Abstract
Acetone detection is crucial for non-invasive health monitoring and environmental safety, so there is an urgent demand to develop high-performance gas sensors. Here, platinum (Pt)-functionalized layered flower-like nickel ferrite (NiFe2O4) sheets were efficiently fabricated via facile hydrothermal synthesis and wet chemical reduction processes. When the Ni/Fe molar ratio is 1:1, the sensing material forms a Ni/NiO/NiFe2O4 composite, with performance further optimized by tuning Pt loading. At 1.5% Pt mass fraction, the sensor shows a high acetone response (Rg/Ra = 58.33 at 100 ppm), a 100 ppb detection limit, fast response/recovery times (7/245 s at 100 ppm), and excellent selectivity. The enhancement in performance originates from the synergistic effect of the structure and Pt loading: the layered flower-like morphology facilitates gas diffusion and charge transport, while Pt nanoparticles serve as active sites to lower the activation energy of acetone redox reactions. This work presents a novel strategy for designing high-performance volatile organic compound (VOC) sensors by combining hierarchical nanostructured transition metal ferrites with noble metal modifications.
1. Introduction
As a common VOC, acetone holds significant relevance across multiple domains, especially in non-invasive medical diagnostics and environmental monitoring [1,2,3,4]. In the medical field, elevated acetone levels in exhaled breath (>1.8 ppm) are a key biomarker for diabetes [5,6,7,8]. In uncontrolled diabetes, impaired glucose metabolism in the body triggers ketosis, leading to increased acetone production [9,10]. Detecting acetone levels in breath can facilitate early identification of diabetes and evaluation of continuous disease management, providing a non-invasive alternative to traditional blood testing methods [11,12,13,14,15]. From an environmental perspective, acetone is commonly employed in sectors like painting, printing, and chemical manufacturing [16,17]. However, the release of acetone into the atmosphere causes air pollution and the formation of secondary pollutants, including ozone [18,19]. Therefore, accurate and sensitive acetone testing is essential to maintain environmental quality and protect public health.
In order to meet the demand for efficient acetone sensing, researchers have explored various methods for detecting acetone, among which metal oxide-based gas sensors, including those derived from SnO2, ZnO, and TiO2, have been widely noticed and studied due to their wide bandwidth, tunable surface defects, and relatively low cost [20,21,22,23]. However, these single metal oxides often exhibit inadequate sensitivity, limited selectivity, and high working temperature. Nickel ferrite (NiFe2O4), a p-type metal oxide featuring a spinel crystal structure, has attracted much attention in gas sensing applications in recent years. Its unique crystal structure and tunable electrical properties make it a promising candidate for sensing materials [24,25]. Numerous studies have reported the utilization of NiFe2O4 for the fabrication of sensing materials. However, pristine NiFe2O4 still faces challenges in realizing high-performance acetone sensing, such as low response, limited selectivity, high working temperature, etc. [26,27,28]. Therefore, in recent years, researchers have taken different means to optimize the properties of NiFe2O4 sensing materials [29,30,31].
Constructing hierarchical nanostructures and noble metal functionalization have become effective strategies to improve the gas-sensing performance of metal oxides [32]. Hierarchically structured flower-like architectures, characterized by a high specific surface area and interconnected porous frameworks, are capable of enhancing gas diffusion and offering plentiful active sites for gas adsorption [33,34]. Metallic functionalization has emerged as a viable approach to boost the performance of metal oxide-based gas sensors [35,36,37,38]. Noble metals like platinum (Pt) exhibit strong catalytic activity, and when Pt is functionalized onto metal oxide surfaces, it can serve as a catalyst to reduce the activation energy for gas-surface reactions and improve sensor response [39,40,41]. The present study aims to explore the potential of Pt-functionalized hierarchical structured flowers of nickel ferrite sheets for high-performance acetone sensing, to address the limitations of conventional materials, and to provide a new approach for acetone detection.
In this study, we explored the potential of Pt-functionalized p-type layered flower-like structure nickel ferrite sheets for high-performance acetone sensing. The layered flower-like structure has the unique structural advantage of providing a substantial surface area and efficient gas diffusion channels, which provide effective sites for Pt functionalization. The obtained sensing material exhibits high response and selectivity to acetone, fast response/recovery time, and long-term stability. This research presents a novel method for acetone detection promising for non-invasive medical diagnostic and environmental monitoring applications.
2. Experimental Section
2.1. Synthesis of Nickel Ferrite
The synthesis process of the sensing materials was displayed in Figure 1. 1 mmol of NiCl2·6H2O (0.2377 g) and 1 mmol of FeCl3·6H2O (0.2703 g) were poured into 40 mL of ethylene glycol (EG) and stirred magnetically for 20 min until completely dissolved. Then 3 g of anhydrous sodium acetate (CH3COONa) was introduced to create an alkaline environment, and the solution was allowed to stir for 1 h until the solution turned into a homogeneous dark brown mixture. Finally, the mixture was transferred into a 50 mL Teflon-lined stainless steel autoclave and kept at 200 °C for 12 h. The resulting product was washed four times with deionized water and anhydrous ethanol alternately and dried in air to obtain nickel ferrite powder, which was finally annealed in a muffle furnace at 400 °C for 2 h to yield the NiO/NiFe2O4 heterojunction, named NFO.
Figure 1.
Schematic diagram of the sensing material preparation process.
2.2. Synthesis of Pt-Modified Nickel Ferrite
10 mg of NFO was suspended in 20 mL of deionized water and ultrasonically treated for 5 min to form a uniform dispersion; next, 13.5 μL of H2PtCl6 (0.02 g/mL) solution was added dropwise to the mixture, followed by stirring for 10 min. Then 100 μL of NaBH4 (0.1 mmol/mL) was slowly added dropwise, followed by continuous stirring for 3 h. The resultant solution underwent repeated washing with deionized water and anhydrous ethanol in an alternating manner, then air-dried to obtain the powder. Finally, the powder was annealed in a muffle furnace at 400 °C for 2 h to prepare the sensitized nickel ferrite sensing materials with different Pt mass fractions. The 1 wt% Pt-loaded nickel ferrite was named PNFO-1. 1.5 wt% Pt and 2 wt% Pt-loaded sensing materials were obtained using the same preparation method. For 1.5 wt% Pt loading, 20.5 μL of H2PtCl6 and 150 μL of NaBH4 were used; for 2 wt% Pt, 27 μL of H2PtCl6 and 200 μL of NaBH4 were added. The synthesized samples were named PNFO-1.5 and PNFO-2, respectively. The actual surface atomic ratios obtained through inductively coupled plasma (ICP) analysis are shown in Table S1.
2.3. Characterization
The crystal structure of prepared materials was analyzed by powder X-ray diffraction (XRD, Bruker D8 Discover, Cu-Kα1 radiation source with wavelength 1.5406 Å (Bruker, Billerica, MA, USA)). Morphological features were examined through field emission scanning electron microscopy (FESEM, Zeiss Sigma 500 microscope (Zeiss, Oberkochen, Germany). Microstructural characterization, including transmission electron microscopy (TEM) imaging, high-resolution TEM analysis, and elemental distribution mapping, was performed using a JEOL (JEM2100F) system. Surface chemical composition was determined by X-ray photoelectron spectroscopy (XPS) measurements carried out on an ESCALAB250 spectrometer.
2.4. Gas Sensor Fabrication and Measurement Process
First, the calcined material was mixed into a slurry using an appropriate amount of deionized water and then uniformly coated onto the alumina tube with a brush. A Ni-Cr alloy coil was inserted into the ceramic tube to serve as a heater, generating different operating temperatures through current adjustment. Finally, the two ends of the Ni-Cr alloy coil and the four Pt wires on the alumina tube were soldered to a hexagonal socket to obtain a fabricated sensor, which is shown schematically in Figure S1.
