A LAP-Specific Hydrolyzable Fluorescent Probe for Assessing Combined Toxicity in Pesticide Mixtures
Abstract
1. Introduction
2. Materials and Methods
2.1. Reagents and Instruments
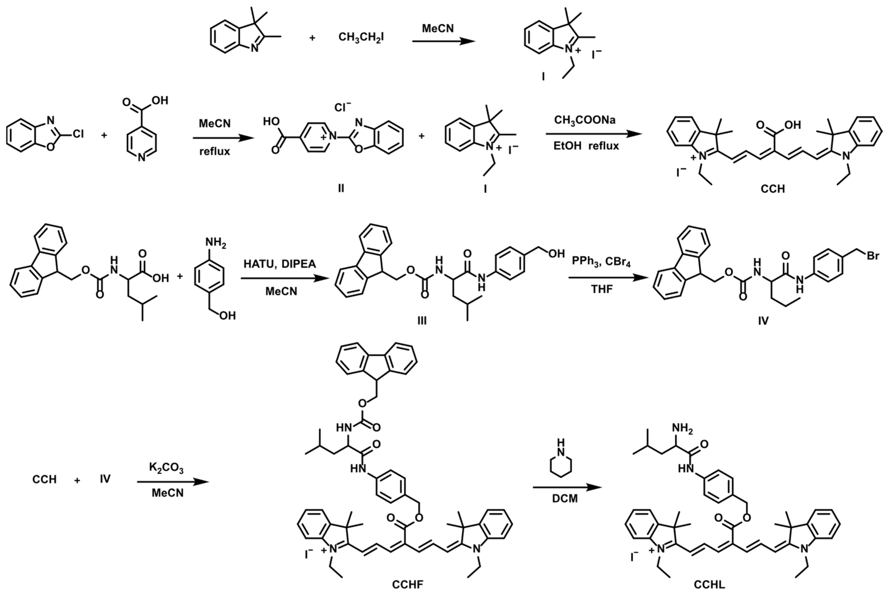
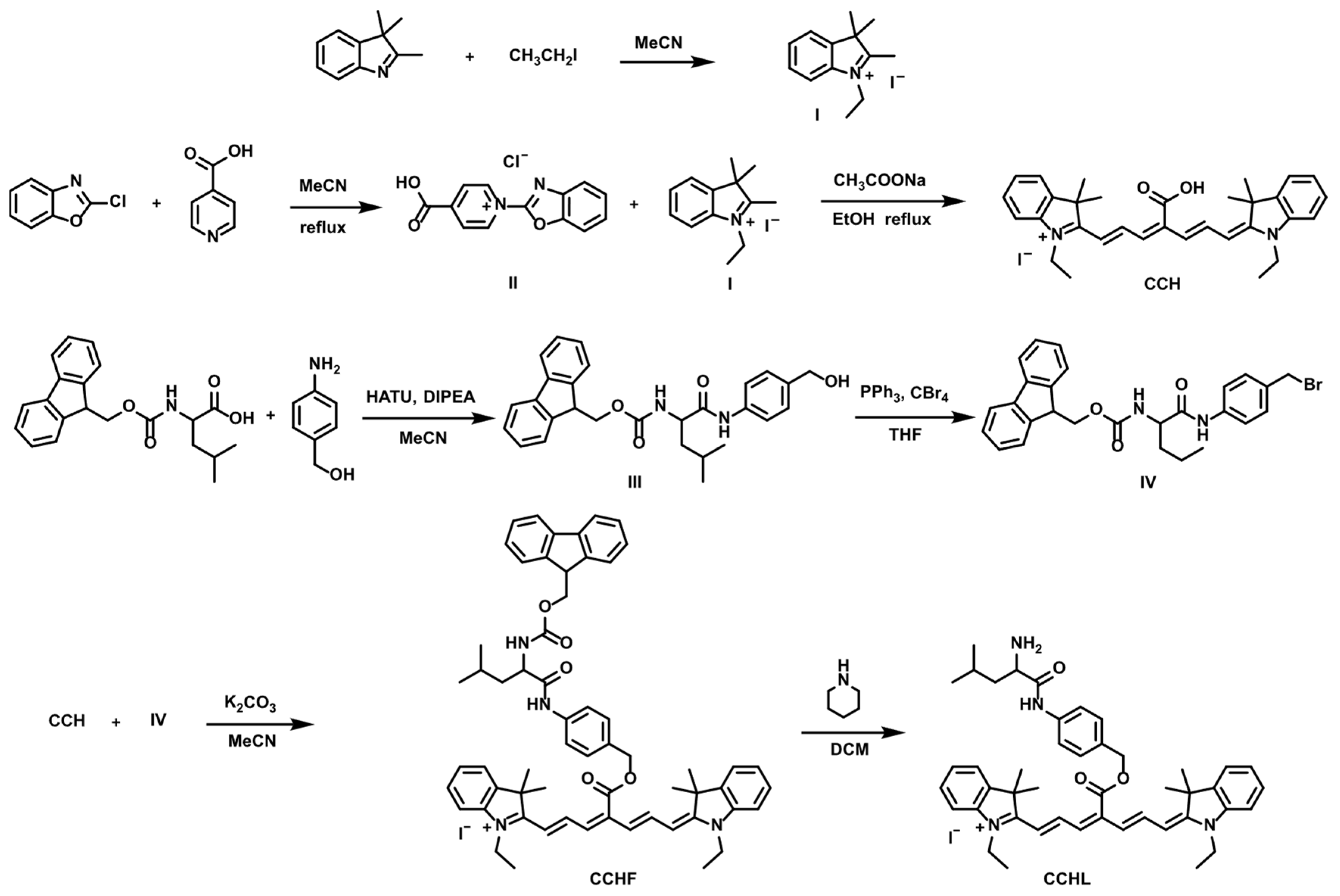
2.2. Synthesis of Novel Probe CCHL
2.2.1. Synthesis of Compound I
2.2.2. Synthesis of Compound II
2.2.3. Synthesis of CCH
2.2.4. Synthesis of Compound III
2.2.5. Synthesis of Compound IV
2.2.6. Synthesis of CCHF
2.2.7. Synthesis of Probe CCHL
2.3. Fluorescence Performance Testing of CCHL
2.4. Pesticide Detection Method
3. Results and Discussion
3.1. Spectral Characteristics of CCHL and Its Response Mechanism
3.2. Stability, Selectivity, and Kinetic Profile of CCHL
3.3. Enzyme Inhibition-Based Screening of Pesticides
3.4. Enzyme Inhibition Assay for Detecting Binary and Ternary Pesticide Combinations
4. Conclusions
Supplementary Materials
Author Contributions
Funding
Data Availability Statement
Conflicts of Interest
References
- Belden, J.B.; Brain, R.A. Incorporating the joint toxicity of co-applied pesticides into the ecological risk assessment process. Integr. Environ. Assess. Manag. 2017, 14, 79–91. [Google Scholar] [CrossRef]
- Yang, G.; Li, J.; Wang, Y.; Chen, C.; Zhao, H.; Shao, K. Quantitative ecotoxicity analysis for pesticide mixtures using benchmark dose methodology. Ecotoxicol. Environ. Saf. 2018, 159, 94–101. [Google Scholar] [CrossRef]
- Zhu, X.; Chen, L.; Liu, T.; He, S.; Zhao, X.; Tian, Y.; Fang, Y.; Cui, J. Detecting the combined toxicity of 18 binary and 24 ternary pesticide combinations to carboxylesterase based on fluorescence probe technology. J. Environ. Sci. Health Part B 2022, 57, 305–315. [Google Scholar] [CrossRef]
- Song, D.; Lei, L.; Tian, T.; Yang, X.; Wang, L.; Li, Y.; Huang, H. A novel strategy for identification of pesticides in different categories by concentration-independent model based on a nanozyme with multienzyme-like activities. Biosens. Bioelectron. 2023, 237, 115458. [Google Scholar] [CrossRef] [PubMed]
