Exploratory Analysis of Free and Glycosidically Bound Volatile Compounds in Australian-Grown and Imported Dragon Fruit: Implications for Industry Standard Development
Abstract
1. Introduction
2. Materials and Methods
2.1. Chemicals and Reagents
2.2. Sample Preparation and Extraction
2.3. Acid and Enzymatic Hydrolysis
2.4. GC-MS Parameters
2.5. Statistical Analysis
3. Results
3.1. Profiling of Free Volatile Compounds
3.2. Profiling of Glycosidic Volatile Compounds Released by Acid Hydrolysis
3.3. Profiling of Glycosidic Volatile Compounds Released by Enzymatic Hydrolysis
4. Discussion
4.1. Distribution of Volatile Compounds in Different Dragon Fruit Samples (Venn Diagram)
4.2. Principal Component Analysis (PCA)-Based Characterization of Dragon Fruit Volatile Profiles Across Varieties and Regions
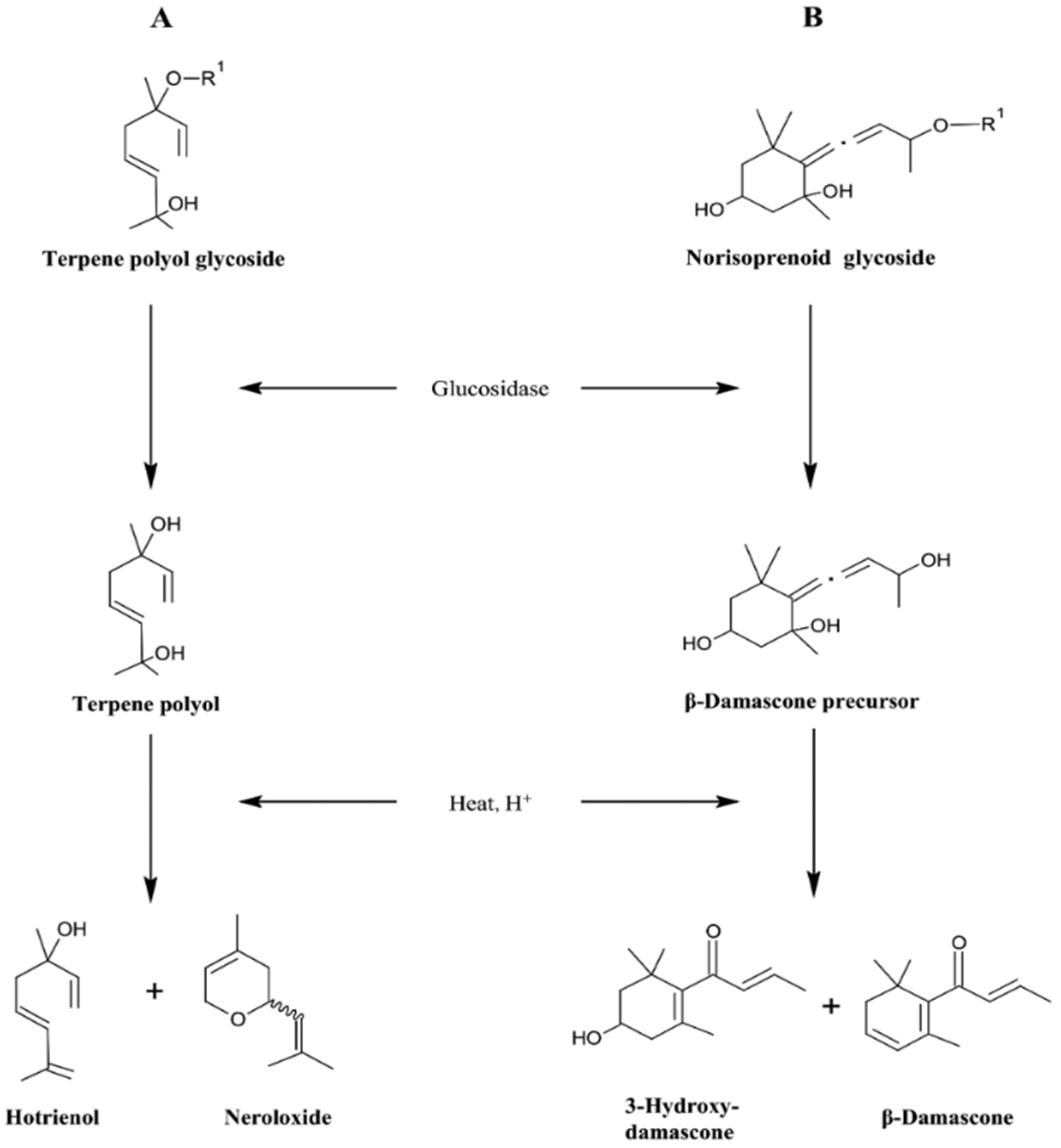
4.3. Comparison of Volatile Compounds Released by Acid and Enzymatic Hydrolysis
4.4. Implications on Standard Establishment
4.5. Recommendations for Future Research
5. Research Limitations and Recommendations for Future Research
6. Conclusions
Author Contributions
Funding
Data Availability Statement
Acknowledgments
Conflicts of Interest
Appendix A
| Compound Number | Compound |
|---|---|
| X1 | Acetoin_free |
| X2 | Tridecane_free |
| X3 | Acetic acid_free |
| X4 | 2,3-Butanediol_free |
| X5 | 1-Methoxy-2-propanol_free |
| X6 | Glyceraldehyde_free |
| X7 | Dihydroxyacetone_free |
| X8 | 1-Tetradecanol_free |
| X9 | Oxirane, tetradecyl-_free |
| X10 | 1-Hexadecanol_free |
| X11 | Nerolidol_free |
| X12 | Unknown A_free |
| X13 | 1-Nonadecanol_free |
| X14 | Unknown B_free |
| X15 | Tetradecanoic acid_free |
| X16 | Unknown C_free |
| X17 | trans-Geranylgeraniol_free |
| X18 | Farnesol_free |
| X19 | Unknown D_free |
| X20 | Unknown E_free |
| X21 | Hexadecanoic acid_free |
| X22 | Octadecanoic acid_free |
| X23 | Oleic acid_free |
| X24 | Unknown F_free |
| X25 | Squalene_free |
| X26 | Linoleic acid ethyl ester_free |
| X27 | Linoelaidic acid_free |
| X28 | [1,1′-Bicyclopropyl]-2-octanoic acid, 2′-hexyl-, methyl ester_free |
| X29 | Unknown G_free |
| X30 | 9-Octadecenamide_free |
| X31 | Acetoin_acid |
| X32 | Tridecane_acid |
| X33 | Acetic acid_acid |
| X34 | 2,3-Butanediol_acid |
| X35 | 1-Methoxy-2-propanol_acid |
| X36 | 1-Tetradecanol_acid |
| X37 | Oxirane, tetradecyl-_acid |
| X38 | 1-Hexadecanol_acid |
| X39 | 1-Nonadecanol_acid |
| X40 | Tetradecanoic acid_acid |
| X41 | Farnesol_acid |
| X42 | Hexadecanoic acid_acid |
| X43 | Oleic acid_acid |
| X44 | Unknown F_acid |
| X45 | Linoleic acid ethyl ester_acid |
| X46 | Linoelaidic acid_acid |
| X47 | Ethane_acid |
| X48 | Pentadecanoic acid_acid |
| X49 | Unknown H_acid |
| X50 | Unknown I_acid |
| X51 | Unknown J_acid |
| X52 | Unknown K_acid |
| X53 | Unknown L_acid |
| X54 | Unknown M_acid |
| X55 | Unknown N_acid |
| X56 | [1,1′-Bicyclopropyl]-2-octanoic acid, 2′-hexyl-, methyl ester_acid |
| X57 | Acetoin_enzyme |
| X58 | Tridecane_enzyme |
| X59 | 1-Methoxy-2-propanol_enzyme |
| X60 | 1-Tetradecanol_enzyme |
| X61 | 1-Hexadecanol_enzyme |
| X62 | 1-Nonadecanol_enzyme |
| X63 | Tetradecanoic acid_enzyme |
| X64 | Farnesol_enzyme |
| X65 | Hexadecanoic acid_enzyme |
| X66 | Oleic acid_enzyme |
| X67 | Linoleic acid ethyl ester_enzyme |
| X68 | Linoelaidic acid_enzyme |
| X69 | Prenol_enzyme |
| X70 | Ethane_enzyme |
| X71 | Phenylethyl alcohol_enzyme |
| X72 | Unknown O_enzyme |
| X73 | Unknown P_enzyme |
| X74 | Unknown Q_enzyme |
| X75 | Unknown R_enzyme |
| X76 | Unknown S_enzyme |
| X77 | [1,1′-Bicyclopropyl]-2-octanoic acid, 2′-hexyl-, methyl ester_enzyme |



References
- Salvin, S.; Bourke, M.; Byrne, T. The New Crop Industries Handbook; RIRDC: Canberra, Australia, 2004.
- Diczbalis, Y. Tropical Exotic Fruit Industry: Strategic Direction Setting 2012–2015; RIRDC: Canberra, Australia, 2012.
- Stahl-Biskup, E.; Intert, F.; Holthuijzen, J.; Stengele, M.; Schulz, G. Glycosidically bound volatiles—A review 1986–1991. Flavour Fragr. J. 1993, 8, 61–80. [Google Scholar] [CrossRef]
- Liang, Z.; Fang, Z.; Pai, A.; Luo, J.; Gan, R.; Gao, Y.; Lu, J.; Zhang, P. Glycosidically bound aroma precursors in fruits: A comprehensive review. Crit. Rev. Food Sci. Nutr. 2022, 62, 215–243. [Google Scholar] [CrossRef] [PubMed]
