Next Article in Journal
Study of a Sensitive and Selective Electrochemical Biosensor for Glucose Based on Bi2Ru2O7 Pyrochlore Clusters Combined with MWCNTs
Next Article in Special Issue
Development of a Reliable Device for ‘Fluorokinetic’ Analysis Based on a Portable Diode Array MEMS Fluorimeter
Previous Article in Journal
Multi-Way Fluorescence Technique Combined with Four-Way Calibration for the Determination of Thiabendazole and Carbaryl in Apple
Previous Article in Special Issue
Investigating the Application of Pomegranate-Loaded Chitosan Nanoparticles as Contrast Agents for Enhancing Breast Cancer Detection via Diffuse Reflectance Spectroscopy
 
 
Font Type:
Arial Georgia Verdana
Font Size:
Aa Aa Aa
Line Spacing:
Column Width:
Background:
Article

Detection of Ascorbic Acid in Tears with an Extended-Gate Field-Effect Transistor-Based Electronic Tongue Made of Electropolymerized Porphyrinoids on Laser-Induced Graphene Electrodes

1
Department of Electronic Engineering, University of Rome Tor Vergata, Via del Politecnico 1, 00133 Rome, Italy
2
Department of Chemical Science and Technology, University of Rome Tor Vergata via della Ricerca Scientifica, 00133 Rome, Italy
*
Author to whom correspondence should be addressed.
Chemosensors 2025, 13(3), 108; https://doi.org/10.3390/chemosensors13030108
Submission received: 7 February 2025 / Revised: 7 March 2025 / Accepted: 11 March 2025 / Published: 15 March 2025

Abstract

Porphyrinoids are suitable sensitive materials for potentiometric electronic tongues. In this paper, we take advantage of these properties to develop an electronic tongue using an extended-gate field-effect transistor as a signal transducer. The sensitive films were made of different porphyrins and corroles electropolymerized in situ onto laser-induced graphene electrodes. The electronic tongue was duly characterized with respect to ascorbic acid, a common natural antioxidant. The sensors were shown to be sensitive and selective with respect to common interferents, such as dopamine and uric acid. Finally, the sensors were tested to detect ascorbic acid in artificial tears.

1. Introduction

The principle of combinatorial selectivity, borrowed from olfaction, introduces a significant paradigm shift from individual sensors to arrays, which are commonly known as electronic noses, for the analysis of gases, and electronic tongues, for the analysis of liquids [1]. The application of the combinatorial selectivity principle requires the capability to manufacture sensors with different patterns of sensitivity. Several classes of sensitive materials can be used for these purposes. Among them, porphyrinoids have been shown to be particularly suitable as sensor array elements. Porphyrins and corroles, the most well-known members of the family, are macrocycles made of pyrrole rings linked with methine bridges and are capable of coordinating mane periodic table elements [2]. The rings can be further decorated with peripheral compounds. These molecules have been extensively used for chemical sensors [3,4]. Small changes in the molecular composition alter the pattern of molecular interactions; thus, porphyrinoid-based sensors are suitable for the development of sensor arrays.
Porphyrin electronic tongues, based on potentiometric and optical transducers, have been used for several applications, including water quality, food analysis, and medical diagnosis [5,6,7,8,9]. The preparation of sensors requires the deposition of solid-state films onto inorganic surfaces. Among the available methods, electropolymerization is a convenient technique for fast and reproducible sensor preparation [10]. The in situ polymerization ensures that, under the assumption of the homogeneity of the electric field, the electrodes are uniformly coated. Furthermore, since the deposition is strictly confined to the electrode, with respect to drop or spray coating, this technique reduces the waste of material.
Porphyrinoids can be adequately modified with functional groups suitable to promote molecular polymerization [11]. Electric properties can also be altered by adding active elements to the solution of monomers. For instance, the addition of a base, such as 2,6-lutidine, to a solution of corrole monomers changes the character of the polymer from p-type to n-type [12].
Besides the sensitive material, the transducer plays a fundamental role in defining the global properties of sensors, not least enabling the incorporation of the device in electronic circuits. An efficient approach for electronic tongues is offered by the extended-gate field-effect transistor (EGFET) configuration [13]. In EGFETs, the sensitive material coats a conductive electrode directly connected to the gate terminal of a standard silicon MOSFET. In this way, the sensitive electrode is completely separated from the electronic device avoiding interferences due to the conductivity of the electrolyte. Furthermore, this approach exploits the high degree of reliability, the high availability, and the low cost of microelectronics devices. Since their introduction, EGFETs have been frequently used for the detection of chemical and biological molecules [14].
A practical key element of electronic tongues is the arrangement of the array of sensitive electrodes in compact patterns that can ensure the uniform exposure of all the sensors to the analyte. The patterning of electrodes that usually requires microfabrication capabilities has been greatly facilitated by the introduction of the laser-induced graphene (LIG) technology. This is a simple and low-cost method to convert carbonaceous materials into graphene [15]. LIG can be produced with laser sources of different wavelengths ranging from ultraviolet to infrared [16]. Laser sources are easily combined with a motorized scanning stage to produce patterns of LIG. Polyimide, a typical plastic used as a flexible insulating substrate in electronics, is particularly suitable for LIG applications. In polyimide, the conversion into graphene is mainly promoted by the break of imide bonds under the photothermal pyrolysis activated by laser illumination [17]. Several works have exploited the use of LIG in electrochemical sensors, batteries, and supercapacitors [18].
Recently, the development of EGFET sensors made of ZnO nanoparticles coated with porphyrinoids and deposited onto LIG electrodes has been introduced. The device was found to be sensitive and selective to ascorbic acid [19]. This finding is further elaborated in this paper for the development of an array of sensors, each made of a LIG electrode and functionalized with a diversity of electropolymerized porphyrins and corroles.
Sensors have been characterized with respect to pH and to analytes of biomedical interest, such as carbohydrates, acids, and dopamine. The results show that the electronic tongue can identify ascorbic acid with respect to dopamine in pure solutions, mixtures, and when spiked to artificial tears. The detection of ascorbic acid in tears is considered a feasible method to evaluate the influence of diet, contact lenses, age, and environmental agents on natural defense with respect to free radicals, and might improve the prevention of ocular diseases [20,21].