Sensor characterization was conducted in a laboratory environment (25 °C, 30% RH) via a static testing system, which was composed of a Fluke 8864A multimeter and a constant-current power supply (GWinstek, GPD-3303S). The sensors were alternately exposed to a glass vessel containing fresh air and a test gas, and the resistances Ra and Rg were recorded by a Fluke 8864A multimeter, respectively. Regarding reducing gas species, sensor response magnitude (S) was quantified using the resistance ratio Rg/Ra for p-type sensing materials. Response dynamics were characterized by measuring the temporal intervals required for 90% resistance variation during gas exposure (response phase) and subsequent air recovery (recovery phase). An amount of target gas was introduced into a glass vessel via a microsyringe to achieve a desired concentration for measurement. The VOC gas concentration was calculated as Equation (1):
The gas concentration calculation incorporates the following parameters: C (ppm) corresponds to the target gas concentration; φ (purity), ρ (g/cm3, density), and V1 (μL, injection volume) characterize the analyte properties. System parameters include V2 (L, test chamber volume), M (g/mol, analyte’s molecular weight), and the ideal gas constant R (0.082 L·atm·mol−1·K−1). Environmental controls comprised T (298 K, laboratory temperature) and P (1 atm, ambient atmospheric pressure). For sensor humidity testing, a high-low temperature humidity chamber (BPGHJS-100A) served as the humidifier to precisely regulate humidity under a constant laboratory temperature of 25 °C.
3. Results and Discussion
3.1. Material Characterization
XRD spectra of nickel ferrite and nickel ferrite samples with different Pt concentrations were analyzed to explore the crystalline structure of the sensing material. As depicted in Figure 2, all samples showed characteristic diffraction peaks of NiFe2O4 (PDF#10-0325), confirming the formation of NiFe2O4. In addition, peaks for NiO (PDF#47-1049) and Ni monomer (PDF#87-0712) were also identified. The characteristic peaks of NiFe2O4 are still dominant in the XRD spectra of PNFO-1, PNFO-1.5, and PNFO-2, indicating that the introduction of Pt did not damage the crystal structure of NiFe2O4. In addition, no characteristic peaks of Pt were detected, potentially attributable to the low Pt content and the limited detection precision of the XRD equipment. The simultaneous appearance of peaks of NiO and Ni in all samples is attributed to the 1:1 molar ratio between Ni and Fe during synthesis, and the excess source of Ni generated NiO after the generation of NiFe2O4, while some Ni ions were reduced to Ni metal by the reduction in EG during the synthesis.
Figure 2.
XRD patterns of NFO, PNFO-1, PNFO-1.5, and PNFO-2.
SEM images of the samples are depicted in Figure 3. Figure 3a,b illustrate the morphology of the pristine nickel ferrite sample, which is structured by nanosheets. The rough surface of the prepared sample is observable in the amplified SEM Figure 3b. Figure 3c–h show the SEM images of the Pt-sensitized nickel ferrite samples. The samples all show a flower-like sheet morphology, which indicates that the Pt loading had almost no impact on the initial morphology of the samples. The high-magnification images (Figure 3b,d,f,h) further show that the sheets are thin with irregular edges, which might facilitate the increase in specific surface area. This property is beneficial for gas sensing because the interlaced sheet structure enhances gas adsorption and diffusion, providing a good basis for improving the performance of the material.
Figure 3.
SEM images of NFO (a,b), PNFO-1 (c,d), PNFO-1.5 (e,f), and PNFO-2 (g,h).
The microstructure and elemental composition of the PNFO-1.5 sample are depicted in detail in Figure 4. The low-magnification TEM image (Figure 4a) reveals that the nanosheets composing the sample are composed of many nanoparticles and have a porous structure. The lattice spacing of 0.251 and 0.318 nm observed in Figure 4b correspond to the (311) crystal plane of NiFe2O4 and the (111) crystal plane of PtO2, respectively [5,42]. The lattice spacing of 0.202 nm and 0.241 nm in Figure 4c correspond to the (111) crystallographic plane of Ni and NiO, respectively, indicating that Ni and NiO present simultaneously within the sample [26]. In addition, the Pt (111) crystallographic plane was observed (lattice spacing of 0.225 nm) [43]. The elemental distribution images of the nanosheets (Figure 4d,e) reveal a homogeneous distribution of Ni, Fe, O, and Pt without obvious agglomeration, indicating that Pt is well dispersed in the samples. This uniform dispersion promotes an increase in active sites within the sensing material and aids in enhancing its gas-sensing performance. And the surface atomic ratios obtained through energy dispersive spectroscopy (EDS) analysis are shown in Table S2. In addition, the selected area electron diffraction (SAED) pattern (Figure 4f) shows typical polycrystalline rings, indicating that the sample has a polycrystalline structure and good crystallinity.
Figure 4.
(a) TEM image of PNFO-1.5; (b,c) HRTEM images of PNFO-1.5; (d,e) EDS mapping images of PNFO-1.5; (f) SAED image of PNFO-1.5.
The XPS results for NFO and PNFO-1.5 are demonstrated in Figure 5. The full spectra of both samples are graphically presented in Figure 5a. Both NFO and PNFO-1.5 exhibit characteristic peaks for Ni, Fe, O and C. PNFO-1.5 shows an additional peak for Pt (Pt 4f), confirming the successful loading of Pt. The appearance of carbon characteristic peaks in the samples may be attributed to multiple factors. On the one hand, sodium acetate, as an additive involved in the experiment, may serve as a direct pathway for carbon source introduction. On the other hand, during the testing process, the samples are exposed to the air chamber of the instrument, and hydrocarbons in the air will be adsorbed on the surface of the samples, thereby leading to the generation of carbon signals [44]. For the Ni 2p spectrum (Figure 5b), the peaks at 854.51 and 855.74 eV in NFO belong to Ni2+ and Ni3+ respectively. In PNFO -1.5, the peak positions are slightly shifted, indicating a change in the chemical environment of Ni owing to Pt functionalization [45,46]. The Fe 2p spectrum (Figure 5c) shows peaks of Fe2+ and Fe3+ at 710.31 and 711.99 eV. The Fe 2p peaks in NFO and PNFO-1.5, with the slight shifts and intensity changes in NFO and PNFO-1.5, indicate that the electronic structure of the Fe species is also altered by the interaction of Pt [46,47]. Figure 5d shows the Pt 4f spectrum of PNFO-1.5, with peaks at 71.02 and 67.27 eV assigned to Pt0, which, in conjunction with the peak area ratios presented in the figure, suggests that Pt exists predominantly in the metallic state. In addition, the peaks of 73.79 and 68.74 eV were attributed to Pt4+, implying that some of the Pt was oxidized to PtO2 during annealing, evidencing that Pt exists as Pt/PtO2, which synergistically sensitizes the sensing material [43,48,49,50]. The O 1s spectrum (Figure 5e) was fitted to three components: the OC (surface adsorbed oxygen), the OV (oxygen vacancy), and the OL (lattice oxygen). Figure 5f shows the proportion of each oxygen species. The higher proportion of OV (54.36%) for PNFO-1.5 compared to NFO (44.16%) suggests that Pt functionalization increases the amount of oxygen vacancies. Additionally, photoluminescence (PL) measurements (Figure S2) also demonstrated that the OV concentration of PNFO-1.5 was significantly higher than that of other materials [51,52,53,54]. The reason for the elevated OV may be related to the Pt loading. On the one hand, it is attributed to the lattice constant mismatch at the interface between Pt/PtO2 and NFO and the disordered arrangement of the atoms at the interface, forming defects, which reduces the binding energy of the oxygen atoms and contributes to the enrichment of oxygen vacancies near the interface. On the other hand, in the course of high-temperature annealing, the diffusion of atoms at the interface between Pt/PtO2 and NFO is intensified, and the migration of oxygen atoms is enhanced in the process of lattice reconstruction, which makes it easy to form oxygen vacancies [55,56,57,58]. These oxygen vacancies can be the active sites for gas adsorption and improve the gas-sensing performance.
