Electrochemical Polymerization of Guaiacol in Organic Solvents and Analytical Performance of the Poly (Guaiacol) Modified Electrode Towards Phenol Antioxidants
Abstract
1. Introduction
2. Materials and Methods
3. Results
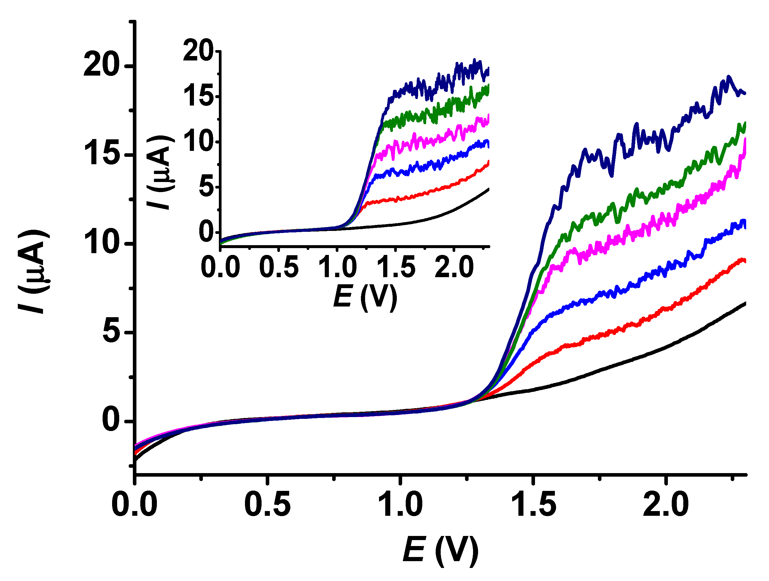
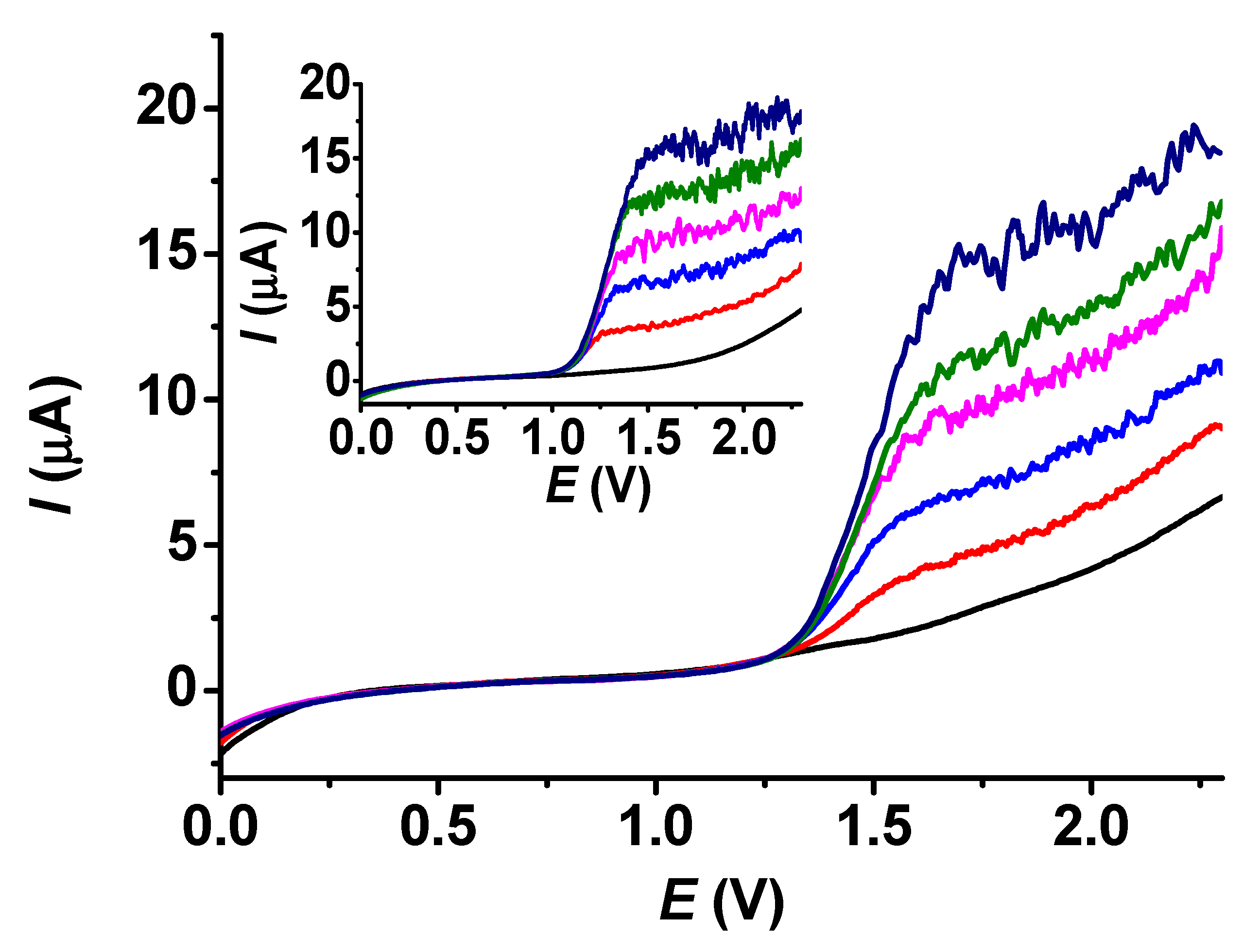
Performance of Deposits in Electroanalysis of Butylhydroxytoluene
4. Conclusions
Author Contributions
Funding
Institutional Review Board Statement
Informed Consent Statement
Data Availability Statement
Conflicts of Interest
References
- Maali, A.; Najoua, D.; Rihab, H.; Hasen, M.S.; Hechmi, S.; Emilia, M.; Salma, B. Electrodeposition of 4,4′-di-tert-butylbiphenyl peroxide from the anodic oxidation of p-tert-butylphenol in an alkaline acetonitrile solution. J. Appl. Electrochem. 2017, 47, 507–516. [Google Scholar]
- Bruno, F.; Pham, M.C.; Dubois, J.E. Polaromicrotribometric study of polyphenylene oxide film formation on metal electrodes by electrolysis of disubstituted phenols. Electrochim. Acta 1977, 22, 451–457. [Google Scholar] [CrossRef]
- Youssef, S.; Dalila, K.; Ridha, A. Electropolymerization of phenol, o-nitrophenol and o-methoxyphenol on gold and carbon steel materials and their corrosion protection effects. Prog. Org. Coat. 2010, 69, 335–343. [Google Scholar]
- Mengoli, G.; Marco, M.M. An overview of phenol electropolymerization for metal protection. J. Electrochem. Soc. 1987, 134, 643C–652C. [Google Scholar] [CrossRef]
- Milczarek, G.; Ciszewski, A. Permselective properties of electropolymerized guaiacol derivatives. Electroanalysis 2003, 15, 529–532. [Google Scholar] [CrossRef]
- Ciszewski, A.; Milczarek, G. Polyeugenol-modified platinum electrode for selective detection of dopamine in the presence of ascorbic acid. Anal. Chem. 1999, 71, 1055–1061. [Google Scholar] [CrossRef]
- Ciszewski, A.; Milczarek, G. Preparation and general properties of chemically modified electrodes based on electrosynthesized thin polymeric films derived from eugenol. Electroanalysis 2001, 13, 860–867. [Google Scholar] [CrossRef]
- Paul, D.W.; Prajapati, I.; Reed, M.L. Electropolymerized eugenol: Evaluation as a protective film for oxygen sensing. Sens. Actuators B Chem. 2013, 183, 129–135. [Google Scholar] [CrossRef]
- Devadas, B.; Rajkumar, M.; Chen, S.M. Electropolymerization of curcumin on glassy carbon electrode and its electrocatalytic application for the voltammetric determination of epinephrine and p-acetoaminophenol. Colloids Surf. B 2014, 116, 674–680. [Google Scholar] [CrossRef]
- Kumar, K.K.; Devendiran, M.; Kalaivani, R.A.; Narayanan, S.S. Polycurcumin nanospheres modified electrode for nanoscale detection of mercury ions in seawater. Chem. Phys. Lett. 2021, 781, 138974. [Google Scholar] [CrossRef]