2. Materials and Methods

2.1. Chemical Synthesis and Reagents

Ethanol (99.9%), dichloromethane (DCM, 99.8%), isopropyl alcohol (IPA, 99.9%), L-ascorbic acid, D-glucose, citric acid, 2,6-lutidine (99%), and tetrabutylammonium perchlorate (TBAClO4, >98%) were purchased from Sigma Aldrich (St. Louis, MO, USA).and used without any purification. Uric acid (98%) and D-sucrose (99.5%) were purchased from Fluka chemicals (Seelze, Germany) and 3-hydroxytyramine hydrochloride (98%) from TCI Europe (Zwijndrecht, Belgium). Deionized water (DI, 18.2 MΩ•cm) was used throughout the experiment.

2.2. LIG Electrodes

A polyimide (PI) sheet (E-components HUB Store, AliExpress, Hangzhou, China) with a thickness of 125 µm was used as a substrate for LIG production. Before laser illumination, the PI was cleaned with ethanol and dried at room temperature. LIG was produced with a 10 W diode UV/blue laser (λ = 450 nm) mounted on a computer-controlled motorized scanning device (ATOMSTACK, X7 pro, Shenzhen, China)). The laser was operated at an irradiance of 1 W/cm2 scanned above the surface at the rate of 70 cm/min. Circular conductive working electrodes with an area of 7 mm2 were obtained. After lasing, the electrodes were rinsed with IPA, followed by water, and dried at room temperature.

2.3. Electropolymerization

Sensitive polymers were obtained from three corroles and three porphyrins. The molecular structure is shown in Figure 1 while the complete name of the molecules and the acronyms used in this paper are listed in Table 1. The polymerization of CuATPC was also carried out with the addition of 2,6-lutidine (CuATPCLUT).
To avoid any interference between the electrodes, the process of electropolymerization was carried out in a homemade setup, where each electrode was confined to a separate cell. Individual cells, with a volume of approximately 600 µL, included the space for reference and counter electrodes while the working electrode was the LIG patterned pad. The volume of the cell was chosen to reduce solvent evaporation during the polymerization process. The cell was fabricated in 3D standard clear resin (Jinhua Wanhao spare parts Co., Ltd., Jinhua, China) and printed with a 3D resin printer (Photon 5.5, Anycubic, Shenzhen, China). Figure 2 shows the sketch of the electropolymerization cells.
Electropolymerization was performed with a PalmSens 3 potentiostat, with saturated calomel (303/SCG/6, AMEL, Milano, Italy) as the reference electrode, and a 1 mm diameter Pt wire as the counter electrode. The polymerization solution was made with a dispersion of the monomers in dichloromethane (10−4 M) with 0.1 M of TBAClO4 [22]. The procedure was carried out in the potential window between 0 and 1 V at a scan rate of 100 mV s−1 for 20 cycles [12]. Coated electrodes were then rinsed in dichloromethane and dried at room temperature.

2.4. Physical Characterization

The morphological characterization was carried out with Field Emission Scanning Electron Microscopy (FESEM), model SUPRA 35 (Carl Zeiss 162 SMT, Oberkochen, Germany). Raman spectroscopy was performed with a Jobin–Yvon–Horiba micro-Raman system (LabRAM ARAMIS, Edison, NJ, USA), equipped with an Ar+ ion laser at 514 nm. Sheet resistances were measured with the Van der Pauw method with an electrical contact at the four corners using a square sample.