- Schreier, P.; Drawert, F.; Junker, A. Identification of volatile constituents from grapes. J. Agric. Food Chem. 1976, 24, 331–336. [Google Scholar] [CrossRef]
- Winterhalter, P.; Skouroumounis, G.K. Glycoconjugated aroma compounds: Occurrence, role and biotechnological transformation. Biotechnol. Aroma Compd. 2006, 23, 73–105. [Google Scholar]
- Sarry, J.-E.; Günata, Z. Plant and microbial glycoside hydrolases: Volatile release from glycosidic aroma precursors. Food Chem. 2004, 87, 509–521. [Google Scholar] [CrossRef]
- Boulanger, R.; Crouzet, J. Free and bound flavour components of Amazonian fruits: 3-glycosidically bound components of cupuacu. Food Chem. 2000, 70, 463–470. [Google Scholar] [CrossRef]
- Chen, X.; Fedrizzi, B.; Kilmartin, P.A.; Quek, S.Y. Free and glycosidic volatiles in tamarillo (Solanum betaceum Cav. syn. Cyphomandra betacea Sendt.) juices prepared from three cultivars grown in New Zealand. J. Agric. Food Chem. 2021, 69, 4518–4532. [Google Scholar] [CrossRef] [PubMed]
- Sakho, M.; Chassagne, D.; Crouzet, J. African mango glycosidically bound volatile compounds. J. Agric. Food Chem. 1997, 45, 883–888. [Google Scholar] [CrossRef]
- Pérez, A.G.; Cert, A.; Ríos, J.J.; Olías, J.M. Free and glycosidically bound volatile compounds from two banana cultivars: Valery and Pequena Enana. J. Agric. Food Chem. 1997, 45, 4393–4397. [Google Scholar] [CrossRef]
- Gunata, Z.; Bitteur, S.; Brillouet, J.-M.; Bayonove, C.; Cordonnier, R. Sequential enzymic hydrolysis of potentially aromatic glycosides from grape. Carbohydr. Res. 1988, 184, 139–149. [Google Scholar] [CrossRef]
- Günata, Z.; Blondeel, C.; Vallier, M.; Lepoutre, J.; Sapis, J.; Watanabe, N. An endoglycosidase from grape berry skin of cv. M. Alexandria hydrolyzing potentially aromatic disaccharide glycosides. J. Agric. Food Chem. 1998, 46, 2748–2753. [Google Scholar] [CrossRef]
- Vasserot, Y.; Arnaud, A.; Galzy, P. Monoterpenol glycosides in plants and their biotechnological transformation. Acta Biotechnol. 1995, 15, 77–95. [Google Scholar] [CrossRef]
- Kinoshita, T.; Hirata, S.; Yang, Z.; Baldermann, S.; Kitayama, E.; Matsumoto, S.; Suzuki, M.; Fleischmann, P.; Winterhalter, P.; Watanabe, N. Formation of damascenone derived from glycosidically bound precursors in green tea infusions. Food Chem. 2010, 123, 601–606. [Google Scholar] [CrossRef]
- Muradova, M.; Proskura, A.; Canon, F.; Aleksandrova, I.; Schwartz, M.; Heydel, J.-M.; Baranenko, D.; Nadtochii, L.; Neiers, F. Unlocking Flavor Potential Using Microbial β-Glucosidases in Food Processing. Foods 2023, 12, 4484. [Google Scholar] [CrossRef] [PubMed]
- de Morais Souto, B.; Barbosa, M.F.; Sales, R.M.M.; Moura, S.C.; Araújo, A.d.R.B.; Quirino, B.F. The potential of β-glucosidases for aroma and flavor improvement in the food industry. Microbe 2023, 1, 100004. [Google Scholar] [CrossRef]
- Gao, J.; Wu, B.-P.; Gao, L.-X.; Liu, H.-R.; Zhang, B.; Sun, C.-D.; Chen, K.-S. Glycosidically bound volatiles as affected by ripening stages of Satsuma mandarin fruit. Food Chem. 2018, 240, 1097–1105. [Google Scholar] [CrossRef]
- Yu, A.N.; Yang, Y.N.; Yang, Y.; Zheng, F.P.; Sun, B.G. Free and bound volatile compounds in the Rubus coreanus fruits of different ripening stages. J. Food Biochem. 2019, 43, e12964. [Google Scholar] [CrossRef] [PubMed]
- Chen, X.; Quek, S.Y.; Fedrizzi, B.; Kilmartin, P.A. Characterization of free and glycosidically bound volatile compounds from tamarillo (Solanum betaceum Cav.) with considerations on hydrolysis strategies and incubation time. LWT 2020, 124, 109178. [Google Scholar] [CrossRef]
- Johnson, J.B.; Mani, J.S.; White, S.; Brown, P.; Naiker, M. Pungent and volatile constituents of dried Australian ginger. Curr. Res. Food Sci. 2021, 4, 612–618. [Google Scholar] [CrossRef] [PubMed]
- Hampel, D.; Robinson, A.L.; Johnson, A.; Ebeler, S.E. Direct hydrolysis and analysis of glycosidically bound aroma compounds in grapes and wines: Comparison of hydrolysis conditions and sample preparation methods. Aust. J. Grape Wine Res. 2014, 20, 361–377. [Google Scholar] [CrossRef]
- Dziadas, M.; Jeleń, H.H. Comparison of enzymatic and acid hydrolysis of bound flavor compounds in model system and grapes. Food Chem. 2016, 190, 412–418. [Google Scholar] [CrossRef]