- Costa, C.; Miozzi, E.; Teodoro, M.; Fenga, C. Influence of genetic polymorphism on pesticide-induced oxidative stress. Curr. Opin. Toxicol. 2019, 13, 1–7. [Google Scholar] [CrossRef]
- Liu, T.; Li, T.; Zhang, L.; Li, H.; Liu, S.; Yang, S.; An, Q.; Pan, C.; Zou, N. Exogenous salicylic acid alleviates the accumulation of pesticides and mitigates pesticide-induced oxidative stress in cucumber plants (Cucumis sativus L.). Ecotoxicol. Environ. Saf. 2020, 208, 111654. [Google Scholar] [CrossRef]
- He, B.; Ni, Y.; Jin, Y.; Fu, Z. Pesticides-induced energy metabolic disorders. Sci. Total Environ. 2020, 729, 139033. [Google Scholar] [CrossRef] [PubMed]
- Leonel Javeres, M.N.; Habib, R.; Judith Laure, N.; Abbas Shah, S.T.; Valis, M.; Kuca, K.; Muhammad Nurulain, S. Chronic Exposure to Organophosphates Pesticides and Risk of Metabolic Disorder in Cohort from Pakistan and Cameroon. Int. J. Environ. Res. Public Health 2021, 18, 2310. [Google Scholar] [CrossRef] [PubMed]
- Liu, T.; Tian, M.; Wang, J.; Tian, X.; Liu, J.; Feng, L.; Ma, X.; Cui, J. Rational design of a fluorescent probe for the detection of LAP and its application in drug-induced liver injury. Spectrochim. Acta Part A Mol. Biomol. Spectrosc. 2021, 251, 119362. [Google Scholar] [CrossRef]
- Garg, L.N.; Yadav, S.P.; Lal, H. Serum leucine aminopeptidase in head and neck cancer. J. Laryngol. Otol. 2007, 108, 660–662. [Google Scholar] [CrossRef]
- Garg, U.C.; Ganguly, N.K.; Sharma, S.; Bhatnagar, R. New sensitive markers for the detection of experimental ascending pyelonephritis. Life Sci. 1987, 41, 51–56. [Google Scholar] [CrossRef]
- Xu, N.; Zhou, Z.; Chen, B.; Zhang, Z.; Zhang, J.; Li, Y.; Lu, T.; Sun, L.; Peijnenburg, W.; Qian, H. Effect of chlorpyrifos on freshwater microbial community and metabolic capacity of zebrafish. Ecotoxicol. Environ. Saf. 2023, 262, 115230. [Google Scholar] [CrossRef] [PubMed]
- Gangola, S.; Bhatt, P.; Kumar, A.J.; Bhandari, G.; Joshi, S.; Punetha, A.; Bhatt, K.; Rene, E.R. Biotechnological tools to elucidate the mechanism of pesticide degradation in the environment. Chemosphere 2022, 296, 133916. [Google Scholar] [CrossRef]