2.5. Electronic Tongue Setup

Figure 3 shows the schematic of the electronic tongue setup. EGFETs were based on integrated N-channel MOSFETs with a threshold voltage of Vth = 0 V and transconductance of gm = 24 mS (ALD210800A, Advanced Linear Devices Inc., Sunnyvale, CA, USA). Each chip contained four matched devices designed for low-voltage and low-power signal applications. Polymer-coated electrodes were connected to the gate terminals of the MOSFETs. Each transistor was connected to a bias circuit made by a common voltage source (Vcc = 3.3 V) and drain resistances (R0 = 270 Ω). The drain-source voltages (VDS) were considered as the output signal of the sensors.
The stable gate voltage was ensured by biasing the calomel reference electrode at a fixed voltage provided by an integrated programmable digital-to-analog converter (MAX5352, Analog Devices Inc., Wilmington, MA, USA). The total gate-source voltage is then presented as:
V G S = V r e f + Φ
where Vref is the potential applied to the reference electrode, and ΔΦ is the potential containing both the solution and electrode potential that is related to the absorbed analytes [14].
Vref was chosen to bias the MOSFETs in the saturation regime. Thus, considering the null threshold voltage of the transistor, the relation between the output signal and the electrode potential is:
V D S = V C C R 0 g m V r e f + Φ
The output signals were sequentially acquired by means of an analog multiplexer (MAX398CPE, Analog Devices Inc.) followed by a 16 bit analog-to-digital converter (ADS1115, Adafruit Industries LLC, Brooklyn, NY, USA). Digital data were sampled by an Arduino board and then saved on a computer.
The transfer function (VDS vs. Vref) of the sensors was measured keeping the electrodes in 1X PBS at pH 7.2. The curves are shown in the inset of Figure 3. The electrodes’ potentials are evidenced by the different transfer functions.

3. Results

3.1. Materials’ Characterization

The quality of the LIG electrodes was investigated by Raman spectroscopy. The spectrum (shown in Figure 4) is characterized by the typical D band, at around 1234 cm−1, D2 band at 2679 cm−1, and G band around 1573 cm−1. The D band is an indicator of material disorder, the 2D band corresponds to the second-order zone-boundary phonons, and the G band is related to the sp2 hybridized graphitic carbon atoms. D, G, and 2D peaks are the characteristics of graphene and confirm the carbonization of the polyimide film. The 2D band also suggests that LIG is made by a few layers of graphene with rotational or vertical stacking disorders. The sheet resistance of the LIG electrode, measured with the Van der Pauw method, is of the order of 20 Ωsq.
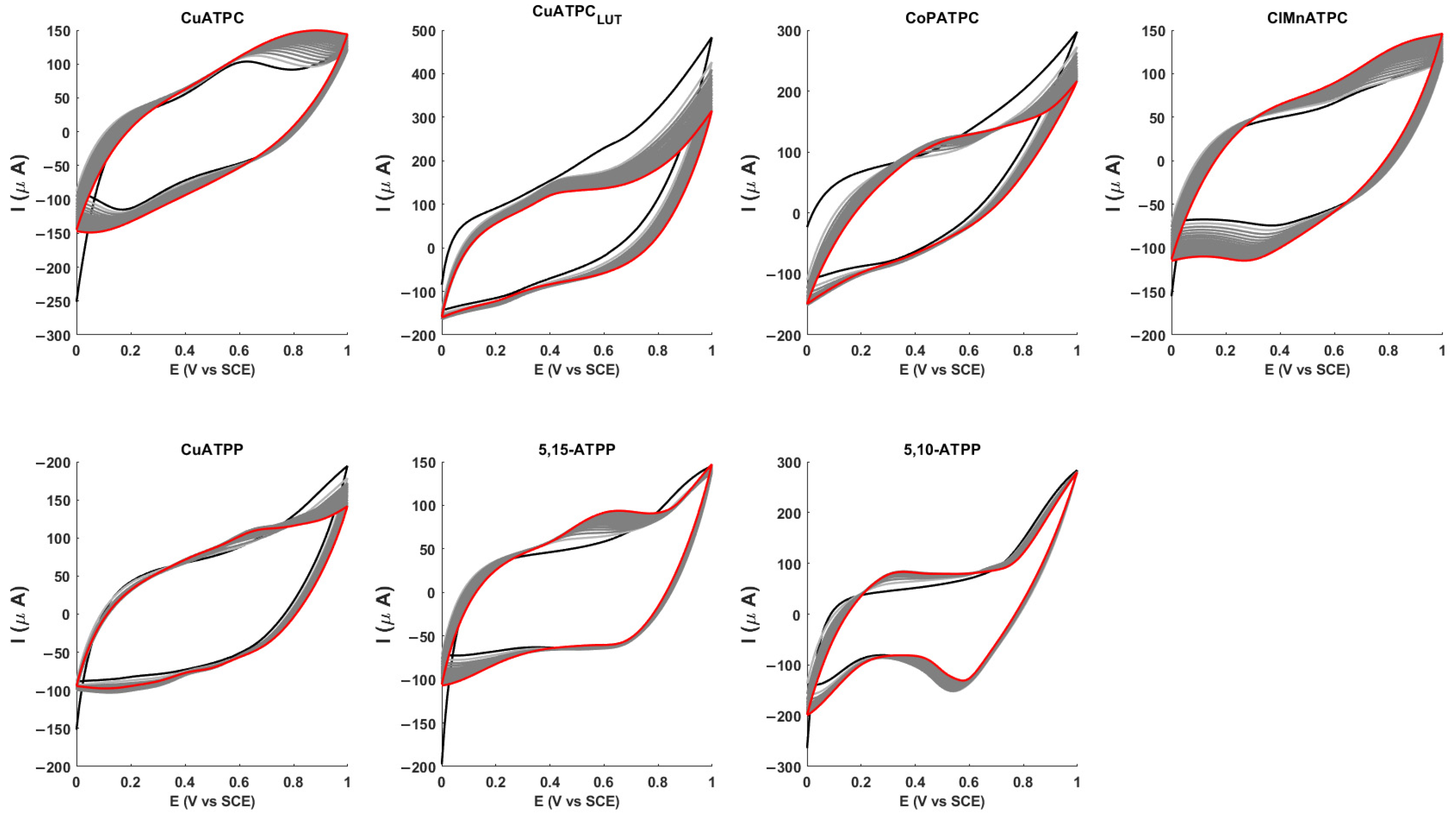
Figure 5 shows the cyclic voltammogram measured during the electropolymerization of the porphyrinoids. The polymerization process includes the oxidation of amino and phenyl groups leading to the formation of phenazine bridges. Except for the case of CuATPC-LUT, the current increases during each scan as expected for the formation of conductive polymers. On the contrary, CuATPC-LUT shows a decrease in the current. This behavior can be explained considering that the addition of lutidine to CuATPC leads to a p-type conductive polymer that, contrary to the n-type polymers, forms a barrier of potential at the interface with the LIG electrode [12].
The morphology of the polymerized electrodes is shown in Figure 6. The FESEM image of the pristine LIG electrode shows a foam-like structure with a large surface area. During the lasing process, the increase in the local pressure and temperature creates microcavity due to nitrogen and carbon gas expansion. The subsequent cooling of graphene structures results in vertical sheets.
Polymers are characterized by different morphologies. Polymers made of copper complexes of porphyrinoids (CuATPC, CuATPC-Lut, and Cu-ATPP) cover the LIG surface with fibrous structures. Other polymers tend to flatten the surface of LIG likely filling the pristine cavities formed during LIG formation. This behavior may also be the reason for the current saturation observed for CoPATPC and CuATPP. In all cases, parts of the LIG surface are left uncovered.
Since LIG itself may be sensitive to analytes, the incompletely coated electrodes are expected to introduce a common signal that can be easily considered in the multivariate analysis of the electronic tongue data.
The effective functionalization on the LIG surface was confirmed by measuring, with a cyclic voltammetry setup, the redox reaction with potassium ferrocyanide (10 mM in a 1× PBS solution). The CV curves are shown in Figure 7.
With respect to the bare LIG, the peak of the current of functionalized electrodes occurs at different voltages and with a different current intensity. However, as shown in Figure 6, the LIG electrodes are only partially coated, and this behavior may also explain the small difference in the current intensity and peak voltage.