- Muttray, A.; Gosepath, J.; Brieger, J.; Faldum, A.; Mayer-Popken, O.; Jung, D.; Roßbach, B.; Mann, W.; Letzel, S. Acute effects of an exposure to 100 ppm 1-methoxypropanol-2 on the upper airways of human subjects. Toxicol. Lett. 2013, 220, 187–192. [Google Scholar] [CrossRef] [PubMed]
- Dibello, E.; Gamenara, D.; Seoane, G. Preparation of O-Protected Glyceraldehydes as Building Blocks in Organic Synthesis. Org. Prep. Proced. Int. 2015, 47, 415–442. [Google Scholar] [CrossRef]
- Green, S.; Whalen, E.; Molokie, E. Dihydroxyacetone: Production and uses. J. Biochem. Microbiol. Technol. Eng. 1961, 3, 351–355. [Google Scholar] [CrossRef]
- Niemirich, O.; Frolova, N.; Ustymenko, I.; Havrysh, A. Differences in the composition of vocable compounds in fresh and dried mixed heat supply of white rolled cabbage. Ukr. Food J. 2020, 9, 864–872. [Google Scholar] [CrossRef]
- Nistor, A.-M.; Niculaua, M.; Luchian, C.-E.; Cotan, Ș.-D.; Teliban, I.-V.; Cotea, V.V. Negative influence of temperature over flavor compounds from wine. Lucr. Ştiinţifice Ser. Hortic. 2017, 60, 127–132. [Google Scholar]
- Wang, Y.; Kays, S. Contribution of volatile compounds to the characteristic aroma of BakedJewel’ Sweetpotatoes. J. Am. Soc. Hortic. Sci. 2000, 125, 638–643. [Google Scholar] [CrossRef]
- Li, J.; Yu, X.; Shan, Q.; Shi, Z.; Li, J.; Zhao, X.; Chang, C.; Yu, J. Integrated volatile metabolomic and transcriptomic analysis provides insights into the regulation of floral scents between two contrasting varieties of Lonicera japonica. Front. Plant Sci. 2022, 13, 989036. [Google Scholar] [CrossRef] [PubMed]
- Osawa, C.; Gonçalves, L.; Da Silva, M. Odor significance of the volatiles formed during deep-frying with palm olein. J. Am. Oil Chem. Soc. 2013, 90, 183–189. [Google Scholar] [CrossRef]
- Sumi, E.; Anandan, R.; Rajesh, R.; Ravishankar, C.; Mathew, S. Nutraceutical and therapeutic applications of squalene. Fish. Technol. 2018, 55, 229–237. [Google Scholar]
- Niu, Y.; Liu, Y.; Xiao, Z. Evaluation of perceptual interactions between ester aroma components in Langjiu by GC-MS, GC-O, sensory analysis, and vector model. Foods 2020, 9, 183. [Google Scholar] [CrossRef] [PubMed]
- Ou, C.; Bi, X.; Liu, Y.; Fu, T.; Ouyang, Q.; Li, S.; Chen, C. Thermal degradation of capsaicin and dihydrocapsaicin: Mechanism and hazards of volatile products. J. Anal. Appl. Pyrolysis 2024, 182, 106714. [Google Scholar] [CrossRef]
- Ho, P.L.; Tran, D.T.; Hertog, M.L.; Nicolaï, B.M. Effect of controlled atmosphere storage on the quality attributes and volatile organic compounds profile of dragon fruit (Hylocereus undatus). Postharvest Biol. Technol. 2021, 173, 111406. [Google Scholar] [CrossRef]
- Wu, Q.; Gao, H.; You, Z.; Zhang, Z.; Zhu, H.; He, M.; He, J.; Duan, X.; Jiang, Y.; Yun, Z. Multiple metabolomics comparatively investigated the pulp breakdown of four dragon fruit cultivars during postharvest storage. Food Res. Int. 2023, 164, 112410. [Google Scholar] [CrossRef] [PubMed]
- Li, Y.; Zhao, H.; Liu, X. Influence of inoculation with different non-Saccharomyces yeasts and Saccharomyces cerevisiae on the aroma chemical composition and sensorial features of red dragon fruit wine. Int. J. Food Eng. 2024, 20, 743–754. [Google Scholar] [CrossRef]
- Xiao, Z.; Lu, J.R. Generation of acetoin and its derivatives in foods. J. Agric. Food Chem. 2014, 62, 6487–6497. [Google Scholar] [CrossRef]
- Juni, E. Mechanisms of formation of acetoin by bacteria. J. Biol. Chem. 1952, 195, 715–726. [Google Scholar] [CrossRef]
- Majdodin, N.; Baniyaghoob, S.; Tahvildari, K.; Vahid, A. A Comprehensive Review of Classic and Modern Natural Gas Odorants. Iran. J. Chem. Chem. Eng. (IJCCE) 2024, 43, 2831–2854. [Google Scholar]
- Liu, C.; Yang, P.; Wang, H.; Song, H. Identification of odor compounds and odor-active compounds of yogurt using DHS, SPME, SAFE, and SBSE/GC-O-MS. LWT 2022, 154, 112689. [Google Scholar] [CrossRef]
- Wright, M.; Klasson, K.T.; Kimura, K. Production of acetoin from sweet sorghum syrup and beet juice via fermentation. Sugar Tech 2020, 22, 354–359. [Google Scholar] [CrossRef]