Figure 5.
(a) XPS survey spectra of the NFO and PNFO-1.5 samples; High-resolution spectra of (b) Ni 2p, (c) Fe 2p, (d) Pt 4f, and (e) O 1 s; (f) The percentage of the different oxygen species of NFO and PNFO-1.5.
3.2. Gas Sensing Properties
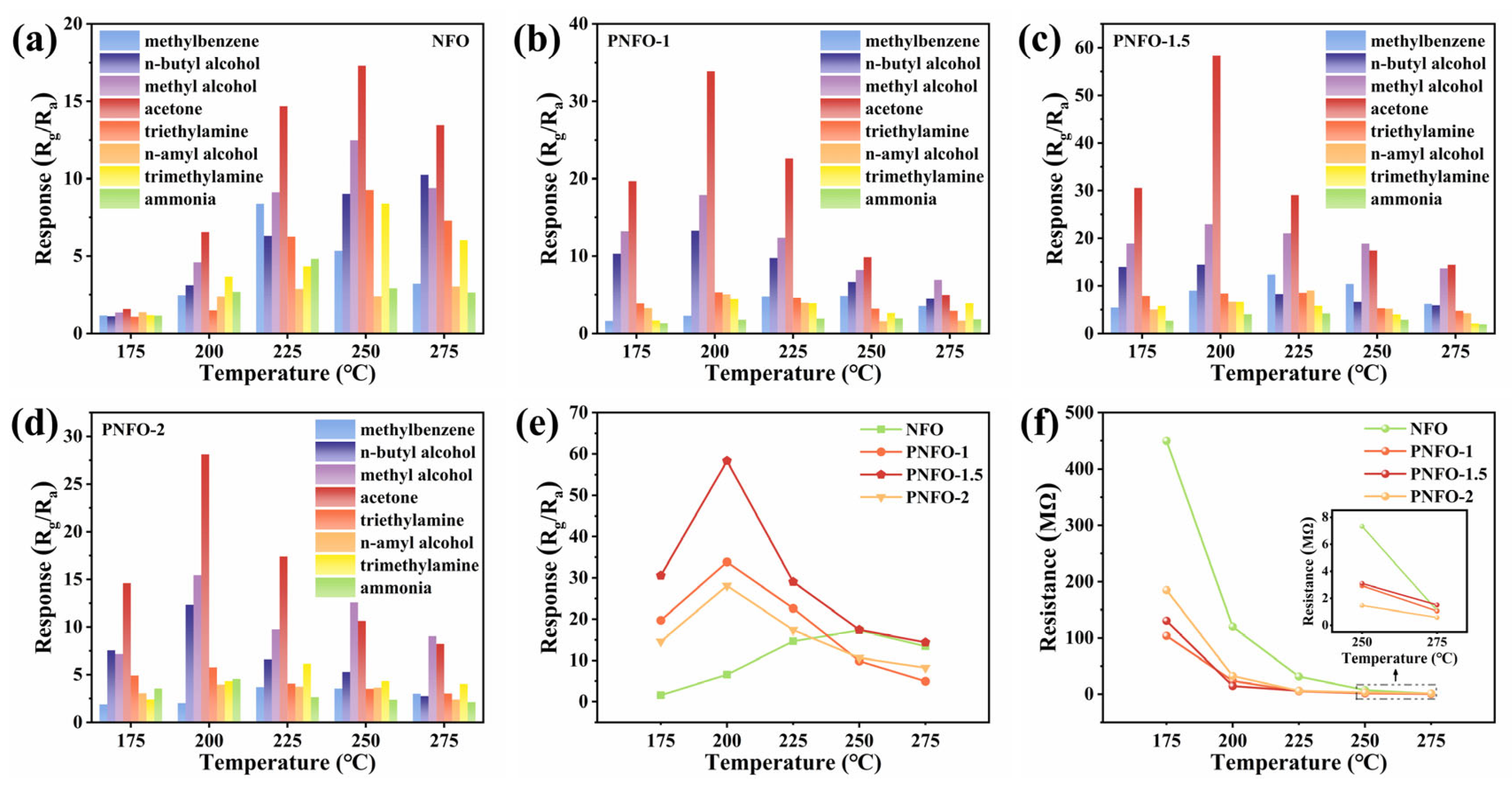
Figure 6 and Figure S3 illustrate the gas-sensing performance of NFO and PNFO sensing materials. Figure 6a-d show the response of NFO, PNFO-1, PNFO-1.5, and PNFO-2 based sensors to various gases (toluene, n-butyl alcohol, methanol, acetone, triethylamine, n-amyl alcohol, trimethylamine, and ammonia) at 100 ppm under various working temperatures. Clearly, the Pt-loaded sensing material exhibits a significantly higher response to acetone than the pristine NFO. The operating temperature was reduced by 50 °C from the pristine 250 °C to 200 °C. This can be attributed to the remarkable catalytic activity of Pt, which significantly lowers the activation energy for the redox reactions of gas molecules at the sensor surface. In addition, it can be noticed that the selectivity of the original NFO sensing material is very poor, whereas Pt modification remarkably enhances the sensor’s selectivity. Figure 6e specifically compares the responses of the four sensors to 100 ppm acetone across varying temperatures. Specifically, the response of NFO to acetone at 250 °C is 17.43, while the responses of PNFO-1, PNFO-1.5, and PNFO-2 to acetone at 200 °C are 33.87, 58.33, and 28.12, respectively. The highest response is obtained for PNFO-1.5. This is due to the fact that the appropriate amount of Pt loading can increase the active sites and oxygen vacancies at the sensing material surface. When Pt is excessively loaded, particle agglomeration occurs, which reduces the interfacial contact between Pt and the sensing material and even covers the active sites at the sensing material surface, leading to a reduction in the gas-sensing performance of the sensor. Figure 6f depicts the variation in the resistance of the sensors as a function of temperature. The high resistance of the pristine NFO and the reduced resistance of the sensor after Pt loading can be ascribed to the increased oxygen vacancy. The increased oxygen vacancies cause more adsorbed oxygen to adsorb at the sensing material surface, capturing electrons in the conduction band, leading to an increase in the number of holes, enhanced conductivity, and reduced resistance of the sensing material.
Figure 6.
(a–d) Response of NFO, PNFO-1, PNFO-1.5, and PNFO-2 in 100 ppm gas at different temperatures; (e) Temperature-dependent response of the samples to 100 ppm acetone; (f) Dynamic resistance change of the gas sensors in air (Ra) at 175–275 °C.
Figure 7 further examines the gas-sensing characteristics of NFO and PNFO sensing materials in different concentrations of acetone gas. Figure 7a–d shows the resistance-time curves of NFO, PNFO-1, PNFO-1.5, and PNFO-2 when exposed to different concentrations of acetone gas. It is clear that the resistance of the sensors increases significantly as the concentration of acetone increases, exhibiting the characteristics of a p-type semiconductor. The dynamic resistance curves depicting the response of the sensor to acetone at lower concentration levels (0.1–3 ppm) are plotted in the insets of Figure 7a–d. It is evident that the four sensors show obvious response fluctuations to 0.1 ppm acetone.