3.2. Response to pH

pH measurements were carried out in a universal buffer, and 0.1 M of NaOH was used to adjust the pH in a wide range from 2.5 to 10. The pH value of each step was independently measured with a pH meter (AMEL, 334-B). During the measurement, the solution was kept stirred at 200 rpm. The response curve of the sensors is shown in Figure 8a. All sensors exhibit a linear response to pH; the sensitivity to pH is shown in Figure 8b. The sensors share similar sensitivity of the order of 130 mV/decade, except the sensor coated with MnATPC whose sensitivity is about 10% less with respect to the others.
Since the sensors are sensitive to pH, the detection of analytes must be performed in a buffered solution where the pH value is kept constant. However, due to its formulation, the buffer adds additional ions to the solution. In Figure 8c, the response to the universal buffer and PBS is compared at the nominal pH value of 7.3. With respect to the universal buffer, the PBS depresses the sensor signal. It is noteworthy that the MnATPC sensors show less sensitivity to the PH, which is also insensitive to the formulation of the buffer solution. To elucidate the reasons for this behavior is beyond the scope of this paper. However, we can observe that, among the porphyrinoids studied in this paper, MnATPC is the only one where the metal atom is coordinated with the chlorine atom. We can surmise that the presence of the Cl atom in the axial ligand position may hinder the interaction with the compounds characterizing the buffer solutions.