- Liu, Z.; Zhao, M.; Li, J. Aroma volatiles in litchi fruit: A mini-review. Horticulturae 2022, 8, 1166. [Google Scholar] [CrossRef]
- Zhou, C.; Shen, H.; Yan, S.; Ma, C.; Leng, J.; Song, Y.; Gao, N. Acetoin Promotes Plant Growth and Alleviates Saline Stress by Activating Metabolic Pathways in Lettuce Seedlings. Plants 2024, 13, 3312. [Google Scholar] [CrossRef] [PubMed]
- Petrov, K.; Petrova, P. Current advances in microbial production of acetoin and 2,3-butanediol by Bacillus spp. Fermentation 2021, 7, 307. [Google Scholar] [CrossRef]
- Zhang, L.; Singh, R.; Sivakumar, D.; Guo, Z.; Li, J.; Chen, F.; He, Y.; Guan, X.; Kang, Y.C.; Lee, J.-K. An artificial synthetic pathway for acetoin, 2, 3-butanediol, and 2-butanol production from ethanol using cell free multi-enzyme catalysis. Green Chem. 2018, 20, 230–242. [Google Scholar] [CrossRef]
- Zhang, W.; Wang, S.; Yang, J.; Kang, C.; Huang, L.; Guo, L. Glycosylation of plant secondary metabolites: Regulating from chaos to harmony. Environ. Exp. Bot. 2022, 194, 104703. [Google Scholar] [CrossRef]
- Musilova, L.; Ridl, J.; Polivkova, M.; Macek, T.; Uhlik, O. Effects of secondary plant metabolites on microbial populations: Changes in community structure and metabolic activity in contaminated environments. Int. J. Mol. Sci. 2016, 17, 1205. [Google Scholar] [CrossRef]
- Harren, F.J.; Cristescu, S.M. Online, real-time detection of volatile emissions from plant tissue. AoB Plants 2013, 5, plt003. [Google Scholar] [CrossRef] [PubMed]
- Kimmerer, T.W.; Kozlowski, T.T. Ethylene, ethane, acetaldehyde, and ethanol production by plants under stress. Plant Physiol. 1982, 69, 840–847. [Google Scholar] [CrossRef]
- Santosa, I.; Ram, P.; Boamfa, E.; Laarhoven, L.; Reuss, J.; Jackson, M.; Harren, F. Patterns of peroxidative ethane emission from submerged rice seedlings indicate that damage from reactive oxygen species takes place during submergence and is not necessarily a post-anoxic phenomenon. Planta 2007, 226, 193–202. [Google Scholar] [CrossRef] [PubMed]
- Taiti, C.; Costa, C.; Menesatti, P.; Caparrotta, S.; Bazihizina, N.; Azzarello, E.; Petrucci, W.A.; Masi, E.; Giordani, E. Use of volatile organic compounds and physicochemical parameters for monitoring the post-harvest ripening of imported tropical fruits. Eur. Food Res. Technol. 2015, 241, 91–102. [Google Scholar] [CrossRef]
- Scognamiglio, J.; Jones, L.; Letizia, C.; Api, A. Fragrance material review on phenylethyl alcohol. Food Chem. Toxicol. 2012, 50, S224–S239. [Google Scholar] [CrossRef] [PubMed]
- Vranová, E.; Coman, D.; Gruissem, W. Structure and dynamics of the isoprenoid pathway network. Mol. Plant 2012, 5, 318–333. [Google Scholar] [CrossRef] [PubMed]
- Schwab, W.; Davidovich-Rikanati, R.; Lewinsohn, E. Biosynthesis of plant-derived flavor compounds. Plant J. 2008, 54, 712–732. [Google Scholar] [CrossRef] [PubMed]
- Dudareva, N.; Klempien, A.; Muhlemann, J.K.; Kaplan, I. Biosynthesis, function and metabolic engineering of plant volatile organic compounds. New Phytol. 2013, 198, 16–32. [Google Scholar] [CrossRef] [PubMed]
- Croy, I.; Lange, K.; Krone, F.; Negoias, S.; Seo, H.-S.; Hummel, T. Comparison between odor thresholds for phenyl ethyl alcohol and butanol. Chem. Senses 2009, 34, 523–527. [Google Scholar] [CrossRef]
- Jiang, Y.; Ma, L.; Yuan, Y.; Gong, X.; Lin, L. Changes of aroma components of pineapple wine during fermentation with ADT strain. In IOP Conference Series: Materials Science and Engineering; IOP Publishing: Bristol, UK, 2018; p. 052004. [Google Scholar]
- Shuai, X.; Zhang, M.; Ma, F.; Du, L. Analysis of Volatile Components in Gui Qi Mango Fruit Wine. In IOP Conference Series: Earth and Environmental Science; IOP Publishing: Bristol, UK, 2020; p. 022041. [Google Scholar]
- Omata, A.; Yomogida, K.; Nakamura, S.; Hashimoto, S.; Koba, S.; Furukawa, K.; Noro, S. Volatile components of apple flowers. Flavour Fragr. J. 1990, 5, 19–22. [Google Scholar] [CrossRef]
- Shende, V.V.; Bauman, K.D.; Moore, B.S. The shikimate pathway: Gateway to metabolic diversity. Nat. Prod. Rep. 2024, 41, 604–648. [Google Scholar] [CrossRef] [PubMed]
- Kumar, A.; Zhimo, V.Y.; Biasi, A.; Feygenberg, O.; Salim, S.; White, J.F.; Wisniewski, M.; Droby, S. Microbial volatiles: Prospects for plant defense and disease management. In Food Security and Plant Disease Management; Kumar, A., Droby, S., Eds.; Elsevier: Amsterdam, The Netherlands, 2021; pp. 387–404. [Google Scholar]