Figure 7.
(a–d) Resistance-time curves of the four sensors to acetone at low (0.1–3 ppm) and high (5–100 ppm) concentrations at their OWT (NFO (250 °C), PNFO-1 (200 °C), PNFO-1.5 (200 °C), PNFO-2 (200 °C)); (e) Linear plots between the response of the four gas sensors and the varying concentrations of acetone; (f,g) Continuous dynamic resistance and response/recovery time recordings of NFO (250 °C) and PNFO-1.5 (200 °C) for 100 ppm acetone; (h) Thirty-day response of PNFO-1.5 to 100 ppm acetone; (i) Resistance and response of PNFO-1.5 with increasing humidity.
Figure 7e shows the response linearity of the four sensors as a function of acetone concentration. The PNFO samples, especially the PNFO-1.5, showed a higher response compared to the NFO and did not saturate at an acetone concentration of 100 ppm, indicating that the sensors have a wider detection range. Figure 7f and g compare the repeatability and response/recovery characteristics for the NFO and PNFO-1.5 sensors. The repeatability of the two sensors is good, featuring response/recovery times of 6/209 s and 7/245 s for the NFO and PNFO-1.5 sensors, respectively. Figure 7h is an illustration of the stability of the PNFO-1.5 over a period of 30 days, with minimal degradation of the response, suggesting that the sensors exhibit excellent long-term stability. Figure 7i and Figure S4 examine the impact of humidity on the PNFO-1.5 sensor. As humidity increases, the resistance of the PNFO-1.5 decreases in acetone gas and increases in air. The response of the sensor shows an overall decreasing trend; however, it can be observed that at a humidity of 60% RH, the response of the sensor degrades by less than 20%, indicating acceptable resistance to humidity disturbances.
Table 1 presents the gas-sensing performance of Pt-loaded, nickel oxide-based, and nickel ferrite-based acetone gas sensors [27,31,59,60,61,62,63,64,65,66,67,68,69,70]. From the comparison, it is evident that the gas sensor based on PNFO-1.5 possesses a lower operating temperature and higher gas response, demonstrating its great development potential in the field of acetone sensing.
Table 1.
Comparison of gas sensing performance of PNFO-1.5 in this work and other Pt-loaded, nickel oxide-based, and nickel ferrite-based acetone gas sensors.
3.3. Gas Sensing Mechanism
As is widely recognized, the sensing mechanism of metal-oxide-semiconductor gas sensors relies on the adsorption and desorption of gas molecules at the surface of the sensing material, along with the surface resistance variation resulting from the redox reaction of test gas molecules on the material surface, as depicted in Figure 8. When the sensor is exposed to air, dissociative adsorption of oxygen molecules occurs at the surface of the sensing material, accompanied by electron transfer from the material’s conduction band to form surface chemisorbed oxygen ions (Equations (2)–(4)) [38,71,72,73,74,75]. In the p-type semiconductor sensing material, with holes serving as the majority carriers, exposure to air depletes conduction band electrons and induces the formation of a hole accumulation layer at the surface [76,77]. When the sensor is exposed to acetone gas, surface-adsorbed oxygen ions on the sensing material undergo a redox reaction with acetone gas molecules, Equation (5). During this process, electrons revert to the conduction band of the sensing material, which attenuates the surface hole accumulation layer and correspondingly elevates sensor resistance under reducing gas exposure.
O2(gas) → O2(ads),
O2(ads) + e− → O2−(ads) (<100 °C),
O2−(ads) + e− → 2O−(ads) (100−300 °C),
CH3COCH3 + 8O− → 3CO2 + 3H2O + 8e−
Figure 8.
Schematic sensing mechanism of the sensor.
SEM images have shown that both pristine and Pt-loaded nickel ferrite samples exhibit a hierarchical flower-like architecture composed of ultrathin nanosheets with irregular edges. This unique morphology leads to an increased specific surface area, thereby improving the adsorption and diffusion efficiency of oxygen and acetone molecules and, which in turn promotes the progression of the processes described in Equations (2)–(5). The enhanced sensor performance following Pt loading is ascribed to two primary mechanisms: On the one hand, Pt incorporation enhances oxygen vacancy density at the sensing material surface, thereby increasing active site population, which facilitates the adsorption of both oxygen and acetone molecules onto the material surface [74]. This leads to the sensing material exhibiting lower resistance in air, while in acetone gas, the increased participation of acetone molecules in redox reactions results in higher sensor resistance within the acetone environment. On the other hand, Pt has high catalytic activity, accelerates the dissociation and oxidation reaction of acetone, reduces the reaction activation energy, facilitates greater participation of acetone molecules in the reaction, releases more electrons, and makes the response of the sensor more significant [78,79,80,81].
Finally, it should also be noted that the presence of metallic Ni may also affect the performance of the sensor. Ni accelerates carrier migration [82] and can introduce defects such as oxygen vacancies in metal oxides, which can serve as adsorption sites for gas molecules and improve the sensitivity of the sensor [83,84].
4. Conclusions
In conclusion, Pt/PtO2-modified nickel ferrite (NFO) flower-like nanosheet materials for acetone gas sensing applications were successfully prepared in this research. Characterization techniques, such as TEM, HRTEM, XPS, and SAED, confirmed that the Pt/PtO2 and NFO formed a composite structure. XPS analysis showed that Pt functionalization increased the oxygen vacancy content in NFO, which is essential for gas adsorption. Gas-sensing performance tests showed that the Pt-modified NFO samples had superior acetone-sensing characteristics relative to pristine NFO. Specifically, the PNFO-1.5 sample showed the greatest response to acetone, registering a response value of 58.33 at 200 °C for 100 ppm acetone, while the sensor displayed excellent repeatability, response/recovery characteristics, and long-term stability. Owing to the catalytic activity of Pt and the increase in oxygen vacancies at the sensing material surface, the gas adsorption was enhanced while the operating temperature was reduced, which improved the sensor’s overall performance. The results of this study demonstrate the potential of Pt/PtO2-sensitized nickel ferrite composites as high-performance gas-sensing materials for acetone detection applications.
Supplementary Materials
The following supporting information can be downloaded at: https://www.mdpi.com/article/10.3390/chemosensors13070234/s1, Figure S1: Schematic Diagram of Sensor Device; Figure S2: Photoluminescence spectra of NFO, PNFO-1, PNFO-1.5, and PNFO-2 after an excitation at 400 nm; Figure S3: Selectivity Test of NFO, PNFO-1, PNFO-1.5, and PNFO-2 at their OWT (NFO (250 °C), PNFO-1 (200 °C), PNFO-1.5 (200 °C), PNFO-2 (200 °C)); Figure S4: Dynamic resistance response curves of PNFO-1.5 to 100 ppm acetone at 200 °C under (a) 20% RH, (b) 40% RH, (c) 60% RH, and (d) 80% RH; Table S1: The surface atomic ratios obtained through ICP analysis; Table S2: The surface atomic ratios obtained through EDS analysis.
Author Contributions
Conceptualization, X.Y. and Z.Y.; methodology, X.Y. and Z.S.; formal analysis, Z.Y.; investigation, Z.S., Y.S., C.S., P.W., and S.Y.; data curation, Z.Y.; writing—original draft preparation, Z.Y.; writing—review and editing, X.Y., and G.P.; supervision, X.Y., and G.P.; funding acquisition, X.Y. and G.P. All authors have read and agreed to the published version of the manuscript.