3.3. Response to Analytes

The response to ascorbic acid was studied by measuring the signal of sensors during the increase in the concentrations of ascorbic acid to a buffered solution of PBS. The investigated concentrations are in the range of 100 nM to 100 µM.
Signals are shown in Figure 9a. The changes in the surface potential are attributed to the adsorption of ascorbate anions that result from the dissociation of ascorbic acid in the PBS solution. The relative response is evaluated as the ratio of the change in VDS in the steady-state condition with respect to the value before the injection of the analyte. These conditions correspond to the end and the beginning of each step in Figure 9b. The relative responses are plotted in Figure 7b. The relative sensor responses are fitted with the Langmuir function
V D S V D S = V D S V D S m a x · C K + C
where K is the affinity constant and V D S V D S m a x is the saturated relative response. All sensors are sensitive to ascorbic acid.
Figure 9c,d show the signals of sensors and the response curves with respect to dopamine. Dopamine was tested in the range of 0.5 µM to 2.5 µM. The signals in the case of dopamine are evident since dopamine, in the experimental conditions, is positively charged and consists of a protonated amino group [23]. All sensors show significant sensitivity to dopamine, and the response curves are well fitted by Langmuir functions. However, the response is lower with respect to ascorbic acid.
The response of the sensors to ascorbic acid has been compared to that to glucose (at 200 µM), sucrose (at 200 µM), malic acid (at 20 µM), citric acid (at 20 µM), uric acid (at 1.2 µM), and dopamine. All measurements were performed in a PBS background. All these compounds are known to be common interferences in biological samples. The signals of the sensors are shown in Figure 10. Compounds were added to the PBS background. As expected, the addition of 200 µM of glucose and 200 µM of sucrose did not result in a sensor response. A sequence of acids was then tested, spiking in succession 20 µM of citric acid, 20 µM of malic acid, and 1.2 µM of uric acid. Sensors showed a weak signal after each addition. Then, 1 µM of ascorbic acid, added to the PBS background, elicited a large response from all sensors. Finally, 1 µM of dopamine was added. A weak response to dopamine can be observed, except for ClMnATPC and CuATPC, which show a conspicuous signal variation.
The dominant response to ascorbic acid can be interpreted as being due to the combination of the electrocatalytic properties of porphyrins and the enhanced electron-transfer kinetic of LIG [24]. Sensitivity to ascorbic acid is often associated with the sensitivity to dopamine, so it is reasonable to assume that similar mechanisms rule the interactions with ascorbic acid and dopamine.

3.4. Detection of Ascorbic Acid in Artificial Tears

The capability of sensors to detect ascorbic acid in tears has been tested by measuring the response to ascorbic acid added to artificial tears. The formulation of the tested commercial artificial tears (Eumill Dry Repair Eye Drops) contains sodium hyaluronate (0.4%), trometamol, 2N hydrochloric acid, and sodium chloride. Stock solutions were prepared by mixing artificial tears and PBS at a 1:1 ratio. The stock solution was enriched with 110 µM of ascorbic acid and 2.8 µM of dopamine.
Figure 11 shows the signals of sensors exposed to artificial tears and tears with added ascorbic acid and dopamine. The salty composition of artificial tears elicits a weak response in the sensors while a large signal is observed when ascorbic acid and dopamine are added. The sensitivity to analytes with respect to the stock solution is shown in Figure 9.
The steady-state responses of the sensors to the analytes in the artificial tears were compared with those to pure compounds. Ascorbic acid and dopamine were measured at a growing concentration.
The data were analyzed by principal component analysis (PCA). Figure 12 shows the results of PCA in the format of a scores plot (Figure 12a) and biplot (Figure 12b).
The common correlation between the concentration and the sensor’s responses is a major correlation among the sensors. The scores plot is limited to the first two principal components that explain about 98% of the total variance in the data. In the biplot, scores and loadings are simultaneously plotted to enable the interpretation of the contribution of each sensor to the different directions in the scores plot. Due to the common response to the increasing concentrations, the loadings of all sensors are mostly aligned along the first principal component with the noteworthy exception of CuATPCLUT that is oriented toward ascorbic acid and Cu5.10ATTP that points toward dopamine.
Ascorbic acid and dopamine occupy distinct and separate regions of the scores plot, and the corresponding data are arranged in paths of growing concentration. The low responses to artificial tears are plotted close to the origin of the two paths indicating that this response is like that corresponding to low concentrations of analytes. The response to ascorbic acid and dopamine added to artificial tears is conspicuously different from basic artificial tears and lies close to the ascorbic acid path. This behavior illustrates the capability of the sensor array to detect ascorbic acid in tears and the substantial independence of ascorbic acid detection from dopamine.

4. Conclusions

The combination of laser-induced graphene manufacture and EGFET transduction greatly facilitates the development of electronic tongues. Furthermore, the use of easily accessible technologies and conventional microelectronic integrated devices expand the possibility to design low-cost sensors for a plethora of practical applications. In this paper, this approach was exploited to prepare an electronic tongue with in situ electropolymerized porphyrins and corroles as sensitive materials.
Porphyrinoid polymer EGFET sensors show excellent sensitivity toward ascorbic acid. The detection limit is lower than 100 nM and it is suitable for the detection of ascorbic acid in human samples. Sensors are also notably selective with respect to common interferents, such as dopamine and uric acid. However, the sensitivity to pH is not negligible in the wide range of 2.5 to 10. The sensitivity to pH could be independently exploited to develop pH sensors, but the detection of additional analytes requires buffering the solution. Additional tests on a complex substrate, such as artificial tears, demonstrated that the sensitivity and selectivity toward ascorbic acid are maintained, even in absence of a buffer-stabilized pH.