- Matsushita, Y.; Sekiguchi, T.; Ichino, R.; Fukushima, K. Electropolymerization of coniferyl alcohol. J. Wood Sci. 2009, 55, 344–349. [Google Scholar] [CrossRef]
- Silva, L.V.D.; Silva, F.A.S.; Kubota, L.T.; Lopes, C.B.; Lima, P.R.; Costa, E.O.; Pinho Júnior, W.; Goulart, M.O.F. Amperometric sensor based on carbon nanotubes and electropolymerized vanillic acid for simultaneous determination of ascorbic acid, dopamine, and uric acid. J. Solid State Electrochem. 2016, 20, 2389–2393. [Google Scholar] [CrossRef]
- Manjunatha, J.G.; Swamy, B.E.K.; Deraman, M.; Mamatha, G.P. Simultaneous voltammetric measurement of ascorbic acid and dopamine at poly (vanillin) modified carbon paste electrode: A cyclic voltammetric study. Der. Pharm. Chem. 2012, 4, 2489–2497. [Google Scholar]
- Madhuchandra, H.D.; Swamy, B.E.K. Poly (vanillin) modified carbon paste electrode for the determination of adrenaline: A voltammetric study. Mater. Sci. Energy Technol. 2019, 2, 697–702. [Google Scholar] [CrossRef]
- Duran, S.T.; Hassine, C.B.A.; Burç, M.; Güngör, Ö. Voltammetric determination of a-lipoic acid using poly(vanillin) modified platinum electrode. Anal. Bioanal. Electrochem. 2020, 12, 857–869. [Google Scholar]
- Matsushita, Y.; Nakamura, A.; Aoki, D.; Yagami, S.; Fukushima, K. Bio-based polymer from ferulic acid by electropolymerization. BioResources 2016, 11, 9789–9802. [Google Scholar] [CrossRef][Green Version]
- Da Silva, L.V.; Lopes, C.B.; da Silva, W.C.; de Paiva, Y.G.; dos Santos Silva, F.A.; Lima, P.R.; Kubota, L.T.; Goulart, M.O.F. Electropolymerization of ferulic acid on multi-walled carbon nanotubes modified glassy carbon electrode as a versatile platform for NADH, dopamine and epinephrine separate detection. Microchem. J. 2017, 133, 460–467. [Google Scholar] [CrossRef]
- Sundaram, S.; Kadir, M.R.A. A new highly conducting carbon black (CL-08) modified electrode functionalized with syringic acid for sensitive and selective L-cysteine electrocatalysis at low potential. Electrochim. Acta 2017, 224, 475–486. [Google Scholar] [CrossRef]
- Corrêa, C.C.; Santhiago, M.; e Silva, C.C.C.; Formiga, A.L.B.; Kubota, L.T. Synthesis and electrochemical characterization of poly(2-methoxy-4-vinylphenol) with MWCNTs. Electroanalysis 2011, 23, 2562–2568. [Google Scholar] [CrossRef]
- Stojanovic, Z.; Erdőssy, J.; Keltai, K.; Scheller, F.W.; Gyurcsányi, R.E. Electrosynthesized molecularly imprinted polyscopoletin nanofilms for human serum albumin detection. Anal. Chim. Acta 2017, 977, 1–9. [Google Scholar] [CrossRef]
- Kiss, L.; Szabó, P. Acetic acid and ethyl acetate as solvents for electropolymerization reactions, considering 4-methoxyphenol and composition of solvent mixtures. Organics 2024, 5, 670–683. [Google Scholar] [CrossRef]