Funding
This research was funded by National Natural Science Foundation of China (No. 62473126, 62003123). Hebei Collaborative Innovation Center of Microelectronic Materials and Technology on Ultra Precision Processing (CIC) and Hebei Engineering Research Center of Microelectronic Materials and Devices (ERC).
Institutional Review Board Statement
Not applicable.
Informed Consent Statement
Not applicable.
Data Availability Statement
The original contributions presented in this study are included in the article. Further inquiries can be directed to the corresponding author.
Conflicts of Interest
The authors declare no conflicts of interest.
References
- Mathur, M.; Verma, A.; Singh, A.; Yadav, B.C.; Chaudhary, V. CuMoO4 nanorods-based acetone chemiresistor-enabled non-invasive breathomic-diagnosis of human diabetes and environmental monitoring. Environ. Res. 2023, 229, 115931. [Google Scholar] [CrossRef] [PubMed]
- Roy, N.; Sinha, R.; Nemade, H.B.; Mandal, T.K. Synthesis of MoS2-CuO nanocomposite for room temperature acetone sensing application. J. Alloys Compd. 2022, 910, 164891. [Google Scholar] [CrossRef]
- Zhang, H.; Xiao, J.; Chen, J.; Zhang, L.; Zhang, Y.; Pei, X.L. Pd-modified SmFeO3 with hollow tubular structure under light shows extremely high acetone gas sensitivity. Rare Met. 2023, 42, 545–557. [Google Scholar] [CrossRef]
- Li, Z.; Li, S.; Song, Z.; Yang, X.; Wang, Z.; Zhang, H.; Guo, L.; Sun, C.; Liu, H.; Shao, J.; et al. Influence of nickel doping on ultrahigh toluene sensing performance of core-shell ZnO microsphere gas sensor. Chemosensors 2022, 10, 327. [Google Scholar] [CrossRef]
- Zhang, S.F.; Jiang, W.H.; Li, Y.W.; Yang, X.L.; Sun, P.; Liu, F.M.; Yan, X.; Gao, Y.; Liang, X.H.; Ma, J.; et al. Highly-sensitivity acetone sensors based on spinel-type oxide (NiFe2O4) through optimization of porous structure. Sens. Actuators B-Chem. 2019, 291, 266–274. [Google Scholar] [CrossRef]
- Ama, O.; Sadiq, M.; Johnson, M.; Zhang, Q.; Wang, D. Novel 1D/2D KWO/Ti3C2Tx nanocomposite-based acetone sensor for diabetes prevention and monitoring. Chemosensors 2020, 8, 102. [Google Scholar] [CrossRef]
- Sun, J.; Shi, D.; Wang, L.; Yu, X.; Song, B.; Li, W.; Zhu, J.; Yang, Y.; Cao, B.; Jiang, C. CRDS technology-based integrated breath gas detection system for breath acetone real-time accurate detection application. Chemosensors 2024, 12, 261. [Google Scholar] [CrossRef]
- Fan, X.; Yang, S.; Huang, C.; Lu, Y.; Dai, P. Preparation and enhanced acetone-sensing properties of ZIF-8-derived Co3O4@ZnO microspheres. Chemosensors 2023, 11, 376. [Google Scholar] [CrossRef]
- Cai, L.B.; Dong, X.Q.; Wu, G.G.; Sun, J.P.; Chen, N.; Wei, H.Z.; Zhu, S.; Tian, Q.Y.; Wang, X.Y.; Jing, Q.; et al. Ultrasensitive acetone gas sensor can distinguish the diabetic state of people and its high performance analysis by first-principles calculation. Sens. Actuators B-Chem. 2022, 351, 130863. [Google Scholar] [CrossRef]
- Arakawa, T.; Mizukoshi, N.; Iitani, K.; Toma, K.; Mitsubayashi, K. A bio-fluorometric acetone gas imaging system for the dynamic analysis of lipid metabolism in human breath. Chemosensors 2021, 9, 258. [Google Scholar] [CrossRef]
- Liu, H.; Liu, W.X.; Sun, C.X.; Huang, W.Z.; Cui, X.L. A review of non-invasive blood glucose monitoring through breath acetone and body surface. Sens. Actuators A-Phys. 2024, 374, 115500. [Google Scholar] [CrossRef]
- Righettoni, M.; Tricoli, A.; Pratsinis, S.E. Si:WO3 sensors for highly selective detection of acetone for easy diagnosis of diabetes by breath analysis. Anal. Chem. 2010, 82, 3581–3587. [Google Scholar] [CrossRef] [PubMed]
- Hu, J.Y.; Lei, H.; Zhang, H.Y.; Xue, X.X.; Wang, X.P.; Wang, C.H.; Zhang, Y. High reliable gas sensor based on crystal-facet regulated α-Fe2O3 nanocrystals for rapid detection of exhaled acetone. Rare Met. 2024, 43, 6500–6515. [Google Scholar] [CrossRef]
- Ueda, T.; Torai, S.; Fujita, K.; Shimizu, Y.; Hyodo, T. Effects of Au addition to porous CuO2-added SnO2 gas sensors on their VOC-sensing properties. Chemosensors 2024, 12, 153. [Google Scholar] [CrossRef]
- Muramatsu, Y.; Watanabe, S.; Osada, M.; Tajima, K.; Karashima, A.; Maruo, Y.Y. Small acetone sensor with a porous colorimetric chip for breath acetone detection using the flow–stop method. Chemosensors 2025, 13, 136. [Google Scholar] [CrossRef]
- Koo, A.; Yoo, R.; Woo, S.P.; Lee, H.-S.; Lee, W. Enhanced acetone-sensing properties of Pt-decorated Al-doped ZnO nanoparticles. Sens. Actuators B Chem. 2019, 280, 109–119. [Google Scholar] [CrossRef]
- Maji, B.; Singh, P.; Badhulika, S. A highly sensitive and fully flexible Fe-Co metal-organic framework hydrogel based gas sensor for ppb level detection of acetone. Appl. Surf. Sci. 2024, 678, 161047. [Google Scholar] [CrossRef]
- Wang, S.Y.; Apel, E.C.; Schwantes, R.H.; Bates, K.H.; Jacob, D.J.; Fischer, E.V.; Hornbrook, R.S.; Hills, A.J.; Emmons, L.K.; Pan, L.L.; et al. Global atmospheric budget of acetone: Air-sea exchange and the contribution to hydroxyl radicals. J. Geophys. Res. Atmos. 2020, 125, e2020JD032553. [Google Scholar] [CrossRef]
- Dong, Y.; Du, L.; Jiang, Y.; Wang, Y.; Zhang, J.; Wang, X.; Wei, S.; Sun, M.; Lu, Q.; Yin, G. In2O3-SnO2 hedgehog-like nanostructured heterojunction for acetone detection. Appl. Surf. Sci. 2024, 654, 159543. [Google Scholar] [CrossRef]
- Xing, X.X.; Chen, N.; Yang, Y.; Zhao, R.J.; Wang, Z.Z.; Wang, Z.D.; Zou, T.; Wang, Y.D. Pt-functionalized nanoporous TiO2 nanoparticles with enhanced gas sensing performances toward acetone. Phys. Status Solidi A-Appl. Mater. Sci. 2018, 215, 1800100. [Google Scholar] [CrossRef]