- Wen, Y.; Liu, W.; Zhao, K.; Zhang, T.; Gao, Z.; Zhu, G.; Wang, D.; Pan, J. Joint Toxicity of Omethoate and Chlorpyrifos Mixture on Male Reproductive Function in Rats. Asian J. Ecotoxicol. 2013, 8, 945–954. [Google Scholar]
- Wang, Y.; Wu, S.; Chen, J.; Zhang, C.; Xu, Z.; Li, G.; Cai, L.; Shen, W.; Wang, Q. Single and joint toxicity assessment of four currently used pesticides to zebrafish (Danio rerio) using traditional and molecular endpoints. Chemosphere 2018, 192, 14–23. [Google Scholar] [CrossRef]
- Wang, T.; Chen, C.; Ma, M.; Yang, X.; Li, Y.; Qian, Y. Combined Toxic Effects of Five Pesticides and Their Binary/Ternary Mixtures on Human Hepatocellular Carcinoma HepG2 Cells. Chin. J. Pestic. Sci. 2021, 23, 499–508. [Google Scholar]
- Sur, S.; Sathiavelu, M. A concise overview on pesticide detection and degradation strategies. Environ. Pollut. Bioavailab. 2022, 34, 112–126. [Google Scholar] [CrossRef]
- Kaur, N.; Khunger, A.; Wallen, S.L.; Kaushik, A.; Chaudhary, G.R.; Varma, R.S. Advanced green analytical chemistry for environmental pesticide detection. Curr. Opin. Green Sustain. Chem. 2021, 30, 100488. [Google Scholar] [CrossRef]
- Watthaisong, P.; Kamutira, P.; Kesornpun, C.; Pongsupasa, V.; Phonbuppha, J.; Tinikul, R.; Maenpuen, S.; Wongnate, T.; Nishihara, R.; Ohmiya, Y.; et al. Luciferin Synthesis and Pesticide Detection by Luminescence Enzymatic Cascades. Angew. Chem. Int. Ed. 2022, 61, e202203489. [Google Scholar] [CrossRef]
- Wang, X.; Chen, X.; Ji, R.; Wang, T.; He, Y.; Bian, H.; Wang, X.; Hu, W. Mixed pesticide recognition based on three-dimensional fluorescence spectroscopy and a convolutional neural network. Appl. Opt. 2023, 62, 9018–9027. [Google Scholar] [CrossRef] [PubMed]
- Zhou, X.; Jun, S.; Zhang, B.; Jun, W. Classification of different kinds of pesticide residues on lettuce based on fluorescence spectra and WT–BCC–SVM algorithm. Mod. Phys. Lett. B 2017, 31, 1740082. [Google Scholar] [CrossRef]
- Ji, R.; Ma, S.; Yao, H.; Han, Y.; Yang, X.; Chen, R.; Yu, Y.; Wang, X.; Zhang, D.; Zhu, T.; et al. Multiple kinds of pesticide residue detection usingfluorescence spectroscopy combined with partial leastsquares models. Appl. Opt. 2020, 59, 1524–1528. [Google Scholar] [CrossRef]