Author Contributions

This manuscript was written through contributions from all the authors. Conceptualization, R.P. and C.D.N.; methodology K.P., L.D.Z., R.P., R.C. and C.D.N.; investigation, K.P., V.A., G.M. and A.C.; writing—original draft preparation, K.P. and C.D.N.; writing—review and editing, K.P. and C.D.N.; supervision, C.D.N. All authors have read and agreed to the published version of the manuscript.

Funding

This research received no external funding.

Institutional Review Board Statement

Not applicable.

Informed Consent Statement

Not applicable.

Data Availability Statement

Data will be made available on request.

Conflicts of Interest

The authors declare no conflicts of interest.

References

  1. Manzini, I.; Schild, D.; Di Natale, C. Principles of odor coding in vertebrates and artificial chemosensory systems. Physiol. Rev. 2022, 102, 61–154. [Google Scholar] [CrossRef]
  2. Smith, K. Porphyrins. Compr. Coord. Chem. II 2003, 1, 493–506. [Google Scholar]
  3. Paolesse, R.; Nardis, S.; Monti, D.; Stefanelli, M.; Di Natale, C. Porphyrinoids for Chemical Sensor Applications. Chem. Rev. 2017, 117, 2517–2583. [Google Scholar] [CrossRef] [PubMed]
  4. Di Natale, C.; Gros, C.P.; Paolesse, R. Corroles at work: A small macrocycle for great applications. Chem. Soc. Rev. 2022, 51, 1277–1335. [Google Scholar] [CrossRef]
  5. Lvova, L.; Martinelli, E.; Dini, F.; Bergamini, A.; Paolesse, R.; Di Natale, C.; D’Amico, A. Clinical analysis of human urine by means of potentiometric electronic tongue. Talanta 2009, 77, 1097–1104. [Google Scholar] [CrossRef] [PubMed]
  6. Lvova, L.; Yaroshenko, I.; Kirsanov, D.; Di Natale, C.; Paolesse, R.; Legin, A. Electronic tongue for brand uniformity control: A case study of apulian red wines recognition and defects evaluation. Sensors 2018, 18, 2584. [Google Scholar] [CrossRef]
  7. Lvova, L.; Di Natale, C.; Paolesse, R. Porphyrin-based chemical sensors and multisensor arrays operating in the liquid phase. Sens. Actuators B Chem. 2013, 179, 21–31. [Google Scholar] [CrossRef]
  8. Han, F.; Zhang, D.; Aheto, J.H.; Feng, F.; Duan, T. Integration of a low-cost electronic nose and a voltammetric electronic tongue for red wines identification. Food Sci. Nutr. 2020, 8, 4330–4339. [Google Scholar] [CrossRef]
  9. Buczkowska, A.; Witkowska, E.; Górski, Ł.; Zamojska, A.; Szewczyk, K.W.; Wróblewski, W.; Ciosek, P. The monitoring of methane fermentation in sequencing batch bioreactor with flow-through array of miniaturized solid-state electrodes. Talanta 2010, 81, 1387–1392. [Google Scholar] [CrossRef]
  10. Lange, U.; Roznyatovskaya, N.; Mirsky, V. Conducting polymers in chemical sensors and arrays. Anal. Chim. Acta 2008, 614, 1–26. [Google Scholar] [CrossRef]
  11. Ji, W.; Wang, T.X.; Ding, X.; Lei, S.; Han, B.H. Porphyrin- and phthalocyanine-based porous organic polymers: From synthesis to application. Coord. Chem. Rev. 2021, 439, 213875. [Google Scholar] [CrossRef]
  12. Di Zazzo, L.; Filippo, I.D.; Magna, G.; Lvova, L.; Caroleo, F.; Stefanelli, M.; Duranti, L.; Nardis, S.; Di Natale, C.; Paolesse, R. Corrole Polymers as a Novel Materials for Room Temperature Resistive Gas Sensors. Adv. Sens. Res. 2024, 3, 2400005. [Google Scholar] [CrossRef]
  13. Van der spiegel, J.; Lauks, I.; Chan, P.; Babic, D. The extended gate chemically sensitive field effect transistor as multi-species microprobe. Sens. Actuators 1983, 4, 291–298. [Google Scholar] [CrossRef]
  14. Pullano, S.A.; Critello, C.D.; Mahbub, I.; Tasneem, N.T.; Shamsir, S.; Islam, S.K.; Greco, M.; Fiorillo, A.S. EGFET-based sensors for bioanalytical applications: A review. Sensors 2018, 18, 4042. [Google Scholar] [CrossRef]
  15. Ye, R.; James, D.K.; Tour, J.M. Laser-Induced Graphene: From Discovery to Translation. Adv. Mater. 2019, 31, 1803621. [Google Scholar] [CrossRef]
  16. Chen, Y.; Long, J.; Zhou, S.; Shi, D.; Huang, Y.; Chen, X.; Gao, J.; Zhao, N.; Wong, C.P. UV Laser-Induced Polyimide-to-Graphene Conversion: Modeling, Fabrication, and Application. Small Methods 2019, 3, 1900208. [Google Scholar] [CrossRef]
  17. Murray, R.; Burke, M.; Iacopino, D.; Quinn, A.J. Design of Experiments and Optimization of Laser-Induced Graphene. ACS Omega 2021, 6, 16736–16743. [Google Scholar] [CrossRef]
  18. Le, T.S.D.; Phan, H.P.; Kwon, S.; Park, S.; Jung, Y.; Min, J.; Chun, B.J.; Yoon, H.; Ko, S.H.; Kim, S.W.; et al. Recent Advances in Laser-Induced Graphene: Mechanism, Fabrication, Properties, and Applications in Flexible Electronics. Adv. Funct. Mater. 2022, 32, 2205158. [Google Scholar] [CrossRef]
  19. Pushparaj, K.; Catini, A.; Capuano, R.; Allegra, V.; Magna, G.; Antonelli, G.; Martinelli, E.; Agresti, A.; Pescetelli, S.; Sivalingam, Y.; et al. Nonenzymatic Potentiometric Detection of Ascorbic Acid with Porphyrin/ZnO-Functionalized Laser-Induced Graphene as an Electrode of EGFET Sensors. ACS Omega 2024, 9, 10650–10659. [Google Scholar] [CrossRef]
  20. Richer, S. Antioxidants and the eye. Int. Ophthalmol. Clin. 2000, 40, 1–16. [Google Scholar] [CrossRef]
  21. Abuja, P.M.; Albertini, R. Methods for monitoring oxidative stress, lipid peroxidation and oxidation resistance of lipoproteins. Clin. Chim. Acta 2001, 306, 1–17. [Google Scholar] [CrossRef] [PubMed]
  22. Sayyah, S.M.; Abd El-Rehim, S.S.; El-Deeb, M.M. Electropolymerization of pyrrole and characterization of the obtained polymer films. J. Appl. Polym. Sci. 2003, 90, 1783–1792. [Google Scholar] [CrossRef]
  23. Kurzatkowska, K.; Dolusic, E.; Dehaen, W.; Sieroń-Stołtny, K.; Sieroń, A.; Radecka, H. Gold electrode incorporating corrole as an ion-channel mimetic sensor for determination of dopamine. Anal. Chem. 2009, 81, 7397–7405. [Google Scholar] [CrossRef] [PubMed]