- Jaromira, C.; Markéta, T.; Tomás, M.; Renáta, S.; Jan, J. Voltammetric determination of BHT antioxidant at gold electrode in biodiesel. Electroanalysis 2012, 24, 1374–1379. [Google Scholar]
- Lívia, S.S.; Jonathan, W.V.D.; Pedro, R.B.F.; Mariliz, G.; Clarisse, M.S.P. Direct and simultaneous determination of four phenolic antioxidants in biodiesel using differential pulse voltammetry assisted by artificial neural networks and variable selection by decision trees. Fuel 2019, 236, 803–810. [Google Scholar]
- Lívia, S.S.; Pedro, R.B.F.; Clarisse, M.S.P.; Mariliz, G. A Chemometric-Assisted Voltammetric Method for Simultaneous Determination of Four Antioxidants in Biodiesel Samples. Energy Fuels 2020, 34, 412–418. [Google Scholar]
- Kiss, L.; Li, H.; Yan, H.; Kunsági-Máté, S. Comparison between electropolymers of 3,5-dihydroxybenzoic acid and 2′,6′-dihydroxyacetophenone in dimethyl sulfoxide and their analytical performance towards selected analytes with the role of the washing liquid. Molecules 2024, 29, 3972. [Google Scholar] [CrossRef]











Disclaimer/Publisher’s Note: The statements, opinions and data contained in all publications are solely those of the individual author(s) and contributor(s) and not of MDPI and/or the editor(s). MDPI and/or the editor(s) disclaim responsibility for any injury to people or property resulting from any ideas, methods, instructions or products referred to in the content. |
© 2025 by the authors. Licensee MDPI, Basel, Switzerland. This article is an open access article distributed under the terms and conditions of the Creative Commons Attribution (CC BY) license (https://creativecommons.org/licenses/by/4.0/).
Share and Cite
Kiss, L.; Szabó, P.; Kunsági-Máté, S. Electrochemical Polymerization of Guaiacol in Organic Solvents and Analytical Performance of the Poly (Guaiacol) Modified Electrode Towards Phenol Antioxidants. Chemosensors 2025, 13, 214. https://doi.org/10.3390/chemosensors13060214
Kiss L, Szabó P, Kunsági-Máté S. Electrochemical Polymerization of Guaiacol in Organic Solvents and Analytical Performance of the Poly (Guaiacol) Modified Electrode Towards Phenol Antioxidants. Chemosensors. 2025; 13(6):214. https://doi.org/10.3390/chemosensors13060214
Chicago/Turabian StyleKiss, László, Péter Szabó, and Sándor Kunsági-Máté. 2025. "Electrochemical Polymerization of Guaiacol in Organic Solvents and Analytical Performance of the Poly (Guaiacol) Modified Electrode Towards Phenol Antioxidants" Chemosensors 13, no. 6: 214. https://doi.org/10.3390/chemosensors13060214
APA StyleKiss, L., Szabó, P., & Kunsági-Máté, S. (2025). Electrochemical Polymerization of Guaiacol in Organic Solvents and Analytical Performance of the Poly (Guaiacol) Modified Electrode Towards Phenol Antioxidants. Chemosensors, 13(6), 214. https://doi.org/10.3390/chemosensors13060214