- Li, X.-B.; Hu, C.-M.; Li, C.-H.; Ji, G.-Y.; Luo, S.-Z.; Cao, Y.; Ji, K.-P.; Tan, Q.; Bao, D.-P.; Shang, J.-J. LC/MS-and GC/MS-based metabolomic profiling to determine changes in flavor quality and bioactive components of Phlebopus portentosus under low-temperature storage. Front. Nutr. 2023, 10, 1168025. [Google Scholar] [CrossRef] [PubMed]
- Lu, X.; Huang, L.; Scheller, H.V.; Keasling, J.D. Medicinal terpenoid UDP-glycosyltransferases in plants: Recent advances and research strategies. J. Exp. Bot. 2023, 74, 1343–1357. [Google Scholar] [CrossRef]
- Rahman, H.; Sitompul, J.P.; Tjokrodiningrat, S. The composition of fatty acids in several vegetable oils from Indonesia. Biodiversitas J. Biol. Divers. 2022, 23, 2167–2176. [Google Scholar] [CrossRef]
- Davis, R.A.; Fettinger, J.C.; Gervay-Hague, J. Tandem glycosyl iodide glycosylation and regioselective enzymatic acylation affords 6-O-tetradecanoyl-α-d-cholesterylglycosides. J. Org. Chem. 2014, 79, 8447–8452. [Google Scholar] [CrossRef] [PubMed]
- Zhu, F.; Du, B.; Ma, Y.; Li, J. The glycosidic aroma precursors in wine: Occurrence, characterization and potential biological applications. Phytochem. Rev. 2017, 16, 565–571. [Google Scholar] [CrossRef]
- Timell, T. The acid hydrolysis of glycosides: I. General conditions and the effect of the nature of the aglycone. Can. J. Chem. 1964, 42, 1456–1472. [Google Scholar] [CrossRef]
- Saunders, M.; Chandrasekhar, J.; Schleyer, P.V.R. Rearrangements of carbocations. In Organic Chemistry: A Series of Monographs; Elsevier: Amsterdam, The Netherlands, 1980; Volume 42, pp. 1–53. [Google Scholar]
- Manassen, J. The Mechanism of Dehydration of Alcohols. In Advances in Catalysis; Academic Press: Cambridge, MA, USA, 1966; p. 49. [Google Scholar]
- Wang, Z.; Chen, K.; Liu, C.; Ma, L.; Li, J. Effects of glycosidase on glycoside-bound aroma compounds in grape and cherry juice. J. Food Sci. Technol. 2023, 60, 761–771. [Google Scholar] [CrossRef] [PubMed]
- Lu, H.; Zhao, H.; Zhong, T.; Chen, D.; Wu, Y.; Xie, Z. Molecular Regulatory Mechanisms Affecting Fruit Aroma. Foods 2024, 13, 1870. [Google Scholar] [CrossRef] [PubMed]
- Liu, B.; Xu, X.-Q.; Cai, J.; Lan, Y.-B.; Zhu, B.-Q.; Wang, J. The free and enzyme-released volatile compounds of distinctive Vitis amurensis var. Zuoshanyi grapes in China. Eur. Food Res. Technol. 2015, 240, 985–997. [Google Scholar] [CrossRef]
- Baig, K. Interaction of enzymes with lignocellulosic materials: Causes, mechanism and influencing factors. Bioresour. Bioprocess. 2020, 7, 1–19. [Google Scholar] [CrossRef]
- Zhang, S.; Wang, K.; Qin, Y.; Zhu, S.; Gao, Q.; Liu, D. The synthesis, biological activities and applications of protein–polysaccharide conjugates in food system: A review. Food Qual. Saf. 2023, 7, fyad006. [Google Scholar] [CrossRef]
- Ghaste, M.; Narduzzi, L.; Carlin, S.; Vrhovsek, U.; Shulaev, V.; Mattivi, F. Chemical composition of volatile aroma metabolites and their glycosylated precursors that can uniquely differentiate individual grape cultivars. Food Chem. 2015, 188, 309–319. [Google Scholar] [CrossRef] [PubMed]
- Harguindeguy, M.; Fissore, D. On the effects of freeze-drying processes on the nutritional properties of foodstuff: A review. Dry Technol. 2020, 38, 846–868. [Google Scholar] [CrossRef]
- Oikawa, A.; Otsuka, T.; Jikumaru, Y.; Yamaguchi, S.; Matsuda, F.; Nakabayashi, R.; Takashina, T.; Isuzugawa, K.; Saito, K.; Shiratake, K. Effects of freeze-drying of samples on metabolite levels in metabolome analyses. J. Sep. Sci. 2011, 34, 3561–3567. [Google Scholar] [CrossRef] [PubMed]
- Shofian, N.M.; Hamid, A.A.; Osman, A.; Saari, N.; Anwar, F.; Dek, M.S.P.; Hairuddin, M.R. Effect of freeze-drying on the antioxidant compounds and antioxidant activity of selected tropical fruits. Int. J. Mol. Sci. 2011, 12, 4678–4692. [Google Scholar] [CrossRef]
- Bizzo, H.R.; Brilhante, N.S.; Nolvachai, Y.; Marriott, P.J. Use and abuse of retention indices in gas chromatography. J. Chromatogr. A 2023, 1708, 464376. [Google Scholar] [CrossRef] [PubMed]