  24. Wan, Z.; Nguyen, N.T.; Gao, Y.; Li, Q. Laser induced graphene for biosensors. Sustain. Mater. Technol. 2020, 25, e00205. [Google Scholar] [CrossRef]
Figure 1. Chemical structure of the six monomers. CuATPC was polymerized with and without the addition of 2,6-lutidine whose structure is shown in the inset.
Figure 1. Chemical structure of the six monomers. CuATPC was polymerized with and without the addition of 2,6-lutidine whose structure is shown in the inset.
Chemosensors 13 00108 g001
Figure 2. Sketch of the polymerization cell. LIG pads are the working electrodes, where the polymer grows. Each cell is filled with the corresponding growth solution. Reference and counter electrodes are moved from cell to cell during sequential polymerization.
Figure 2. Sketch of the polymerization cell. LIG pads are the working electrodes, where the polymer grows. Each cell is filled with the corresponding growth solution. Reference and counter electrodes are moved from cell to cell during sequential polymerization.
Chemosensors 13 00108 g002
Figure 3. Scheme of the electronic tongue setup. In the inset, the electric transfer function of the seven MOSFETs is shown.
Figure 3. Scheme of the electronic tongue setup. In the inset, the electric transfer function of the seven MOSFETs is shown.
Chemosensors 13 00108 g003
Figure 4. Raman spectra of LIG electrodes.
Figure 4. Raman spectra of LIG electrodes.
Chemosensors 13 00108 g004
Figure 5. Cyclic voltammetry during the electropolymerization process obtained, in 20 cycles, by repeated potential scans at the rate of 100 mV/s. Black and red lines indicate the first and the last scans. Gray lines indicated the consecutive scans.
Figure 5. Cyclic voltammetry during the electropolymerization process obtained, in 20 cycles, by repeated potential scans at the rate of 100 mV/s. Black and red lines indicate the first and the last scans. Gray lines indicated the consecutive scans.
Chemosensors 13 00108 g005
Figure 6. FESEM images of pristine LIG electrodes and polymer-coated electrodes.
Figure 6. FESEM images of pristine LIG electrodes and polymer-coated electrodes.
Chemosensors 13 00108 g006
Figure 7. (a) Cyclic voltammetry measure of 10 mM of potassium ferrocyanide in 1× phosphate-buffered saline (1× PBS). (b) details of the voltammograms around the peak region.
Figure 7. (a) Cyclic voltammetry measure of 10 mM of potassium ferrocyanide in 1× phosphate-buffered saline (1× PBS). (b) details of the voltammograms around the peak region.
Chemosensors 13 00108 g007
Figure 8. (a) Sensor response curve with respect to pH; (b) sensor’s sensitivity toward pH; (c) comparison of sensor’s response to 1X PBS (pH 7.2) and universal buffer (pH 7.3).
Figure 8. (a) Sensor response curve with respect to pH; (b) sensor’s sensitivity toward pH; (c) comparison of sensor’s response to 1X PBS (pH 7.2) and universal buffer (pH 7.3).
Chemosensors 13 00108 g008
Figure 9. (a) Signals to growing concentrations of ascorbic acid. (b) Relative change in VDS with respect to the ascorbic acid concentration. Data are fitted by the Langmuir function, (c) signals to growing concentrations of dopamine, and (d) relative change in VDS with respect to the dopamine concentration. Data are fitted by the Langmuir function.
Figure 9. (a) Signals to growing concentrations of ascorbic acid. (b) Relative change in VDS with respect to the ascorbic acid concentration. Data are fitted by the Langmuir function, (c) signals to growing concentrations of dopamine, and (d) relative change in VDS with respect to the dopamine concentration. Data are fitted by the Langmuir function.
Chemosensors 13 00108 g009
Figure 10. Selectivity study. (a) Sensor signals for the successive addition of analytes. (b) Steady-state signal change in sensors in the tested compounds.
Figure 10. Selectivity study. (a) Sensor signals for the successive addition of analytes. (b) Steady-state signal change in sensors in the tested compounds.
Chemosensors 13 00108 g010
Figure 11. (a) Sensor array response toward artificial tears with and without AA; (b) relative response of the sensor toward artificial tears with and without AA.
Figure 11. (a) Sensor array response toward artificial tears with and without AA; (b) relative response of the sensor toward artificial tears with and without AA.
Chemosensors 13 00108 g011
Figure 12. PCA calculated for artificial tears and pure compounds. (a) Scores plot of the first two principal components, and (b) the corresponding biplot.
Figure 12. PCA calculated for artificial tears and pure compounds. (a) Scores plot of the first two principal components, and (b) the corresponding biplot.
Chemosensors 13 00108 g012
Table 1. Porphyrinoids used for electronic tongue assembly. For each molecule, the acronym used in this paper is listed.
Table 1. Porphyrinoids used for electronic tongue assembly. For each molecule, the acronym used in this paper is listed.
Molecule Acronym
Copper 5,10,15-(4-aminophenyl) corroleCuATPC
Cobalt Triphenylphosphine 5,10,15-Tris(4-aminophenyl) corroleCoPATPC
Manganese 5,10,15-(4-aminophenyl) corroleClMnATPC
Copper-5,10-Bis(4-aminophenyl)-15,20-diphenylporphyrin CuATPP
5,15-Bis(4-aminophenyl)-10,20-diphenylporphyrin5,15-ATPP
5,10-Bis(4-aminophenyl)-15,20-diphenylporphyrin5,10-ATPP
Disclaimer/Publisher’s Note: The statements, opinions and data contained in all publications are solely those of the individual author(s) and contributor(s) and not of MDPI and/or the editor(s). MDPI and/or the editor(s) disclaim responsibility for any injury to people or property resulting from any ideas, methods, instructions or products referred to in the content.

