Zhang, J., & Liu, X. (2026). Bimetallic MOF-Derived NiO/In2O3 Heterojunctions for NO2 Sensing. Chemosensors, 14(3), 54. https://doi.org/10.3390/chemosensors14030054