- Summer, L.; Amberg, A.; Barrett, D.; Beale, M.; Beger, R.; Daykin, C.; Fan, T.; Fiehn, O.; Goodacre, R.; Griffin, J. Proposed minimum reporting standards for chemical analysis. Metabolomics 2007, 3, 211–221. [Google Scholar] [CrossRef] [PubMed]









| Sample ID | Brix° | pH |
|---|---|---|
| QLDW | 14.4 | 4.56 |
| NTW | 14.3 | 4.61 |
| QLDR | 15.3 | 5.23 |
| OverseasW | 14.0 | 4.42 |
| OverseasR | 15.0 | 4.86 |
| Peak No. | RT/Min | Compound Name | Structure | Class | Odor | Sample Identified |
|---|---|---|---|---|---|---|
| 1 | 2.505 | Acetoin | ![]() | Ketone | Butter, cream * | NTW |
| 2 | 2.995–3.276 | Tridecane | ![]() | Alkane hydrocarbon | Alkane * | QLDW, QLDR, NTW |
| 3 | 3.75 | Acetic acid | ![]() | Organic acid | Sour * | NTW |
| 4 | 4.61 | 2,3-Butanediol | ![]() | Alcohol | Fruity * | NTW |
| 5 | 4.995 | 1-Methoxy-2-propanol | ![]() | Alcohol | Sweet ether-like [24] | NTW |
| 6 | 9.305 | Glyceraldehyde | ![]() | Aldose | Mild fruity [25] | QLDW |
| 7 | 10.19 | Dihydroxyacetone | ![]() | Ketotriose monosaccharide | Sweet [26] | QLDW |
| 8 | 11.215–11.350 | 1-Tetradecanol | ![]() | Saturated fatty alcohol | Coconut * | QLDW, QLDR, NTW, OverseasW, OverseasR |
| 9 | 11.917 | Oxirane, tetradecyl- | ![]() | Fatty acyls | Pungent odor [27] | QLDR |
| 10 | 13.105–13.277 | 1-Hexadecanol | ![]() | Saturated fatty alcohol | Flower, waxy * | QLDW, QLDR, NTW, OverseasW, OverseasR |
| 11 | 14.456 | Nerolidol | ![]() | Sesquiterpene alcohol | Wood, flower, waxy * | QLDR |
| 12 | 14.45 | Unknown A | N/A | N/A | N/A | QLDW |
| 13 | 14.866–15.065 | 1-Nonadecanol | ![]() | Saturated fatty alcohol | Sensation of fuel [28] | QLDW, QLDR, NTW, OverseasW, OverseasR |
| 14 | 15.548 | Unknown B | N/A | N/A | N/A | QLDR |
| 15 | 15.621 | Tetradecanoic acid | ![]() | Saturated fatty acid | Waxy [29] | NTW |
| 16 | 15.678 | Unknown C | N/A | N/A | N/A | QLDR |
| 17 | 16.066–16.077 | trans-Geranylgeraniol | ![]() | Diterpenoid alcohol | - | QLDW, QLDR |
| 18 | 16.231–17.534 | Farnesol | ![]() | Sesquiterpenoid alcohol | Flowery, weak citrus–lime odor [30] | QLDR, NTW, OverseasW, OverseasR |
| 19 | 16.567 | Unknown D | N/A | N/A | N/A | QLDR |
| 20 | 17.015 | Unknown E | N/A | N/A | N/A | QLDW |
| 21 | 17.916–18.076 | Hexadecanoic acid | ![]() | Saturated fatty acid | Waxy [31] | QLDW, QLDR, NTW, OverseasW, OverseasR |
| 22 | 22.07 | Octadecanoic acid | ![]() | Saturated fatty acid | Waxy [31] | NTW |
| 23 | 22.7 | Oleic acid | ![]() | Unsaturated fatty acid | Fat * | NTW |
| 24 | 22.71 | Unknown F | N/A | N/A | N/A | OverseasW, OverseasR |
| 25 | 22.247–22.521 | Squalene | ![]() | Triterpenoids | Odorless [32] | QLDW, QLDR, NTW, OverseasW, OverseasR |
| 26 | 23.745–23.785 | Linoleic acid ethyl ester | ![]() | Fatty acid ethyl ester | Fatty [33] | QLDW, QLDR |
| 27 | 24.051 | Linoelaidic acid | ![]() | Polyunsaturated fatty acid | - | NTW |
| 28 | 26.135 | [1,1′-Bicyclopropyl]-2-octanoic acid, 2′-hexyl-, methyl ester | ![]() | Ester | - | NTW |
| 29 | 31.79–32.425 | Unknown G | N/A | N/A | N/A | QLDW, QLDR, NTW, OverseasW, OverseasR |
| 30 | 32.667–33.236 | 9-Octadecenamide | ![]() | Fatty acid amide | Plastic-like odor [34] | QLDW, QLDR, NTW, OverseasW, OverseasR |
| Peak No. | RT/Min | Compound Name | Structure | Class | Odor | Sample Identified |
|---|---|---|---|---|---|---|
| 1 | 2.505 | Acetoin | ![]() | Ketone | Butter, cream * | NTW |
| 2 | 3.305–3.3266 | Tridecane | ![]() | Alkane hydrocarbon | Alkane * | QLDW, QLDR, NTW |
| 3 | 3.75 | Acetic acid | ![]() | Organic acid | Sour * | NTW |
| 31 | 4.355 | Ethane | ![]() | Alkane | Odorless [40] | NTW |
| 4 | 4.61 | 2,3-Butanediol | ![]() | Glycol | Creamy [41] | NTW |
| 5 | 4.98 | 1-Methoxy-2-propanol | ![]() | Alcohol | Sweet ether-like [24] | NTW |
| 8 | 11.34–11.356 | 1-Tetradecanol | ![]() | Saturated fatty alcohol | Coconut * | QLDW, QLDR, NTW, OverseasW, OverseasR |
| 9 | 12.151 | Oxirane, tetradecyl- | ![]() | Fatty acyls | Pungent odor [27] | QLDR |
| 10 | 13.26–13.281 | 1-Hexadecanol | ![]() | Saturated fatty alcohol | Flower, waxy * | QLDW, QLDR, NTW, OverseasW, OverseasR |
| 32 | 13.836 | Pentadecanoic acid | ![]() | Saturated fatty acid | Waxy [31] | QLDR |
| 33 | 14.625 | Unknown H | N/A | N/A | N/A | QLDR |