Share and Cite

MDPI and ACS Style

Pushparaj, K.; Di Zazzo, L.; Allegra, V.; Capuano, R.; Catini, A.; Magna, G.; Paolesse, R.; Di Natale, C. Detection of Ascorbic Acid in Tears with an Extended-Gate Field-Effect Transistor-Based Electronic Tongue Made of Electropolymerized Porphyrinoids on Laser-Induced Graphene Electrodes. Chemosensors 2025, 13, 108. https://doi.org/10.3390/chemosensors13030108

AMA Style

Pushparaj K, Di Zazzo L, Allegra V, Capuano R, Catini A, Magna G, Paolesse R, Di Natale C. Detection of Ascorbic Acid in Tears with an Extended-Gate Field-Effect Transistor-Based Electronic Tongue Made of Electropolymerized Porphyrinoids on Laser-Induced Graphene Electrodes. Chemosensors. 2025; 13(3):108. https://doi.org/10.3390/chemosensors13030108

Chicago/Turabian Style

Pushparaj, Kishore, Lorena Di Zazzo, Valerio Allegra, Rosamaria Capuano, Alexandro Catini, Gabriele Magna, Roberto Paolesse, and Corrado Di Natale. 2025. "Detection of Ascorbic Acid in Tears with an Extended-Gate Field-Effect Transistor-Based Electronic Tongue Made of Electropolymerized Porphyrinoids on Laser-Induced Graphene Electrodes" Chemosensors 13, no. 3: 108. https://doi.org/10.3390/chemosensors13030108

APA Style

Pushparaj, K., Di Zazzo, L., Allegra, V., Capuano, R., Catini, A., Magna, G., Paolesse, R., & Di Natale, C. (2025). Detection of Ascorbic Acid in Tears with an Extended-Gate Field-Effect Transistor-Based Electronic Tongue Made of Electropolymerized Porphyrinoids on Laser-Induced Graphene Electrodes. Chemosensors, 13(3), 108. https://doi.org/10.3390/chemosensors13030108

Note that from the first issue of 2016, this journal uses article numbers instead of page numbers. See further details here.

Article Metrics

Back to TopTop