- Zhang, H.-X.; Wei, R.-B.; Chen, C.-Z.; Tuo, X.-L.; Wang, X.-G. A novel fluorescent epoxy resin for organophosphate pesticide detection. Chin. Chem. Lett. 2015, 26, 39–42. [Google Scholar] [CrossRef]
- Li, H.; Guan, L.; Zhang, X.; Yu, H.; Huang, D.; Sun, M.; Wang, S. A cyanine-based near-infrared fluorescent probe for highly sensitive and selective detection of hypochlorous acid and bioimaging. Talanta 2016, 161, 592–598. [Google Scholar] [CrossRef]
- Usama, S.M.; Marker, S.C.; Li, D.-H.; Caldwell, D.R.; Stroet, M.; Patel, N.L.; Tebo, A.G.; Hernot, S.; Kalen, J.D.; Schnermann, M. Method To Diversify Cyanine Chromophore Functionality Enables Improved Biomolecule Tracking and Intracellular Imaging. J. Am. Chem. Soc. 2023, 145, 14647–14659. [Google Scholar] [CrossRef] [PubMed]
- Martins-Gomes, C.; Coutinho, T.E.; Silva, T.L.; Andreani, T.; Silva, A.M. Neurotoxicity Assessment of Four Different Pesticides Using In Vitro Enzymatic Inhibition Assays. Toxics 2022, 10, 448. [Google Scholar] [CrossRef] [PubMed]
- Nys, C.; Van Regenmortel, T.; Janssen, C.R.; Oorts, K.; Smolders, E.; De Schamphelaere, K.A. A framework for ecological risk assessment of metal mixtures in aquatic systems. Environ. Toxicol. Chem. 2018, 37, 623–642. [Google Scholar] [CrossRef]







| No. | Name | IC50 (μg/mL) |
|---|---|---|
| 1 | Carbendazim | >40 |
| 2 | Dimethomorph | >30 |
| 3 | Bifenthrin | >30 |
| 4 | Pyridaben | 8.92 |
| 5 | Chlorfenapyr | 10.75 |
| 6 | Dimethoate | >40 |
| 7 | Beta-cyfluthrin | 21.55 |
| 8 | Chlorpyrifos-methyl | >28 |
| 9 | Carbofuran | >30 |
| 10 | M-tolyl methylcarbamate | >30 |
| 11 | Trifloxystrobin | >30 |
| 12 | Fenvalerate | 19.55 |
| 13 | Acetamiprid | >30 |
| Pesticide Combination | Mixing Ratio | Inhibition Rate (%) | Observed Inhibition Rate (%) | Combined Toxicity |
|---|---|---|---|---|
| Pyridaben + Chlorfenapyr | 1:1 | 58.9 | 50 | Slight Antagonism |
| Pyridaben + Beta-Cyfluthrin | 1:2 | 59.3 | 50 | Slight Antagonism |
| Pyridaben + Fenvalerate | 1:2 | 57.7 | 50 | Slight Antagonism |