| 13 | 15.051–15.08 | 1-Nonadecanol | ![]() | Saturated fatty alcohol | Sensation of fuel [28] | QLDW, QLDR, NTW, OverseasW, OverseasR |
| 15 | 15.611–15.62 | Tetradecanoic acid | ![]() | Saturated fatty acid | Waxy [29] | QLDW, QLDR, NTW |
| 34 | 16.225 | Unknown I | N/A | N/A | N/A | OverseasR |
| 18 | 16.235–16.245 | Farnesol | ![]() | Sesquiterpenoid alcohol | Flowery, weak citrus–lime odor [30] | QLDW, QLDR, NTW, OverseasW |
| 35 | 17.75 | Unknown J | N/A | N/A | N/A | QLDR |
| 21 | 18.055–18.075 | Hexadecanoic acid | ![]() | Saturated fatty acid | Waxy [31] | QLDW, QLDR, NTW, OverseasW, OverseasR |
| 36 | 22.07 | Unknown K | N/A | N/A | N/A | NTW |
| 37 | 22.655 | Unknown L | N/A | N/A | N/A | QLDW |
| 24 | 22.711 | Unknown F | N/A | N/A | N/A | QLDW, OverseasW |
| 23 | 22.66–22.69 | Oleic acid | ![]() | Unsaturated fatty acid | Fat * | QLDR, NTW |
| 38 | 22.686 | Unknown M | N/A | N/A | N/A | OverseasR |
| 39 | 23.398 | Unknown N | N/A | N/A | N/A | OverseasW |
| 28 | 23.99–24.053 | [1,1′-Bicyclopropyl]-2-octanoic acid, 2′-hexyl-, methyl ester | ![]() | Ester | - | OverseasW |
| 26 | 24.001 | Linoleic acid ethyl ester | ![]() | Fatty acid ethyl ester | Fatty [33] | QLDR |
| 27 | 24.036 | Linoelaidic acid | ![]() | Polyunsaturated fatty acid | - | NTW |
| Peak No. | RT/Min | Compound Name | Structure | Class | Odor | Sample Identified |
|---|---|---|---|---|---|---|
| 1 | 2.5 | Acetoin | ![]() | Ketone | Butter, cream * | NTW |
| 40 | 2.665 | Prenol | ![]() | Alcohol | Fruity ** | NTW |
| 2 | 3.316 | Tridecane | ![]() | Alkane hydrocarbon | Alkane * | QLDW |
| 31 | 4.35–4.355 | Ethane | ![]() | Alkane | Odorless [40] | NTW, OverseasW |
| 5 | 4.976 | 1-Methoxy-2-propanol | ![]() | Alcohol | Sweet-ether like [24] | NTW |
| 41 | 8.536 | Phenylethyl alcohol | ![]() | Aryl alkyl alcohol | Rose–honey-like odor [53] | NTW |
| 8 | 11.34–11.356 | 1-Tetradecanol | ![]() | Saturated fatty alcohol | Coconut * | QLDW, QLDR, NTW, OverseasW, OverseasR |
| 10 | 13.26–13.282 | 1-Hexadecanol | ![]() | Saturated fatty alcohol | Flower, waxy * | QLDW, NTW, OverseasW, OverseasR |
| 42 | 14.63 | Unknown O | N/A | N/A | N/A | QLDR |
| 13 | 15.055–15.076 | 1-Nonadecanol | ![]() | Saturated fatty alcohol | Sensation of fuel [28] | QLDW, QLDR, NTW, OverseasW, OverseasR |
| 43 | 15.615 | Unknown P | N/A | N/A | N/A | QLDW, QLDR |
| 15 | 15.625 | Tetradecanoic acid | ![]() | Saturated fatty acid | Waxy [29] | NTW |
| 44 | 16.235 | Unknown Q | N/A | N/A | N/A | NTW, OverseasR |
| 18 | 16.235–16.241 | Farnesol | ![]() | Sesquiterpenoid alcohol | Flowery, weak citrus–lime odor [30] | QLDW, QLDR, OverseasW |
| 45 | 17.76 | Unknown R | N/A | N/A | N/A | QLDR |
| 21 | 18.055–18.08 | Hexadecanoic acid | ![]() | Saturated fatty acid | Waxy [31] | QLDW, QLDR, NTW, OverseasW, OverseasR |
| 46 | 22.72 | Unknown S | N/A | N/A | N/A | QLDR, OverseasR |
| 23 | 22.721 | Oleic acid | ![]() | Unsaturated fatty acid | Fat * | NTW, OverseasW |
| 28 | 24.001–24.06 | [1,1′-Bicyclopropyl]-2-octanoic acid, 2′-hexyl-, methyl ester | ![]() | Ester | - | QLDW, OverseasW |
| 26 | 24.001 | Linoleic acid ethyl ester | ![]() | Fatty acid ethyl ester | Fatty [33] | QLDR |
| 27 | 24.065 | Linoelaidic acid | ![]() | Polyunsaturated fatty acid | - | NTW |
| Sample | Compound | Free | After AH | After EH |
|---|---|---|---|---|
| QLDW | Glyceraldehyde | √ | ND | ND |
| Dihydroxyacetone | √ | ND | ND | |
| Unknown A | √ | ND | ND | |
| trans-Geranylgeraniol | √ | ND | ND | |
| Unknown E | √ | ND | ND | |
| Squalene | √ | ND | ND | |
| Linoleic acid ethyl ester | √ | ND | ND | |
| Unknown G | √ | ND | ND | |
| 9-Octadecenamide | √ | ND | ND | |
| Tridecane | √ | √ | √ | |
| 1-Tetradecanol | √ | √ | √ | |
| 1-Hexadecanol | √ | √ | √ | |
| 1-Nonadecanol | √ | √ | √ | |
| Tetradecanoic acid | ND | √ | ND | |
| Farnesol | ND | √ | √ | |
| Hexadecanoic acid | √ | √ | √ | |
| Unknown L | ND | √ | ND | |
| Unknown F | ND | √ | ND | |
| [1,1′-Bicyclopropyl]-2-octanoic acid, 2′-hexyl-, methyl ester | ND | ND | √ | |
| QLDR | Tridecane | √ | √ | ND |
| 1-Tetradecanol | √ | √ | √ | |
| Oxirane, tetradecyl- | √ | √ | ND | |
| 1-Hexadecanol | √ | √ | ND | |
| Nerolidol | √ | ND | ND | |
| 1-Nonadecanol | √ | √ | √ | |
| Unknown B | √ | ND | ND | |