- Hu, Y.; Wang, H.; Liu, D.; Lin, G.; Wan, J.W.; Jiang, H.; Lai, X.Y.; Hao, S.J.; Liu, X.H. Lychee-like ZnO/ZnFe2O4 core-shell hollow microsphere for improving acetone gas sensing performance. Ceram. Int. 2020, 46, 5960–5967. [Google Scholar] [CrossRef]
- Wang, Y.; Wei, Z.H.; Li, P.W.; Li, G.; Lian, K.; Zhang, W.D.; Zhuiykov, S.; Hu, J. Pr6O11-functionalized SnO2 flower-like architectures for highly efficient, stable, and selective acetone detection. IEEE Sens. J. 2018, 18, 933–940. [Google Scholar] [CrossRef]
- Jin, S.C.; Wu, D.; Song, W.A.; Hao, H.S.; Gao, W.Y.; Yan, S. Superior acetone sensor based on hetero-interface of SnSe2/SnO2 quasi core shell nanoparticles for previewing diabetes. J. Colloid Interface Sci. 2022, 621, 119–130. [Google Scholar] [CrossRef]
- Narang, S.B.; Pubby, K. Nickel spinel ferrites: A review. J. Magn. Magn. Mater. 2021, 519, 167163. [Google Scholar] [CrossRef]
- Rathore, D.; Kurchania, R.; Pandey, R.K. Nanoferrites gas sensors: A critical review. Sens. Actuators A-Phys. 2024, 379, 115968. [Google Scholar] [CrossRef]
- Ma, Y.; Lu, Y.; Gou, H.; Zhang, W.; Yan, S.; Xu, X. Octahedral NiFe2O4 for high-performance gas sensor with low working temperature. Ceram. Int. 2018, 44, 2620–2625. [Google Scholar] [CrossRef]
- Yang, J.; Jiang, B.; Wang, X.; Wang, C.; Sun, Y.; Zhang, H.; Shimanoe, K.; Lu, G. MOF-derived porous NiO/NiFe2O4 nanocubes for improving the acetone detection. Sens. Actuators B-Chem. 2022, 366, 131985. [Google Scholar] [CrossRef]
- Zhang, Y.; Zhou, Y.; Li, Z.; Chen, G.; Mao, Y.; Guan, H.; Dong, C. MOFs-derived NiFe2O4 fusiformis with highly selective response to xylene. J. Alloys Compd. 2019, 784, 102–110. [Google Scholar] [CrossRef]
- Liao, X.; Liu, X.; Wu, Y.; Qian, L.; Chen, Y.; Wang, Y.; Wu, Z.; Huang, A.; Liu, X.; Luo, J. Ni1-xZnxFe2O4 heterojunction composites derived from normal/inverse spinel structure for ppb-level acetone detection. Sens. Actuators B-Chem. 2025, 436, 137733. [Google Scholar] [CrossRef]
- Fu, Q.; Li, J.; Handschuh-Wang, S.; Zhou, X.; Liu, Y. Synergistic effect of NiFe2O4 and MWCNTs for ppb-level acetone detection at 150 °C. Sens. Actuators B-Chem. 2025, 425, 136948. [Google Scholar] [CrossRef]
- Xie, J.; Xie, T.; An, C.; Zhao, Y.; Wu, J.; Wu, X. Amorphous Pt-decorated NiFe2O4 nanorods for acetone sensing. ACS Appl. Nano Mater. 2024, 7, 28478–28485. [Google Scholar] [CrossRef]
- Lv, Y.K.; Yao, B.H.; Liu, Z.Q.; Liang, S.; Liu, Q.C.; Zhai, K.H.; Li, Z.J.; Yao, H.C. Hierarchical Au-loaded WO3 hollow microspheres with high sensitive and selective properties to toluene and xylene. IEEE Sens. J. 2019, 19, 5413–5420. [Google Scholar] [CrossRef]
- Zhu, L.; Li, Y.Q.; Zeng, W. Hydrothermal synthesis of hierarchical flower-like ZnO nanostructure and its enhanced ethanol gas-sensing properties. Appl. Surf. Sci. 2018, 427, 281–287. [Google Scholar] [CrossRef]
- Wang, Y.H.; Zhang, L.Z.; Zhang, C.S.; Xu, X.M.; Xie, Y.Y.; Chen, W.J.; Wang, J.; Zhang, R.Q. Promoting the generation of active oxygen over Ag-modified nanoflower-like α-MnO2 for soot oxidation: Experimental and DFT studies. Ind. Eng. Chem. Res. 2020, 59, 10407–10417. [Google Scholar] [CrossRef]
- Kim, T.; Lee, T.H.; Park, S.Y.; Eom, T.H.; Cho, I.; Kim, Y.; Kim, C.; Lee, S.A.; Choi, M.-J.; Suh, J.M.; et al. Drastic gas sensing selectivity in 2-dimensional MoS2 nanoflakes by noble metal decoration. ACS Nano 2023, 17, 4404–4413. [Google Scholar] [CrossRef]
- Liu, C.; Kuang, Q.; Xie, Z.X.; Zheng, L.S. The effect of noble metal (Au, Pd and Pt) nanoparticles on the gas sensing performance of SnO2-based sensors: A case study on the {221} high-index faceted SnO2 octahedra. Crystengcomm 2015, 17, 6308–6313. [Google Scholar] [CrossRef]
- Yin, Y.; Shen, Y.; Zhao, S.; Bai, J.; Qi, Y.; Han, C.; Wei, D. Effect of noble metal elements on ethanol sensing properties of ZnSnO3 nanocubes. J. Alloys Compd. 2021, 887, 161409. [Google Scholar] [CrossRef]
- Gao, D.H.; Yu, Q.C.; Kebeded, M.A.; Zhuang, Y.Y.; Huang, S.; Jiao, M.Z.; He, X.J. Advances in modification of metal and noble metal nanomaterials for metal oxide gas sensors: A review. Rare Met. 2025, 44, 1443–1496. [Google Scholar] [CrossRef]
- Hanh, N.H.; Duy, L.V.; Hung, C.M.; Xuan, C.T.; Duy, N.V.; Hoa, N.D. High-performance acetone gas sensor based on Pt–Zn2SnO4 hollow octahedra for diabetic diagnosis. J. Alloys Compd. 2021, 886, 161284. [Google Scholar] [CrossRef]
- Chen, X.; Liu, T.; Ouyang, Y.; Huang, S.; Zhang, Z.; Liu, F.; Qiu, L.; Wang, C.; Lin, X.; Chen, J.; et al. Influence of different Pt functionalization modes on the properties of CuO gas-sensing materials. Sensors 2024, 24, 120. [Google Scholar] [CrossRef]
- Jolly Bose, R.; Illyasukutty, N.; Tan, K.S.; Rawat, R.S.; Vadakke Matham, M.; Kohler, H.; Mahadevan Pillai, V.P. Preparation and characterization of Pt loaded WO3 films suitable for gas sensing applications. Appl. Surf. Sci. 2018, 440, 320–330. [Google Scholar] [CrossRef]
- Yang, B.X.; Liu, J.Y.; Qin, H.; Liu, Q.; Jing, X.Y.; Zhang, H.Q.; Li, R.M.; Huang, G.Q.; Wang, J. PtO2-nanoparticles functionalized CuO polyhedrons for n-butanol gas sensor application. Ceram. Int. 2018, 44, 10426–10432. [Google Scholar] [CrossRef]
- Dong, J.Y.; Liu, H.Y.; Sun, C.X.; Shao, J.K.; Wang, M.J.; He, P.; Qi, Y.H.; Pan, G.F.; Yang, X.L. Low-temperature and high-efficient detection of triethylamine based on Pt/PtO2 loaded WO3 gas sensors. J. Alloys Compd. 2023, 966, 171642. [Google Scholar] [CrossRef]