| Chlorfenapyr + Beta-Cyfluthrin | 1:2 | 69.4 | 50 | Moderate Antagonism |
| Chlorfenapyr + Fenvalerate | 1:2 | 56.2 | 50 | Slight Antagonism |
| Beta-Cyfluthrin + Fenvalerate | 1:1 | 55.2 | 50 | Slight Antagonism |
| Pyridaben + Chlorfenapyr + Beta-Cyfluthrin | 1:1:2 | 74.4 | 50 | Severe Antagonism |
| Pyridaben + Chlorfenapyr + Fenvalerate | 1:1:2 | 63.8 | 50 | Moderate Antagonism |
| Pyridaben + Beta-Cyfluthrin + Fenvalerate | 1:2:2 | 62.5 | 50 | Moderate Antagonism |
| Chlorfenapyr + Beta-Cyfluthrin + Fenvalerate | 1:2:2 | 74.6 | 50 | Severe Antagonism |
Disclaimer/Publisher’s Note: The statements, opinions and data contained in all publications are solely those of the individual author(s) and contributor(s) and not of MDPI and/or the editor(s). MDPI and/or the editor(s) disclaim responsibility for any injury to people or property resulting from any ideas, methods, instructions or products referred to in the content. |
© 2025 by the authors. Licensee MDPI, Basel, Switzerland. This article is an open access article distributed under the terms and conditions of the Creative Commons Attribution (CC BY) license (https://creativecommons.org/licenses/by/4.0/).
Share and Cite
Xu, Z.; Zhao, X.; Zhang, M.; Gao, Y.; Cui, J. A LAP-Specific Hydrolyzable Fluorescent Probe for Assessing Combined Toxicity in Pesticide Mixtures. Chemosensors 2025, 13, 310. https://doi.org/10.3390/chemosensors13080310
Xu Z, Zhao X, Zhang M, Gao Y, Cui J. A LAP-Specific Hydrolyzable Fluorescent Probe for Assessing Combined Toxicity in Pesticide Mixtures. Chemosensors. 2025; 13(8):310. https://doi.org/10.3390/chemosensors13080310
Chicago/Turabian StyleXu, Zhihao, Xin Zhao, Ming Zhang, Yan Gao, and Jingnan Cui. 2025. "A LAP-Specific Hydrolyzable Fluorescent Probe for Assessing Combined Toxicity in Pesticide Mixtures" Chemosensors 13, no. 8: 310. https://doi.org/10.3390/chemosensors13080310
APA StyleXu, Z., Zhao, X., Zhang, M., Gao, Y., & Cui, J. (2025). A LAP-Specific Hydrolyzable Fluorescent Probe for Assessing Combined Toxicity in Pesticide Mixtures. Chemosensors, 13(8), 310. https://doi.org/10.3390/chemosensors13080310