| Unknown C | √ | ND | ND | |
| trans-Geranylgeraniol | √ | ND | ND | |
| Farnesol | √ | √ | √ | |
| Unknown D | √ | ND | ND | |
| Hexadecanoic acid | √ | √ | √ | |
| Squalene | √ | ND | ND | |
| Linoleic acid ethyl ester | √ | ND | ND | |
| Unknown G | √ | ND | ND | |
| 9-Octadecenamide | √ | ND | ND | |
| Pentadecanoic acid | ND | √ | ND | |
| Unknown H | ND | √ | ND | |
| Tetradecanoic acid | ND | √ | ND | |
| Unknown J | ND | √ | ND | |
| Oleic acid | ND | √ | ND | |
| Linoleic acid ethyl ester | ND | √ | √ | |
| Unknown O | ND | ND | √ | |
| Unknown P | ND | ND | √ | |
| Unknown R | ND | ND | √ | |
| Unknown S | ND | ND | √ | |
| NTW | Acetoin | √ | √ | √ |
| Tridecane | √ | √ | ND | |
| Acetic acid | √ | √ | ND | |
| 2,3-Butanediol | √ | √ | ND | |
| 1-Methoxy-2-propanol | √ | √ | √ | |
| 1-Tetradecanol | √ | √ | √ | |
| 1-Hexadecanol | √ | √ | √ | |
| 1-Nonadecanol | √ | √ | √ | |
| Tetradecanoic acid | √ | √ | √ | |
| Farnesol | √ | √ | ND | |
| Hexadecanoic acid | √ | √ | √ | |
| Octadecanoic acid | √ | ND | ND | |
| Oleic acid | √ | √ | √ | |
| Squalene | √ | ND | ND | |
| Linoelaidic acid | √ | √ | √ | |
| [1,1′-Bicyclopropyl]-2-octanoic acid, 2′-hexyl-, methyl ester | √ | ND | ND | |
| Unknown G | √ | ND | ND | |
| 9-Octadecenamide | √ | ND | ND | |
| Ethane | ND | √ | √ | |
| Unknown K | ND | √ | ND | |
| Prenol | ND | ND | √ | |
| Phenylethyl alcohol | ND | ND | √ | |
| Unknown Q | ND | ND | √ | |
| OverseasW | 1-Tetradecanol | √ | √ | √ |
| 1-Hexadecanol | √ | √ | √ | |
| 1-Nonadecanol | √ | √ | √ | |
| Farnesol | √ | √ | √ | |
| Hexadecanoic acid | √ | √ | √ | |
| Unknown F | √ | √ | ND | |
| Squalene | √ | ND | ND | |
| Unknown G | √ | ND | ND | |
| 9-Octadecenamide | √ | ND | ND | |
| Unknown N | ND | √ | ND | |
| [1,1′-Bicyclopropyl]-2-octanoic acid, 2′-hexyl-, methyl ester | ND | √ | √ | |
| Ethane | ND | ND | √ | |
| Oleic acid | ND | ND | √ | |
| OverseasR | 1-Tetradecanol | √ | √ | √ |
| 1-Hexadecanol | √ | √ | √ | |
| 1-Nonadecanol | √ | √ | √ | |
| Farnesol | √ | ND | ND | |
| Hexadecanoic acid | √ | √ | √ | |
| Unknown F | √ | ND | ND | |
| Squalene | √ | ND | ND | |
| Unknown G | √ | ND | ND | |
| 9-Octadecenamide | √ | ND | ND | |
| Unknown I | ND | √ | ND | |
| Unknown M | ND | √ | ND | |
| Unknown Q | ND | ND | √ | |
| Unknown S | ND | ND | √ |
Disclaimer/Publisher’s Note: The statements, opinions and data contained in all publications are solely those of the individual author(s) and contributor(s) and not of MDPI and/or the editor(s). MDPI and/or the editor(s) disclaim responsibility for any injury to people or property resulting from any ideas, methods, instructions or products referred to in the content. |
© 2025 by the authors. Licensee MDPI, Basel, Switzerland. This article is an open access article distributed under the terms and conditions of the Creative Commons Attribution (CC BY) license (https://creativecommons.org/licenses/by/4.0/).
Share and Cite
Chen, S.-Y.; Xu, C.-Y.; Mazhar, M.S.; Naiker, M. Exploratory Analysis of Free and Glycosidically Bound Volatile Compounds in Australian-Grown and Imported Dragon Fruit: Implications for Industry Standard Development. Chemosensors 2025, 13, 70. https://doi.org/10.3390/chemosensors13020070
Chen S-Y, Xu C-Y, Mazhar MS, Naiker M. Exploratory Analysis of Free and Glycosidically Bound Volatile Compounds in Australian-Grown and Imported Dragon Fruit: Implications for Industry Standard Development. Chemosensors. 2025; 13(2):70. https://doi.org/10.3390/chemosensors13020070
Chicago/Turabian StyleChen, Si-Yuan, Cheng-Yuan Xu, Muhammad Sohail Mazhar, and Mani Naiker. 2025. "Exploratory Analysis of Free and Glycosidically Bound Volatile Compounds in Australian-Grown and Imported Dragon Fruit: Implications for Industry Standard Development" Chemosensors 13, no. 2: 70. https://doi.org/10.3390/chemosensors13020070
APA StyleChen, S.-Y., Xu, C.-Y., Mazhar, M. S., & Naiker, M. (2025). Exploratory Analysis of Free and Glycosidically Bound Volatile Compounds in Australian-Grown and Imported Dragon Fruit: Implications for Industry Standard Development. Chemosensors, 13(2), 70. https://doi.org/10.3390/chemosensors13020070


























