- Greczynski, G.; Hultman, L. The same chemical state of carbon gives rise to two peaks in X-ray photoelectron spectroscopy. Sci. Rep. 2021, 11, 11195. [Google Scholar] [CrossRef]
- Tran, P.K.L.; Nguyen, T.H.; Tran, D.T.; Dinh, V.; Ta, T.T.N.; Chung-Li, D.; Kim, N.H.; Lee, J.H. Tunable charge Pt sites-dominated alloy confined by mxene-derived oxycarbide enables ultra-stable ampere-level hydrogen production. Appl. Catal. B-Environ. Energy 2025, 363, 124801. [Google Scholar] [CrossRef]
- Yang, M.Y.; Zhang, J.L.; Zhang, W.Z.Z.; Wu, Z.C.; Gao, F. Pt nanoparticles/Fe-doped α-Ni(OH)2 nanosheets array with low Pt loading as a high-performance electrocatalyst for alkaline hydrogen evolution reaction. J. Alloys Compd. 2020, 823, 153790. [Google Scholar] [CrossRef]
- Zhu, G.H.; Wu, K.; Tan, L.; Wang, W.Y.; Huang, Y.P.; Liu, D.Y.; Yang, Y.Q. Liquid phase conversion of phenols into aromatics over magnetic Pt/NiO-Al2O3@Fe3O4 catalysts via a coupling process of hydrodeoxygenation and dehydrogenation. Acs Sustain. Chem. Eng. 2018, 6, 10078–10086. [Google Scholar] [CrossRef]
- Sharma, B.; Karuppasamy, K.; Srivastava, A.K.; Alfantazi, A.; Sharma, A. Highly sensitive and selective nanoengineered PtO2-BNNT heterostructures for ppb level ammonia gas sensing. Sens. Actuators B-Chem. 2024, 400, 134818. [Google Scholar] [CrossRef]
- Xia, Y.; Guo, S.H.; Yang, L.; He, S.F.; Zhou, L.X.; Wang, M.J.; Gao, J.Y.; Hou, M.; Wang, J.; Komarneni, S. Enhanced free-radical generation on MoS2/Pt by light and water vapor co-activation for selective CO detection with high sensitivity. Adv. Mater. 2023, 35, 2303523. [Google Scholar] [CrossRef]
- Xue, L.X.; Ren, Y.; Li, Y.Y.; Xie, W.H.; Chen, K.Y.; Zou, Y.D.; Wu, L.M.; Deng, Y.H. Pt-Pd nanoalloys functionalized mesoporous SnO2 spheres: Tailored synthesis, sensing mechanism, and device integration. Small 2023, 19, 2302327. [Google Scholar] [CrossRef]
- Gandhi, A.C.; Wu, S.Y. Strong deep-level-emission photoluminescence in NiO nanoparticles. Nanomaterials 2017, 7, 231. [Google Scholar] [CrossRef] [PubMed]
- Boulahbel, H.; Benamira, M.; Bouremmad, F.; Ahmia, N.; Kiamouche, S.; Lahmar, H.; Souici, A.; Trari, M. Enhanced photodegradation of Congo red dye under sunlight irradiation by p-n NiFe2O4/TiO2 heterostructure. Inorg. Chem. Commun. 2023, 154, 110921. [Google Scholar] [CrossRef]
- Mrabet, C.; Jaballah, R.; Mahdhi, N.; Boukhachem, A.; Amlouk, M. Structural, optical, photoluminescence and sunlight photocatalytic properties of sprayed NiO-ZnO nanocomposite thin films. Mater. Sci. Eng. B-Adv. Funct. Solid-State Mater. 2024, 300, 117130. [Google Scholar] [CrossRef]
- Wang, Z.Y.; Miao, J.Y.; Zhang, H.X.; Wang, D.; Sun, J.B. Hollow cubic ZnSnO3 with abundant oxygen vacancies for H2S gas sensing. J. Hazard. Mater. 2020, 391, 122226. [Google Scholar] [CrossRef]
- Liu, L.B.; Tang, Y.F.; Liu, S.; Yu, M.L.; Sun, Y.F.; Fu, X.Z.; Luo, J.L.; Liu, S.B. Unraveling the trade-off between oxygen vacancy concentration and ordering of perovskite oxides for efficient lattice oxygen evolution. Adv. Energy Mater. 2024, 15, 2402967. [Google Scholar] [CrossRef]
- Huang, N.; Qu, Z.P.; Dong, C.; Qin, Y.; Duan, X.X. Superior performance of α@β-MnO2 for the toluene oxidation: Active interface and oxygen vacancy. Appl. Catal. A-Gen. 2018, 560, 195–205. [Google Scholar] [CrossRef]
- Jiayu, Z.; Lin, Y.; Zhihao, Z.; Chunran, Z.; Linjiang, F.; Xin, H.; Hongjun, L.; Leihong, Z.; Yiming, H. Preparation of NaNbO3 microcube with abundant oxygen vacancies and its high photocatalytic N2 fixation activity in the help of Pt nanoparticles. J. Colloid Interface Sci. 2023, 636, 480–491. [Google Scholar] [CrossRef]
- Zhong-Kang, H.; Wen, L.; Yi, G. Advancing the understanding of oxygen vacancies in ceria: Insights into their formation, behavior, and catalytic roles. JACS Au 2025, 5, 1549–1569. [Google Scholar] [CrossRef]
- Xiao, Y.; Hu, S.; Liu, Y.; Zhang, A.; Yao, Z.; Tian, Y.; Li, H.; Ning, Y.; Li, F.; Qu, F.; et al. Pt-modified BiVO4 nanosheets for enhanced acetone sensing. Sens. Actuators B-Chem. 2023, 389, 133853. [Google Scholar] [CrossRef]
- Zhang, K.; Wei, H.; Li, Y.S.; Zhang, W.R.; Zhu, P.D.; Zhang, R.Y. Ultrahigh-acetone-sensitivity sensor based on Pt-loaded TiO2 porous nanoparticles synthesized via a facile hydrothermal method. Nanotechnology 2024, 35, 045502. [Google Scholar] [CrossRef]
- Guo, L.; Chen, F.; Xie, N.; Kou, X.; Wang, C.; Sun, Y.; Liu, F.; Liang, X.; Gao, Y.; Yan, X.; et al. Ultra-sensitive sensing platform based on Pt-ZnO-In2O3 nanofibers for detection of acetone. Sens. Actuators B-Chem. 2018, 272, 185–194. [Google Scholar] [CrossRef]
- Liu, C.; Gao, H.; Wang, L.; Wang, T.; Yang, X.; Sun, P.; Gao, Y.; Liang, X.; Liu, F.; Song, H.; et al. Facile synthesis and the enhanced sensing properties of Pt-loaded α-Fe2O3. porous nanospheres. Sens. Actuators B-Chem. 2017, 252, 1153–1162. [Google Scholar] [CrossRef]
- Zhang, J.; Lu, H.; Liu, C.; Chen, C.; Xin, X. Porous NiO-WO3 heterojunction nanofibers fabricated by electrospinning with enhanced gas sensing properties. RSC Adv. 2017, 7, 40499–40509. [Google Scholar] [CrossRef]
- Jiang, L.; Tu, S.; Xue, K.; Yu, H.; Hou, X. Preparation and gas-sensing performance of GO/SnO2/NiO gas-sensitive composite materials. Ceram. Int. 2021, 47, 7528–7538. [Google Scholar] [CrossRef]
- Zhou, C.; Meng, F.; Chen, K.; Yang, X.; Wang, T.; Sun, P.; Liu, F.; Yan, X.; Shimanoe, K.; Lu, G. High sensitivity and low detection limit of acetone sensor based on NiO/Zn2SnO4 p-n heterojunction octahedrons. Sens. Actuators B-Chem. 2021, 339, 129912. [Google Scholar] [CrossRef]
- Lekshmi, M.S.; Suja, K.J. Enhanced acetone detection using ZnS-NiO heterojunction sensor for diabetes detection. Ceram. Int. 2024, 50, 23577–23585. [Google Scholar] [CrossRef]
- Zhou, T.; Zhang, T.; Zeng, Y.; Zhang, R.; Lou, Z.; Deng, J.; Wang, L. Structure-driven efficient NiFe2O4 materials for ultra-fast response electronic sensing platform. Sens. Actuators B-Chem. 2018, 255, 1436–1444. [Google Scholar] [CrossRef]
- Xu, Y.; Fan, Y.; Tian, X.; Liang, Q.; Liu, X.; Sun, Y. p-p heterojunction composite of NiFe2O4 nanoparticles-decorated NiO nanosheets for acetone gas detection. Mater. Lett. 2020, 270, 127728. [Google Scholar] [CrossRef]
- Sun, Y.H.; Huang, Q.T.; Liu, Y.F.; Gu, Z.Q.; Bo, L.B.; Zheng, X.H. Fabrication of NiO nanosheet/NiFe2O4 nanoparticle sensor through one-step hydrothermal method for acetone detection. J. Electrochem. Soc. 2025, 172, 017517. [Google Scholar] [CrossRef]
- Zhang, D.; Wang, T.T.; Huo, L.H.; Gao, S.; Li, B.S.; Guo, C.Y.; Yu, H.X.; Major, Z.; Zhang, X.F.; Cheng, X.L.; et al. Small size porous NiO/NiFe2O4 nanocubes derived from Ni-Fe bimetallic metal-organic frameworks for fast volatile organic compounds detection. Appl. Surf. Sci. 2023, 623, 157075. [Google Scholar] [CrossRef]
- Wang, P.; Guo, S.S.; Zhao, Y.N.; Hu, Z.X.; Tang, Y.T.; Zhou, L.C.; Li, T.K.; Li, H.Y.; Liu, H. WO3 nanoparticles supported by Nb2CTx MXene for superior acetone detection under high humidity. Sens. Actuators B-Chem. 2024, 398, 134710. [Google Scholar] [CrossRef]
- Mokoena, T.P.; Swart, H.C.; Hillie, K.T.; Tshabalala, Z.P.; Jozela, M.; Tshilongo, J.; Motaung, D.E. Enhanced propanol gas sensing performance of p-type NiO gas sensor induced by exceptionally large surface area and crystallinity. Appl. Surf. Sci. 2022, 571, 151121. [Google Scholar] [CrossRef]
- Meng, F.; Yang, J.; Wang, Y.-n.; Zhang, R.; Yuan, Z. Acetone gas sensor based on spinel-structured hollow sea urchin-like core–shell ZnO/ZnFe2O4 spheres. ACS Appl. Nano Mater. 2024, 7, 16066–16074. [Google Scholar] [CrossRef]
- Liang, X.; Fu, S.Y.; Song, X.Y.; Yao, Y.; Gao, N.; Zhang, J. Enhanced acetone gas sensing performance of SnO2/Zn2SnO4 heterojunctions incorporated with MXene: Experimental and theoretical insights. J. Alloys Compd. 2025, 1020, 179489. [Google Scholar] [CrossRef]
- Zhang, Y.; Wang, M.Y.; San, X.G.; Shen, Y.B.; Wang, G.S.; Zhang, L.; Meng, D. Ti3C2Tx/SnO2 P-N heterostructure construction boosts room-temperature detecting formaldehyde. Rare Met. 2024, 43, 267–279. [Google Scholar] [CrossRef]
- He, X.X.; Chai, H.F.; Zhou, Y.W.; Liu, K.W.; Yu, Z.X.; Zhang, C. Sensing properties and mechanisms of LaF3-Co3O4 nanorods for low-concentration methanol detection. Rare Met. 2024, 43, 2193–2204. [Google Scholar] [CrossRef]
- Li, L.L.; Diao, Q.; Liu, Z.K.; Zhu, G.X.; Jiao, M.L.; Liu, C.; Du, M.L.; Shi, Y.S.; Wang, Y.L.; Cheng, P.F.; et al. Preparation of Co3O4 by tunable oxygen defect engineering and its application in acetone gas sensor. Microchem. J. 2025, 212, 113481. [Google Scholar] [CrossRef]
- Kaixuan, F.; Yun, S.; Lizhe, Y.; Na, J.; Chunfeng, S.; Degang, M.; Xuebin, L.; Rui, H.; Qingling, L. Pt loaded manganese oxide nanoarray-based monolithic catalysts for catalytic oxidation of acetone. Chem. Eng. J. 2022, 432, 134397. [Google Scholar] [CrossRef]
- Zhaoxia, S.; Gongke, L.; Yufei, H. Cataluminescence sensor based on Pt/NU-901 nanocomposite for rapid capture, catalysis and detection of acetone in exhaled breath. Anal. Chim. Acta 2022, 1206, 339787. [Google Scholar] [CrossRef]
- Liu, W.; Xie, Y.L.; Chen, T.X.; Lu, Q.X.; Rehman, S.U.; Zhu, L. Rationally designed mesoporous In2O3 nanofibers functionalized Pt catalysts for high-performance acetone gas sensors. Sens. Actuators B-Chem. 2019, 298, 126871. [Google Scholar] [CrossRef]
- Qiu, C.K.; Wang, L.; An, F.; Zhang, H.; Li, Q.R.; Wang, H.Z.; Li, M.J.; Guo, J.Y.; Jia, P.L.; Liu, Z.W.; et al. One-dimensional hollow porous Ru-CuO nanofibers covered with ZIF-71 for H2S gas sensing and its first-principle study. Rare Met. 2025, 44, 1170–1181. [Google Scholar] [CrossRef]
- Sanam, P.K.J.; Shah, M.D.; Pradyumnan, P.P. Enhanced thermoelectric properties in dual cation doped CuCrO2 nanocrystals mediated by magnon-carrier drag. Mater. Res. Bull. 2023, 164, 112244. [Google Scholar] [CrossRef]
- Zeb, S.; Yang, Z.; Hu, R.M.; Umair, M.; Naz, S.; Cui, Y.; Qin, C.Y.; Liu, T.Y.; Jiang, X.C. Electronic structure and oxygen vacancy tuning of Co & Ni co-doped W18O49 nanourchins for efficient TEA gas sensing. Chem. Eng. J. 2023, 465, 142815. [Google Scholar] [CrossRef]
- Li, J.; Zheng, M.; Yang, M.; Zhang, X.F.; Cheng, X.L.; Zhou, X.; Gao, S.; Xu, Y.M.; Huo, L.H. Three-in-one Ni doped porous SnO2 nanorods sensor: Controllable oxygen vacancies content, surface site activation and low power consumption for highly selective NO2 monitoring. Sens. Actuators B-Chem. 2023, 382, 133550. [Google Scholar] [CrossRef]
Disclaimer/Publisher’s Note: The statements, opinions and data contained in all publications are solely those of the individual author(s) and contributor(s) and not of MDPI and/or the editor(s). MDPI and/or the editor(s) disclaim responsibility for any injury to people or property resulting from any ideas, methods, instructions or products referred to in the content. |
© 2025 by the authors. Licensee MDPI, Basel, Switzerland. This article is an open access article distributed under the terms and conditions of the Creative Commons Attribution (CC BY) license (https://creativecommons.org/licenses/by/4.0/).







